A journal of IEEE and CAA , publishes high-quality papers in English on original theoretical/experimental research and development in all areas of automation
Volume 12 Issue 12
Dec.  2025

IEEE/CAA Journal of Automatica Sinica

  • JCR Impact Factor: 19.2, Top 1 (SCI Q1)
    CiteScore: 28.2, Top 1% (Q1)
    Google Scholar h5-index: 95, TOP 5
Turn off MathJax
Article Contents
J. Wang, J. Liu, C. Chen, Z. Liu, and K. Chen, “Observer-based practical prescribed-time consensus tracking control for multiagent systems with unknown virtual control coefficients,” IEEE/CAA J. Autom. Sinica, vol. 12, no. 12, pp. 2541–2552, Dec. 2025. doi: 10.1109/JAS.2025.125480
Citation: J. Wang, J. Liu, C. Chen, Z. Liu, and K. Chen, “Observer-based practical prescribed-time consensus tracking control for multiagent systems with unknown virtual control coefficients,” IEEE/CAA J. Autom. Sinica, vol. 12, no. 12, pp. 2541–2552, Dec. 2025. doi: 10.1109/JAS.2025.125480

Observer-Based Practical Prescribed-Time Consensus Tracking Control for Multiagent Systems With Unknown Virtual Control Coefficients

doi: 10.1109/JAS.2025.125480
Funds:  This work was supported in part by the Natural Science Foundation of Guangdong Province (2024A1515012326, 2025A1515012109), the Pazhou Lab Youth Research Program (PZL2022KF0007), and the Science and Technology Research Program of Guangzhou (2024404J9895)
More Information
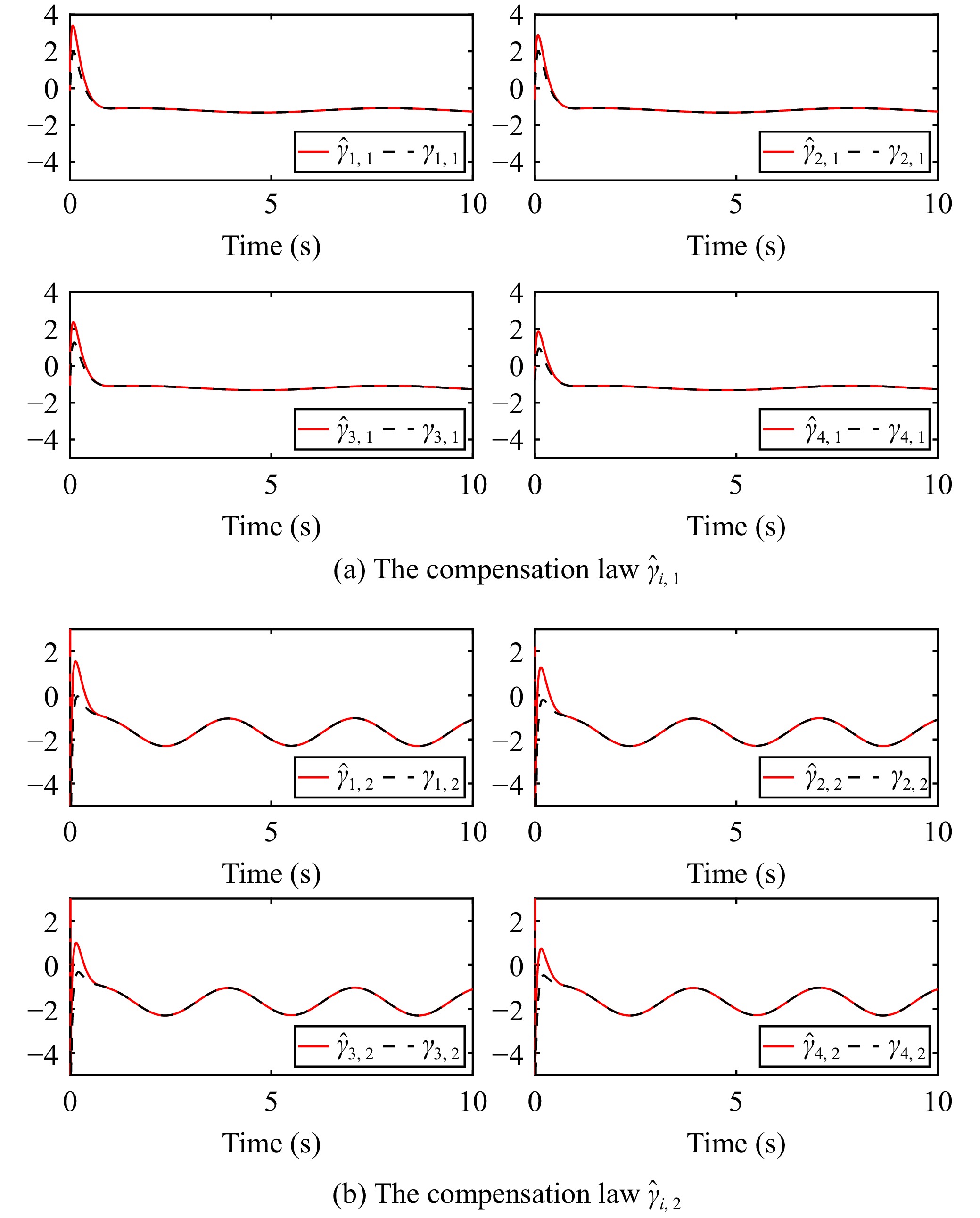
  • This paper proposes an observer-based prescribed-time consensus tracking control method for nonlinear multiagent systems with unknown virtual control coefficients. Existing prescribed-time distributed observers require information about leader input dynamics, which is unavailable in many practical applications. To address the above issue, this paper proposes an improved prescribed-time strategy as a foundation. Then, an auxiliary system is constructed, which removes restrictions on leader input information. With the assistance of such a system, a distributed observer is synthesized, which enables a prescribed-time observation of leader state signals. Meanwhile, by decomposing the virtual control coefficient, a prescribed-time compensation law is investigated to handle nonlinear dynamics and unknown virtual control coefficients. In addition, a prescribed-time control protocol is formulated, which drives the stabilization of the multiagent systems and the boundedness of all signals for any initial condition. Finally, the efficacy of the proposed control method is evaluated through simulation under three distinct conditions.

     

  • loading
  • [1]
    N. Rahimi, T. Binazadeh, and M. Shasadeghi, “Observer-based consensus of higher-order nonlinear heterogeneous multiagent systems with unmatched uncertainties: Application on robotic systems,” Robotica, vol. 38, no. 9, pp. 1605–1626, 2020. doi: 10.1017/S0263574719001656
    [2]
    W. Peng, L. Zheng, C. P. Chen, Z. Wu, and Z. Liu, “Adaptive fixed-time consensus control of nonlinear multiagent systems with dead-zone output,” Information Sciences, vol. 661, p. 119998, 2024. doi: 10.1016/j.ins.2023.119998
    [3]
    J. Fu, Y. Wan, and T. Huang, “Event-triggered finite-time practical consensus of multiagent systems with general directed communication graphs,” Int. J. Robust and Nonlinear Control, vol. 30, no. 17, pp. 7255–7277, 2020. doi: 10.1002/rnc.5168
    [4]
    A. Zou, Y. Liu, Z. Hou, and Z. Hu, “Practical predefined-time output-feedback consensus tracking control for multiagent systems,” IEEE Trans. Cybernetics, vol. 53, no. 8, pp. 5311–5322, 2023. doi: 10.1109/TCYB.2022.3207325
    [5]
    L. Tan and X. Wang, “Finite-time neuro-adaptive controller algorithms for nonlinear multiagent systems with state constraints and unmodeled dynamics,” Cognitive Computation, pp. 1–11, 2024.
    [6]
    J. Wang, Y. Yan, J. Liu, C. P. Chen, Z. Liu, and C. Zhang, “NN event-triggered finite-time consensus control for uncertain nonlinear multi-agent systems with dead-zone input and actuator failures,” ISA Trans., vol. 137, pp. 59–73, 2023. doi: 10.1016/j.isatra.2023.01.032
    [7]
    G. Xiao, J. Wang, and D. Meng, “Adaptive finite-time consensus for stochastic multi-agent systems with uncertain actuator faults,” IEEE Trans. Control of Network Systems, vol. 10, no. 4, pp. 1899–1912, 2023. doi: 10.1109/TCNS.2023.3250473
    [8]
    J. Wang, Y. Li, Y. Wu, Z. Liu, K. Chen, and C. P. Chen, “Fixed-time formation control for uncertain nonlinear multi-agent systems with time-varying actuator failures,” IEEE Trans. Fuzzy Systems, vol. 32, no. 4, pp. 1965–1977, 2024. doi: 10.1109/TFUZZ.2023.3342282
    [9]
    J. Mao, S. Huang, Z. Xiang, Y. Wang, and D. Zheng, “Practical finite-time sampled-data output consensus for a class of nonlinear multiagent systems via output feedback,” Int. J. Robust and Nonlinear Control, vol. 31, no. 3, pp. 920–949, 2020.
    [10]
    X. You, C. Hua, K. Li, and X. Jia, “Fixed-time leader-following consensus for high-order time-varying nonlinear multiagent systems,” IEEE Trans. Autom. Control, vol. 65, no. 12, pp. 5510–5516, 2020. doi: 10.1109/TAC.2020.3005154
    [11]
    L. Dai, X. Chen, L. Guo, J. Zhang, and J. Chen, “Prescribed-time group consensus for multiagent system based on a distributed observer approach,” Int. J. Control, Autom. and Systems, vol. 20, no. 10, pp. 3129–3137, 2022. doi: 10.1007/s12555-021-0834-1
    [12]
    Z. Zhu, H. Wu, Z. Guan, Z. Liu, Y. Chen, and X. Zheng, “Robust prescribed-time coordination control of signed networks with arbitrary topologies,” IEEE Trans. Network Science and Engineering, vol. 11, no. 2, pp. 1846–1856, 2023.
    [13]
    Z. Wang, W. Fu, Y. Fang, S. Zhu, Z. Wu, and M. Wang, “Prescribed-time cooperative guidance law against maneuvering target based on leader-following strategy,” ISA Trans., vol. 129, pp. 257–270, 2022. doi: 10.1016/j.isatra.2022.02.043
    [14]
    Z. Li, Y. Pan, T. An, B. Dong, and X. Dong, “Global precise consensus tracking control for uncertain multiagent systems in cooperation-competition networks,” Information Sciences, vol. 658, p. 120006, 2024. doi: 10.1016/j.ins.2023.120006
    [15]
    X. Gong, Y. Cui, T. Wang, J. Shen, and T. Huang, “Distributed prescribed-time consensus observer for high-order integrator multi-agent systems on directed graphs,” IEEE Trans. Circuits and Systems II: Express Briefs, vol. 69, no. 4, pp. 2216–2220, 2021.
    [16]
    B. Cui, Y. Wang, K. Liu, and Y. Xia, “Sliding mode based prescribed-time consensus tracking control of second-order multi-agent systems,” Automatica, vol. 158, p. 111296, 2023. doi: 10.1016/j.automatica.2023.111296
    [17]
    J. Ke, J. Zeng, and Z. Duan, “Observer-based prescribed-time consensus control for heterogeneous multi-agent systems under directed graphs,” Int. J. Robust and Nonlinear Control, vol. 33, no. 2, pp. 872–898, 2023. doi: 10.1002/rnc.6400
    [18]
    J. Ni, S. Qian, J. Cao, W. Li, and F. Yang, “Predefined-time consensus tracking control for multiagent system with channel fading,” IEEE Trans. Cybernetics, vol. 54, no. 8, pp. 4652–4665, 2024. doi: 10.1109/TCYB.2023.3311619
    [19]
    Y. Ma, K. Zhang, and B. Jiang, “Prescribed-time fault-tolerant control for fully actuated heterogeneous multiagent systems: A hierarchical design approach,” IEEE Trans. Aerospace and Electronic Systems, vol. 59, no. 5, pp. 6624–6636, 2023.
    [20]
    S. Chang, Y. Wang, Z. Zuo, H. Yang, and X. Luo, “Robust prescribed-time containment control for high-order uncertain multi-agent systems with extended state observer,” Neurocomputing, vol. 559, p. 126782, 2023. doi: 10.1016/j.neucom.2023.126782
    [21]
    Z. Feng, G. Hu, X. Dong, and J. Lv, “Discrete-time adaptive distributed output observer for time-varying formation tracking of heterogeneous multi-agent systems,” Automatica, vol. 160, p. 111400, 2024. doi: 10.1016/j.automatica.2023.111400
    [22]
    H. Fu, X. Chen, W. Wang, and M. Wu, “Observer-based adaptive synchronization control of unknown discrete-time nonlinear heterogeneous systems,” IEEE Trans. Neural Networks and Learning Systems, vol. 33, no. 2, pp. 681–693, 2020.
    [23]
    L. Gu, Z. Zhao, J. Sun, and Z. Wang, “Finite-time leader–follower consensus control of multiagent systems with mismatched disturbances,” Asian J. Control, vol. 24, no. 2, pp. 722–731, 2022. doi: 10.1002/asjc.2589
    [24]
    X. Wang, G. Wang, and S. Li, “Distributed finite-time optimization for disturbed second-order multiagent systems,” IEEE Trans. Cybernetics, vol. 51, no. 9, pp. 4634–4647, 2020.
    [25]
    H. Li, Y. Wu, and M. Chen, “Adaptive fault-tolerant tracking control for discrete-time multiagent systems via reinforcement learning algorithm,” IEEE Trans. Cybernetics, vol. 51, no. 3, pp. 1163–1174, 2020.
    [26]
    H. Min, S. Xu, and Z. Zhang, “Adaptive finite-time stabilization of stochastic nonlinear systems subject to full-state constraints and input saturation,” IEEE Trans. Autom. Control, vol. 66, no. 3, pp. 1306–1313, 2020.
    [27]
    L. Zhao, G. Liu, and J. Yu, “Finite-time adaptive fuzzy tracking control for a class of nonlinear systems with full-state constraints,” IEEE Trans. Fuzzy Systems, vol. 29, no. 8, pp. 2246–2255, 2020.
    [28]
    X. Chen, L. Zhao, and J. Yu, “Adaptive neural finite-time bipartite consensus tracking of nonstrict feedback nonlinear coopetition multi-agent systems with input saturation,” Neurocomputing, vol. 397, pp. 168–178, 2020. doi: 10.1016/j.neucom.2020.02.054
    [29]
    J. Li, C. Liu, Y. Sun, and L. Shao, “A new event-triggered adaptive tracking controller for nonlinear systems with unknown virtual control coefficients,” European J. Control, vol. 69, p. 100759, 2022.
    [30]
    Z. Yu, F. Zhao, S. Ding, and X. Chen, “Adaptive pre-assigned finite-time control of uncertain nonlinear systems with unknown control gains,” Applied Mathematics and Computation, vol. 417, p. 126784, 2022. doi: 10.1016/j.amc.2021.126784
    [31]
    C. Liu, X. Liu, H. Wang, S. Lu, and Y. Zhou, “Adaptive control and application for nonlinear systems with input nonlinearities and unknown virtual control coefficients,” IEEE Trans. Cybernetics, vol. 52, no. 9, pp. 8804–8817, 2022. doi: 10.1109/TCYB.2021.3054373
    [32]
    Y. Zhao, C. Liu, Y. Zhou, X. Liu, and H. Wang, “Adaptive tracking control for stochastic nonlinear systems with unknown virtual control coefficients,” Int. J. Robust and Nonlinear Control, vol. 32, no. 3, pp. 1331–1354, 2022. doi: 10.1002/rnc.5882
    [33]
    J. Wang, C. Wang, Z. Liu, C. P. Chen, and C. Zhang, “Practical fixed-time adaptive erbfnns event-triggered control for uncertain nonlinear systems with dead-zone constraint,” IEEE Trans. Systems, Man, and Cybernetics: Systems, vol. 54, no. 1, pp. 342–351, 2023.
    [34]
    Y. Li, “Barrier lyapunov function-based adaptive asymptotic tracking of nonlinear systems with unknown virtual control coefficients,” Automatica, vol. 121, p. 109181, 2020. doi: 10.1016/j.automatica.2020.109181
    [35]
    C. Y. Yanjun Shu, Yanhui Tong, “Robust neural tracking control for switched nonaffine stochastic nonlinear systems with unknown control directions and backlash-like hysteresis,” J. the Franklin Institute, vol. 357, no. 5, pp. 2791–2812, 2020. doi: 10.1016/j.jfranklin.2019.12.011
    [36]
    Y. Yang, X. Li, and X. Liu, “Decentralized finite-time connective tracking control with prescribed settling time for p-normal form stochastic large-scale systems,” Applied Mathematics and Computation, vol. 412, p. 126581, 2022. doi: 10.1016/j.amc.2021.126581
    [37]
    J.-X. Zhang, Q.-G. Wang, and W. Ding, “Global output-feedback prescribed performance control of nonlinear systems with unknown virtual control coefficients,” IEEE Trans. Autom. Control, vol. 67, no. 12, pp. 6904–6911, 2022. doi: 10.1109/TAC.2021.3137103
    [38]
    S. Chang, Y. Wang, Z. Zuo, Z. Zhang, and H. Yang, “On fast finite-time extended state observer and its application to wheeled mobile robots,” Nonlinear Dynamics, vol. 110, no. 2, pp. 1473–1485, 2022. doi: 10.1007/s11071-022-07685-z
    [39]
    Y.-L. L.-L. L. Z.-Y. Chen;, “Distributed fixed-time average-tracking for multi-agent systems with mismatched and matched disturbances,” Trans. of the Institute of Measurement and Control, vol. 44, no. 12, pp. 2323–2335, 2022. doi: 10.1177/01423312221083785
    [40]
    Z. Shao, Y. Wang, Z. Li, and Y. Song, “Dynamic constraint-driven event-triggered control of strict-feedback systems without max/min values on irregular constraints,” IEEE/CAA J. Autom. Sinica, vol. 11, no. 3, pp. 569–580, 2024. doi: 10.1109/JAS.2023.123804
    [41]
    Z. Zuo, J. Tang, R. Ke, and Q.-L. Han, “Hyperbolic tangent function-based protocols for global/semi-global finite-time consensus of multi-agent systems,” IEEE/CAA J. Autom. Sinica, vol. 11, no. 6, pp. 1381–1397, 2024. doi: 10.1109/JAS.2024.124485
    [42]
    Z. Liu, X. Lin, Y. Gao, R. Xu, J. Wang, Y. Wang, and J. Liu, “Fixed-time sliding mode control for dc/dc buck converters with mismatched uncertainties,” IEEE Trans. Circuits and Systems I: Regular Papers, vol. 70, no. 1, pp. 472–480, 2023. doi: 10.1109/TCSI.2022.3217612
    [43]
    W. Ji, J. Qiu, L. Wu, and H.-K. Lam, “Fuzzy-affine-model-based output feedback dynamic sliding mode controller design of nonlinear systems,” IEEE Trans. Systems, Man, and Cybernetics: Systems, vol. 51, no. 3, pp. 1652–1661, 2021.
    [44]
    H. K. Saleh Mobayen and A. Fekih, “Adaptive nonsingular integral-type second order terminal sliding mode tracking controller for uncertain nonlinear systems,” Int. J. Control, Autom. and Systems, vol. 19, no. 4, pp. 1539–1549, 2021. doi: 10.1007/s12555-020-0255-6

Catalog

    通讯作者: 陈斌, bchen63@163.com
    • 1. 

      沈阳化工大学材料科学与工程学院 沈阳 110142

    1. 本站搜索
    2. 百度学术搜索
    3. 万方数据库搜索
    4. CNKI搜索

    Figures(14)

    Article Metrics

    Article views (393) PDF downloads(69) Cited by()

    /

    DownLoad:  Full-Size Img  PowerPoint
    Return
    Return