A journal of IEEE and CAA , publishes high-quality papers in English on original theoretical/experimental research and development in all areas of automation

Vol. 12,  No. 12, 2025

Display Method:
REVIEWS
Advancing Healthcare With Large Language Models: Techniques and Application
Zhenlin Hu, Zhizhi Peng, Zhen Bi, Qing Shen, Zhenfang Liu, Jungang Lou, Xin Luo
2025, 12(12): 2371-2398. doi: 10.1109/JAS.2025.125540
Abstract(804) HTML (220) PDF(101)
Abstract:
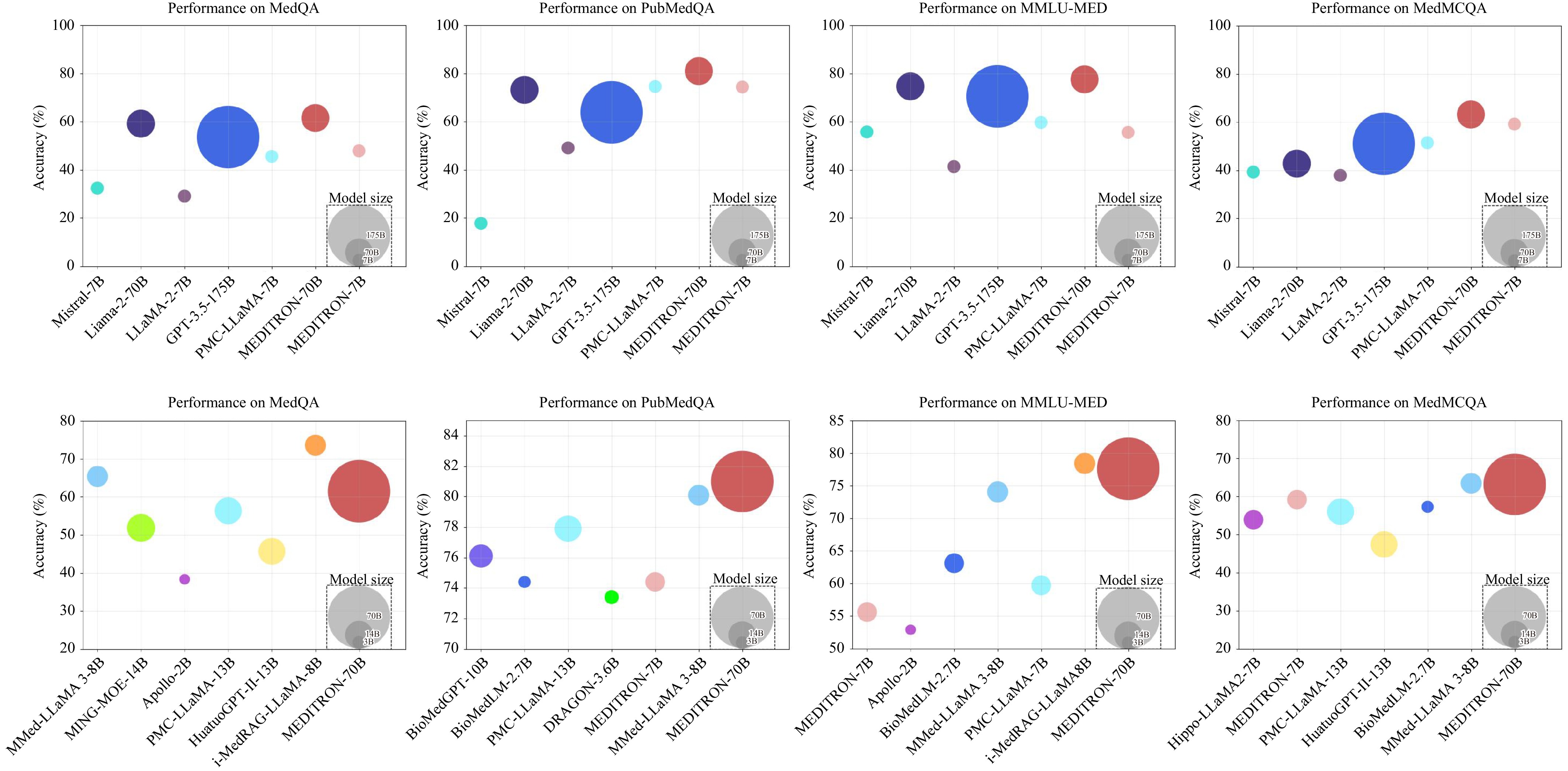
As the costs of global healthcare systems continue to rise, large language models (LLMs) have emerged as a promising technology with vast potential and wide-ranging applications in the medical field. We provide a detailed overview of the lifecycle of medical LLMs, encompassing three key stages: get, refine, and use, aimed at assisting healthcare practitioners and patients in utilizing these models more effectively. We also summarize the currently widely used medical evaluation benchmarks, analyzing their advantages and limitations. Furthermore, we conduct a comparative analysis of specialized medical LLMs on benchmarks such as MedQA, PubMedQA, MMLU-MED, and MedMCQA, revealing that methods like retrieval-augmented generation (RAG) enable smaller models to outperform larger ones by effectively integrating external medical knowledge. This review provides a reference for medical professionals to evaluate LLM capabilities and inspires the development of more effective benchmarking methods. Additionally, we showcase practical applications of medical LLMs in clinical, research, and educational settings, providing healthcare workers with valuable resources. Finally, we identify current challenges faced by medical LLMs and present outlooks for future technological advancements, aiming to inspire users to explore new ways to address existing issues. This review serves as an entry point for interested clinicians, helping them determine whether and how to integrate LLM technology into healthcare for the benefit of patients and practitioners.
A Comprehensive Review of Parallel Optimization Algorithms for High-Dimensional and Incomplete Matrix Factorization
Qicong Hu, Hao Wu, Xin Luo
2025, 12(12): 2399-2426. doi: 10.1109/JAS.2025.125774
Abstract(733) HTML (249) PDF(68)
Abstract:
High-dimensional and incomplete (HDI) matrices are commonly encountered in various big data-related applications for illustrating the complex interactions among numerous entities, like the user-item interactions in a commercial recommender system or the user-user interactions in a social network services system. The factorization of such an HDI matrix can embed the involved entities into the low-dimensional feature space for acquiring their principal representation, which is a vital task in various application scenes and is often established through the Latent Factor Analysis (LFA). Nevertheless, an HDI matrix can be huge when the corresponding application explodes to involve millions of users, items, or other interactive nodes. In this case, a parallel optimization algorithm is desired for raising the scalability and time efficiency of an LFA model. This paper provides a comprehensive review of the existing parallel optimization algorithms for the LFA model. Specifically, it performs: 1) discussion and summary of these algorithms based on computing architecture and mode, 2) empirical studies of representative models, and 3) summary of the current challenges and future directions in this domain. This survey aims to offer an exhaustive review of Parallel Optimization Algorithms for High-Dimensional and Incomplete Matrix Factorization, thereby fostering further research in this field.
PAPERS
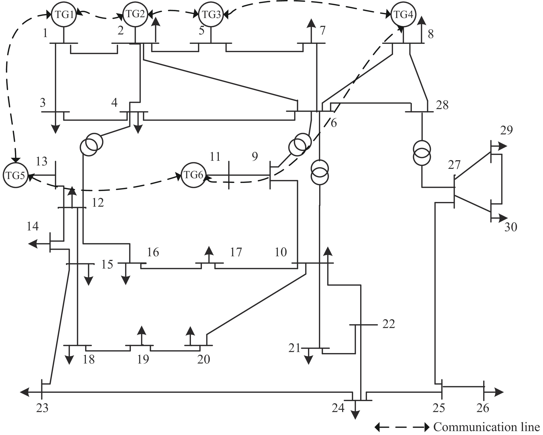
RBP-OP: Distributed Robust Belief Propagation Method With Odometry Preintegration for Multirobot Collaborative Localization
Jianqiang Zhang, Jiajun Cheng, Hanxuan Zhang, Yulong Huang
2025, 12(12): 2427-2454. doi: 10.1109/JAS.2025.125711
Abstract(626) HTML (193) PDF(99)
Abstract:
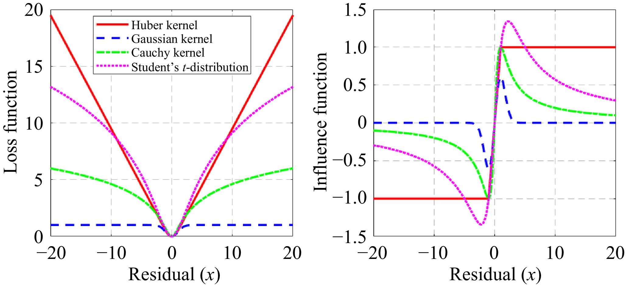
Distributed cooperative localization is essential to operate successfully for multirobot systems, especially in scenarios where absolute information cannot be continuously obtained. With the properties of distributed processing and message passing, Gaussian belief propagation has proven to be effective for achieving accurate pose estimation, making it a promising method for future distributed cooperative localization. Unfortunately, existing Gaussian belief propagation-based distributed cooperative localization methods are sensitive to measurement outliers and measurement nonlinearity, leading to poor performance in such environments. To address these issues, a novel distributed robust belief propagation method with odometry preintegration (RBP-OP) is proposed to mitigate the effects of measurement outliers and measurement nonlinearity. Firstly, the belief of variable node is modeled as the Gaussian distribution and the probability density function of external measurement factor node is modeled as the Student’s t-distribution. The message between external measurement factor node and variable node is computed by modifying the measurement noise covariance matrix adaptively, which significantly reduces the impact of outliers. Secondly, a novel wheel-speed odometry factor is derived based on the preintegration method, which enables forward-backward iteration, and then mitigates the effects of measurement nonlinearity. Finally, extensive simulations and experiments show that the proposed RBP-OP method offers superior filtering robustness and estimation accuracy compared to the existing state-of-the-art methods.
Fuzzy Constraint Dominance Strategy for Constrainted Multiobjective Optimization Problems With Multiple Constraints
Weixiong Huang, Rui Wang, Tao Zhang, Sheng Qi, Ling Wang
2025, 12(12): 2455-2472. doi: 10.1109/JAS.2025.125255
Abstract(623) HTML (139) PDF(74)
Abstract:
Solving constrained multiobjective optimization problems (CMOPs) is a highly challenging work. Numerous complex nonlinear constraints significantly add to the complexity of CMOPs, resulting in an exceptionally intricate feasible region. Makes it difficult for the algorithm to search for the complete constraint PF. In addition, under the influence of multiple complex nonlinear constraints, the conventional calculation method of overall constraint violation is inefficient for assessing the quality of infeasible solutions, potentially misguiding the evolutionary direction of the population. In response to these challenges, this paper proposes the fuzzy constraint dominance strategy (FCDS). This novel approach facilitates nuanced comparisons of solutions to strike a better balance between objectives and constraints. The fuzzy constraint violation introduced in FCDS mitigates the misleading impact of complex nonlinear constraints. Moreover, FCDS divides the solution process of complex CMOP into multiple stages from easy to difficult, and uses adaptive methods to increase the difficulty level of the problem. Systematic experiments on four test suites and three real-world applications have conclusively demonstrated the superior competitiveness of FCDS against leading algorithms.
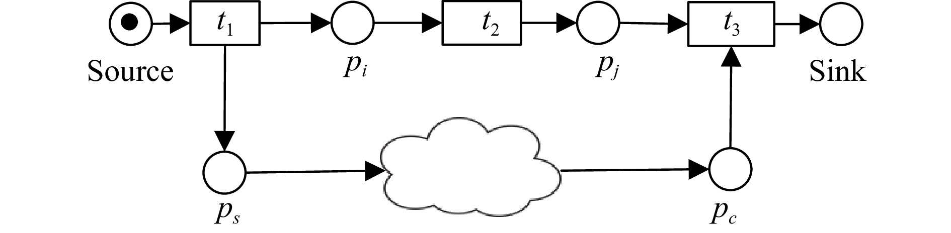
Petri Net and Hybrid Heuristic Search-Based Method for Energy-Minimized Scheduling of Flexible Assembly Systems With Tool Change Processes
Jianchao Luo, Xinjian Jiang, MengChu Zhou, Keyi Xing, Abdullah Abusorrah
2025, 12(12): 2473-2485. doi: 10.1109/JAS.2025.125756
Abstract(519) HTML (161) PDF(41)
Abstract:
With the increasing concerns about energy consumption and environmental protection, minimizing energy consumption while ensuring desired productivity becomes more and more important in flexible assembly systems (FASs) design and operation. However, because of the complexity of deadlock-prone FASs, only a few researchers have addressed their scheduling problems. Besides, no existing literature in the field of scheduling of deadlock-prone FASs takes energy consumption minimization as the optimization criterion to our best knowledge. This paper presents an A*-based hybrid heuristic search algorithm to minimize the total energy consumption of FASs with tool change processes. Based on a developed Petri net (PN) model, two energy functions are proposed to calculate the energy consumption of FASs. To achieve better performance, six new heuristic functions are designed to guide the search process by considering the features of FASs. Besides, two selection functions are proposed to evaluate the prospects of vertexes and choose the promising ones. Moreover, a dynamic window is applied in the algorithm to limit the search space, and a deadlock prevention policy is used to ensure feasible schedules. Experimental results show that the proposed algorithm can effectively find feasible schedules for FASs, and a well-designed heuristic function is likely to obtain schedules to meet industrial application requirements.
Target Tracking by Cameras and Millimeter-Wave Radars: A Confidence Information Fusion Method
Xiaohui Hao, Yuanqing Xia, Hongjiu Yang, Zhiqiang Zuo
2025, 12(12): 2486-2498. doi: 10.1109/JAS.2025.125405
Abstract(601) HTML (139) PDF(40)
Abstract:
This paper addresses a confidence fusion problem of the camera and the millimeter-wave (MMW) radar for target tracking in intelligent driving systems. The local camera and radar estimators are performed by analyzing the measurement characteristics of each sensor. The radar estimates are aligned to the camera sampling time and the Kuhn-Munkers method is used to obtain the matching relationship of local camera and radar estimates for fusion. Next, to utilize the advantage of the camera with low false detection and the radar with low miss detection performance, the mass functions are introduced to model the detection performance of the two sensors. Based on the mass functions and a D-S (Dempster-Shafer) evidence theory, the confidence fusion is performed sequentially to determine whether each target exists. Then a weighted maximum likelihood fusion estimator is designed for matched targets based on priori positing accuracy of the local camera and radar estimates. Finally, the experimental results on road vehicle tracking show that the detection range is expanded and false targets are significantly reduced by the proposed confidence fusion method.
GelUW: A Novel Underwater Vision-Based Tactile Sensor for Geometry Perception
Jin Ma, Min Tan, Yu Wang, Shaowei Cui, Yaozhong Cao, Shuo Wang
2025, 12(12): 2499-2512. doi: 10.1109/JAS.2025.125450
Abstract(686) HTML (112) PDF(77)
Abstract:
Underwater tactile sensing technology holds considerable promise in close-range perception for underwater vehicle manipulator systems (UVMSs), providing an alternative when other methods fail. Traditional array-based underwater tactile sensors face challenges in calibration and performance, such as cross-sensitivity to water pressure and low resolution. In this study, a novel gel-based underwater visuotactile sensor, GelUW, is introduced to address these issues. This sensor achieves high three-dimensional spatial resolution (1 mm $ \times $ 1 mm in the plane, 0.7 mm in depth) in shallow water (50 m). Specifically, waterproofing and pressure-balancing mechanisms are designed to handle water pressure, with comparative experiments demonstrating the robustness of the sensor to pressure variations. A multi-color pattern-based 3D geometry perception pipeline (MCP-3D) is proposed for underwater dynamic contact scenarios to tackle marker mismatches caused by impacts, with tapping experiments revealing its self-repair capabilities and 400% improvement in stability. Furthermore, the GelUW is integrated into a UVMS for object surface perception, and pool experiments confirm its high-precision geometry perception capabilities. Finally, the UVMS equipped with GelUW successfully performs crack detection tasks at the Gezhouba Dam in Yichang, China.
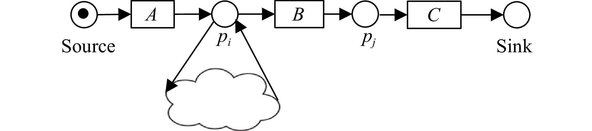
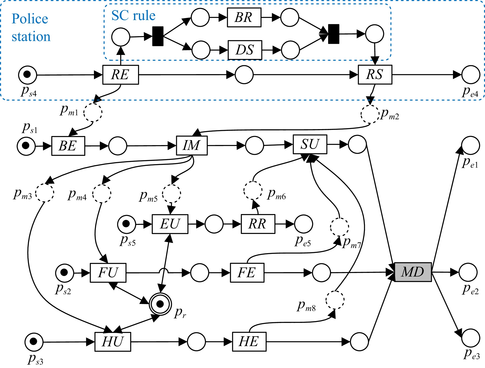
Behavior-Preserving Top-Down Construction of Cross-Organization Emergency Response Processes
Cong Liu, Huiling Li, Qingtian Zeng, Qi Mo, MengChu Zhou, Long Cheng, Shangce Gao
2025, 12(12): 2513-2524. doi: 10.1109/JAS.2025.125537
Abstract(599) HTML (136) PDF(31)
Abstract:
When an emergency happens, one of the most important tasks is to perform effective emergency disposal. To this end, emergency organizations need to collaborate to accomplish missions that exceed the capacity of any single organization. Typically, an emergency disposal is structured as a set of collaborative processes, referred to as cross-organization emergency response processes (CERPs). To deliver better emergency services, the initial step is to construct a high-quality CERP model. This paper introduces a top-down CERP model construction approach to tackle one of the most challenging issues in this area: How to construct a CERP model such that each organization can design, change, and modify their own processes without disturbing the overall collaboration and correctness of CERP. The proposed top-down CERP model construction approach involves the following stages: 1) Cross-organization public process model construction; 2) Intra-organization public process model generation; 3) Behavior-preserving intra-organization private process model construction; and 4) Organization-specific CERP model construction. A case study on cross-organization fire emergency response is conducted to demonstrate the applicability and effectiveness of the proposed approach.
Composite Adaptive Critic Design
Yongliang Yang, Hamidreza Modares, Kyriakos G. Vamvoudakis, Frank L. Lewis
2025, 12(12): 2525-2540. doi: 10.1109/JAS.2025.125435
Abstract(617) HTML (224) PDF(99)
Abstract:
In this paper, we present a novel adaptive critic design with a finite excitation (FE) condition for adaptive optimal control of continuous-time nonlinear systems. The online recorded data is combined with instantaneous data via a hierarchical design scheme to replace the persistence of excitation condition with a FE condition. The online data is recorded in the preprocessing step and verified online, whereas the novel critic is implemented in the assembling step through appropriate algebraic calculations. On this basis, the composite adaptive critic design is developed with satisfactory convergence. The adaptive critic design can be implemented in an online fashion with the hierarchical design scheme, and the FE condition can also be online verifiable. It is shown that the composite adaptive critic design guarantees the closed-loop stability of the equilibrium point and convergence to the optimal solution. Simulations are conducted to show the efficacy of the composite adaptive critic design.
Observer-Based Practical Prescribed-Time Consensus Tracking Control for Multiagent Systems With Unknown Virtual Control Coefficients
Jianhui Wang, Jiarui Liu, C. L. Philip Chen, Zhi Liu, Kairui Chen
2025, 12(12): 2541-2552. doi: 10.1109/JAS.2025.125480
Abstract(491) HTML (123) PDF(72)
Abstract:
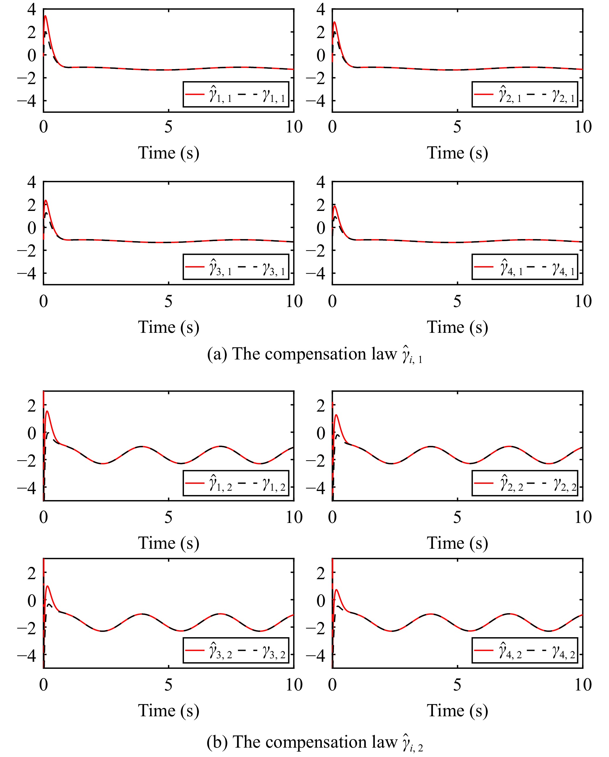
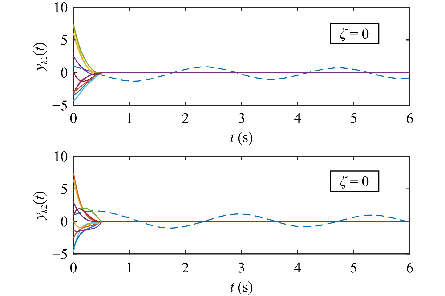
This paper proposes an observer-based prescribed-time consensus tracking control method for nonlinear multiagent systems with unknown virtual control coefficients. Existing prescribed-time distributed observers require information about leader input dynamics, which is unavailable in many practical applications. To address the above issue, this paper proposes an improved prescribed-time strategy as a foundation. Then, an auxiliary system is constructed, which removes restrictions on leader input information. With the assistance of such a system, a distributed observer is synthesized, which enables a prescribed-time observation of leader state signals. Meanwhile, by decomposing the virtual control coefficient, a prescribed-time compensation law is investigated to handle nonlinear dynamics and unknown virtual control coefficients. In addition, a prescribed-time control protocol is formulated, which drives the stabilization of the multiagent systems and the boundedness of all signals for any initial condition. Finally, the efficacy of the proposed control method is evaluated through simulation under three distinct conditions.
Evolutionary Multitasking With Multiple Knowledge Representations and Elite Vector Guidance for Solving Large-Scale Multi-Objective Optimization Problems
Weijie Mai, Zhifan Tang, Weili Liu, Jinghui Zhong, Hu Jin
2025, 12(12): 2553-2571. doi: 10.1109/JAS.2025.125483
Abstract(623) HTML (128) PDF(39)
Abstract:
Evolutionary multitasking optimization (EMTO) can obtain beneficial knowledge for the target task from the auxiliary task to improve its performance, which has received extensive attention in scientific research and engineering problems. Nevertheless, faced with the widespread large-scale multi-objective optimization problems (LSMOPs), the existing EMTO literature barely involves the research of LSMOPs. More importantly, these EMTO algorithms often get trapped in local optima when dealing with LSMOPs, resulting in a slow convergence speed, which is worthy of our attention. To this end, this paper proposes an EMTO algorithm dedicated to solving LSMOPs. On the one hand, given the intricate nature of LSMOPs, we propose a knowledge domination-based knowledge transfer mechanism that can flexibly transfer knowledge from multiple knowledge representations, i.e., the information distribution and distribution distance of the task population. On the other hand, we design an elite vector-guided search strategy. Specifically, the generative adversarial network (GAN) model should first be trained within the divided populations. Then, the well-trained model is used to generate a high-quality individual for the target individual. After that, the high-quality individual is combined with the top-performing individual in the current population to find the elite vector corresponding to the target individual. Finally, the elite vector is applied to guide the target individual to accelerate convergence towards the global optimum in the high-dimensional decision space. We conduct comprehensive experimental investigations on two artificial LSMOPs suites and six real-world LSMOPs to validate the efficiency and robustness of the proposed algorithm, through comparative analysis with state-of-the-art peer algorithms.
Robust Safety and Stability of Partially Observed Nonlinear Systems With Parametric Variability
Soumyabrata Talukder, Ratnesh Kumar
2025, 12(12): 2572-2588. doi: 10.1109/JAS.2025.125837
Abstract(451) HTML (171) PDF(45)
Abstract:
Optimal output-feedback stabilization of nonlinear plants under variation of model parameters and partial observability of states is a challenging problem. Safety-critical applications face additional hurdles to preclude systems’ trajectories from encountering any unsafe state. To address these challenges, this paper extends a Lyapunov-based framework introduced recently for safety and stability-guaranteed neural network (NN)-based state-feedback control synthesis. In particular, here we propose a novel sufficient condition of the stabilizability of nonlinear partially observed systems under Lipschitz-bounded output-feedback controllers (OFCs), which generalizes such a condition proposed in the earlier work assuming full observability of states. A new algorithm is proposed that employs this newly devised condition to compute a maximal Lipschitz bound of OFCs and a corresponding maximal robust-safe-region-of-stabilization, enabling a safety and stability-guaranteed training of an NN-based optimal OFC by constraining the NN’s Lipschitz constant within the computed bound. The proposed method is validated using a numerical example and a single-generator-infinite-bus power system model.
Accelerated Distributed Cooperative Energy Management for Integrated Energy Systems
Lining Liu, Yulong Huang, Chao Deng
2025, 12(12): 2589-2601. doi: 10.1109/JAS.2025.125489
Abstract(937) HTML (128) PDF(121)
Abstract:
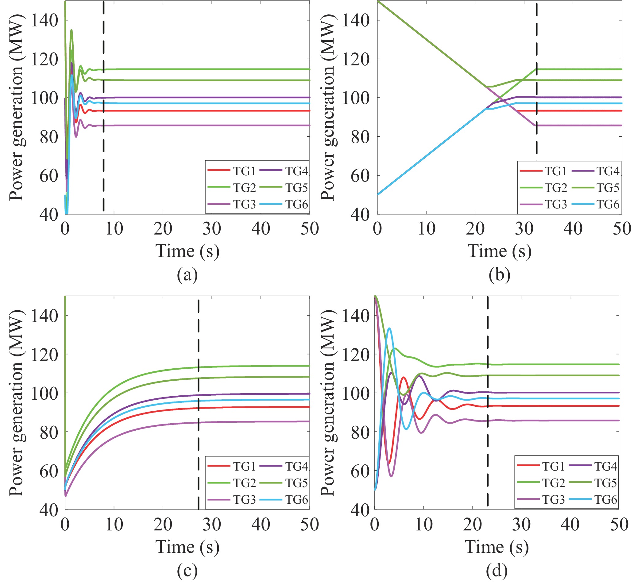
This paper is concerned with the problem of distributed coordination energy management of integrated energy systems (IESs). First, an energy management model for IESs is established and formulated as a distributed constrained optimization problem. Then, an accelerated distributed event-triggered algorithm is developed to solve the problem. Compared with the existing algorithms, the developed algorithm simultaneously offers two advantages. On the one hand, the convergence speed of the algorithm is improved greatly by incorporating the second-order information. On the other hand, the algorithm is implemented with asynchronous communication by an event-triggered mechanism, effectively reducing communication interact. Furthermore, the convergence and optimality of the algorithm are analyzed rigorously based on Lyapunov method. Finally, simulation studies are provided to validate the effectiveness of the algorithm.
Predetermined-Time Output Projective Synchronization of Coupled Fuzzy Neural Networks via Generalized Exponential Function
Ting Liu, Shiwen Xie, Yongfang Xie, Peng Liu, Tingwen Huang
2025, 12(12): 2602-2611. doi: 10.1109/JAS.2025.125519
Abstract(443) HTML (143) PDF(44)
Abstract:
The main motivation of this paper arises from the fact that some complex systems have high demands for time precision, which need to reach the desired state in a pre-specified time interval. This paper addresses the predetermined-time output projective synchronization of coupled fuzzy neural networks. To mimic the uncertainty and relatedness among complex systems, coupled fuzzy neural networks are introduced to characterize complex systems in this paper. First, a novel controller is developed by means of a generalized exponential function and output states information, which can effectively avoid the chattering situations arising from the sign function. Under the controller, the output states of coupled fuzzy neural networks eventually converge to the projective state in the predefined time, which can reduce the requirements for sensor devices and improve the flexibility and efficiency of the control scheme. Second, in light of Lyapunov function and inequality techniques, sufficient criteria for ensuring to achieve the predetermined-time output projective synchronization of coupled fuzzy neural networks are deduced based on the assumption of the digraph containing a spanning tree. Furthermore, the results obtained in this paper not only represent an extension of master-slave systems but also demonstrate that the output synchronization of coupled fuzzy neural networks is a specific case of projective synchronization exemplified by a corollary. Finally, numerical examples are offered to reveal the correctness of theoretical results.
LETTERS
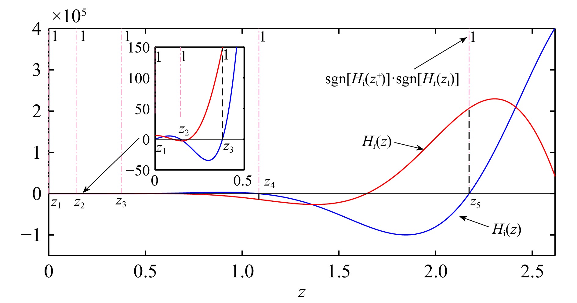
Determination of the Number of Zeros of Quasi-Polynomials via Function Curves
Honghai Wang
2025, 12(12): 2612-2614. doi: 10.1109/JAS.2026.125756
Abstract(468) HTML (136) PDF(50)
Abstract:
A Modular Approach to Adaptive Manufacturing: The AGILEHAND Architecture
Mansoor Ahmed, Ruben Costa, Rui Branco, Jorge Calado, José Ferreira, Filippo Ciarapica, Francisco Fraile, Mohamed Lamine Mekhalfi
2025, 12(12): 2615-2617. doi: 10.1109/JAS.2025.125795
Abstract(430) HTML (157) PDF(17)
Abstract:
Non-Fragile Filtering for Discrete-Time Networked Systems Subject to Fading Measurements: An Encryption and Decryption Scheme
Jinliang Liu, Jiahui Tang, Lijuan Zha, Engang Tian
2025, 12(12): 2618-2620. doi: 10.1109/JAS.2025.125402
Abstract(329) HTML (166) PDF(23)
Abstract:
AoI Violation Constrained Control Cost Optimization for Delay-Sensitive Industrial IoT
Jiawei Su, Zhixin Liu, Yaping Li, Yazhou Yuan, Kai Ma
2025, 12(12): 2621-2623. doi: 10.1109/JAS.2024.125076
Abstract(388) HTML (140) PDF(18)
Abstract:
Input-Output Data Driven Intelligent H Fault-Tolerant Tracking Control for Industrial Process in Industry 5.0
Limin Wang, Linzhu Jia, Ridong Zhang
2025, 12(12): 2624-2626. doi: 10.1109/JAS.2025.125465
Abstract(525) HTML (128) PDF(25)
Abstract:
Deep Reinforcement Learning for UAV Indoor Navigation Through Task Decomposition
Lu Ren, Zelong Fang, Wenzhang Liu, Chaoxu Mu, Changyin Sun
2025, 12(12): 2627-2629. doi: 10.1109/JAS.2025.125642
Abstract(629) HTML (150) PDF(62)
Abstract:
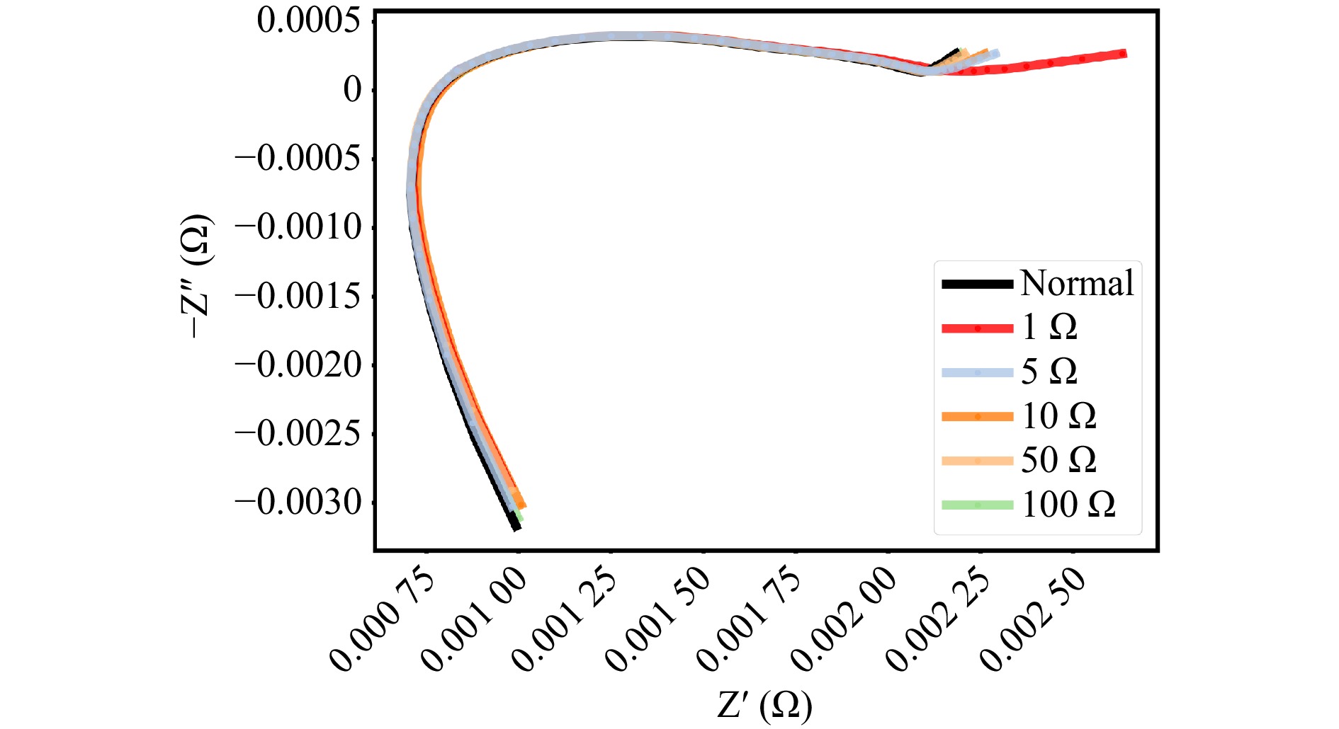
Prior-Data Fitted Network With Impedance Spectroscopy for Smart Short Circuit Diagnosis in Sodium-Ion Batteries of Power Systems
Kailong Liu, Shiwen Zhao, Qiao Peng, Jiayue Wang, Bin Duan, Xiangjun Li, Chenghui Zhang
2025, 12(12): 2630-2632. doi: 10.1109/JAS.2025.125606
Abstract(481) HTML (164) PDF(52)
Abstract: