A journal of IEEE and CAA , publishes high-quality papers in English on original theoretical/experimental research and development in all areas of automation
Volume 12 Issue 12
Dec.  2025

IEEE/CAA Journal of Automatica Sinica

  • JCR Impact Factor: 19.2, Top 1 (SCI Q1)
    CiteScore: 28.2, Top 1% (Q1)
    Google Scholar h5-index: 95, TOP 5
Turn off MathJax
Article Contents
C. Liu, H. Li, Q. Zeng, Q. Mo, M. C. Zhou, L. Cheng, and S. Gao, “Behavior-preserving top-down construction of cross-organization emergency response processes,” IEEE/CAA J. Autom. Sinica, vol. 12, no. 12, pp. 2513–2524, Dec. 2025. doi: 10.1109/JAS.2025.125537
Citation: C. Liu, H. Li, Q. Zeng, Q. Mo, M. C. Zhou, L. Cheng, and S. Gao, “Behavior-preserving top-down construction of cross-organization emergency response processes,” IEEE/CAA J. Autom. Sinica, vol. 12, no. 12, pp. 2513–2524, Dec. 2025. doi: 10.1109/JAS.2025.125537

Behavior-Preserving Top-Down Construction of Cross-Organization Emergency Response Processes

doi: 10.1109/JAS.2025.125537
Funds:  This work was supported in part by the National Natural Science Foundation of China (62472264, 52574256), the Natural Science Distinguished Youth Foundation of Shandong Province (ZR2025QA13), the Natural Science Key Basic Research Project of Shandong Province (ZR2025ZD17), the Taishan Scholar Program of Shandong Province (TSTP20250506), and National Funds through FCT (Fundação para a Ciência e a Tecnologia) (UID/04152/2025) – Centro de Investigação em Gestão de Informação (MagIC)/NOVA IMS (UID/PRR/04152/2025)
More Information
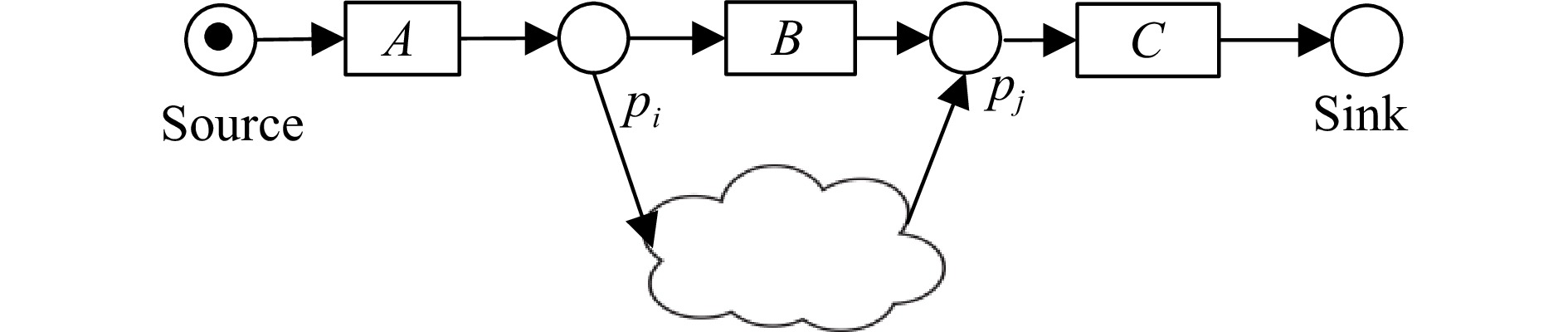
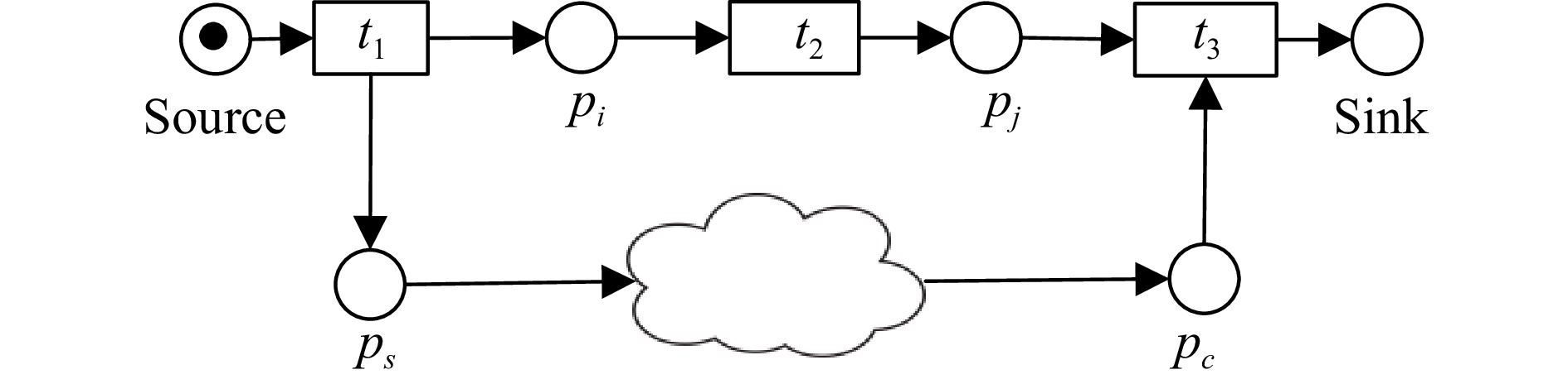
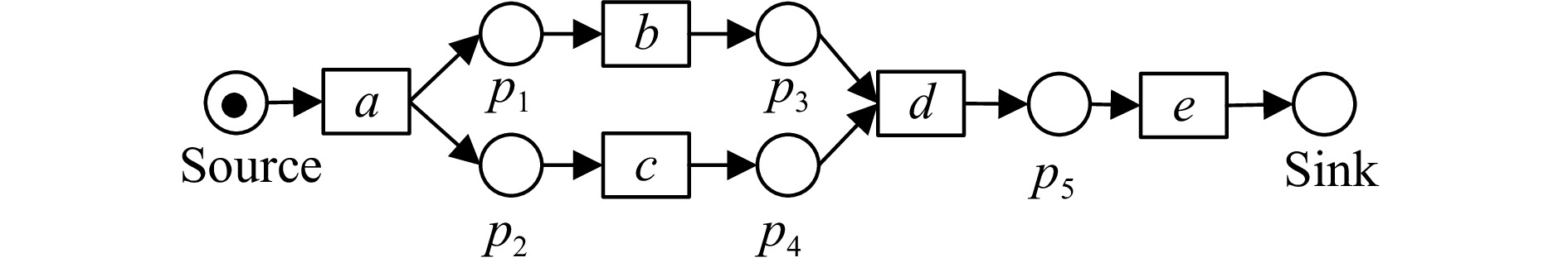
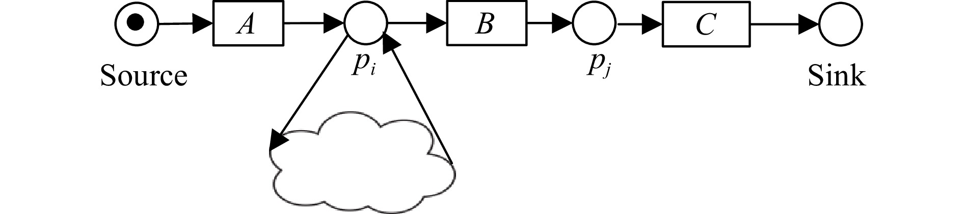
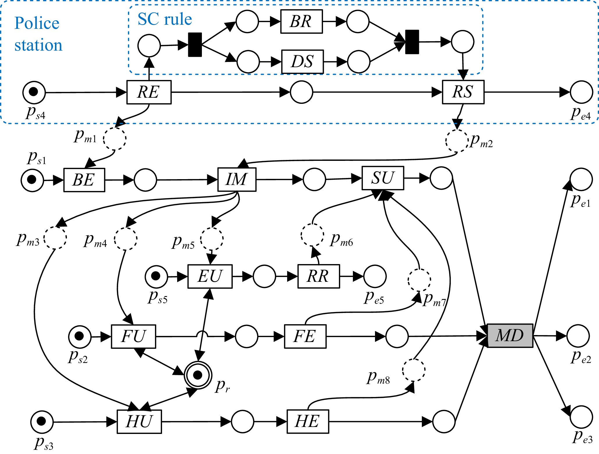
  • When an emergency happens, one of the most important tasks is to perform effective emergency disposal. To this end, emergency organizations need to collaborate to accomplish missions that exceed the capacity of any single organization. Typically, an emergency disposal is structured as a set of collaborative processes, referred to as cross-organization emergency response processes (CERPs). To deliver better emergency services, the initial step is to construct a high-quality CERP model. This paper introduces a top-down CERP model construction approach to tackle one of the most challenging issues in this area: How to construct a CERP model such that each organization can design, change, and modify their own processes without disturbing the overall collaboration and correctness of CERP. The proposed top-down CERP model construction approach involves the following stages: 1) Cross-organization public process model construction; 2) Intra-organization public process model generation; 3) Behavior-preserving intra-organization private process model construction; and 4) Organization-specific CERP model construction. A case study on cross-organization fire emergency response is conducted to demonstrate the applicability and effectiveness of the proposed approach.

     

  • loading
  • 1 We use correctness and soundness interchangeably in this paper.
  • [1]
    H. Duan, C. Liu, Q. Zeng, and M. C. Zhou, “A package reduction approach to modeling and analysis of cross-organization emergency response processes with privacy protected,” IEEE Access, vol. 6, pp. 55573–55585, 2018. doi: 10.1109/ACCESS.2018.2868924
    [2]
    H. Duan, C. Liu, Q. Zeng, and M. C. Zhou, “Refinement-based hierarchical modeling and correctness verification of cross-organization collaborative emergency response processes,” IEEE Trans. Systems, Man, and Cybern.: Systems, vol. 50, no. 8, pp. 2548–2559, 2020.
    [3]
    Q. Zeng, C. Liu, H. Duan, and M. C. Zhou, “Resource conflict checking and resolution controller design for cross-organization emergency response processes,” IEEE Trans. Systems, Man, and Cybern.: Systems, vol. 50, no. 10, pp. 3685–3700, 2020. doi: 10.1109/TSMC.2019.2906335
    [4]
    J. Wang, “Emergency healthcare workflow modeling and timeliness analysis,” IEEE Trans. Systems, Man, and Cybern.-Part A: Systems and Humans, vol. 42, no. 6, pp. 1323–1331, 2012. doi: 10.1109/TSMCA.2012.2210206
    [5]
    J. Wang and J. Wang, “Real-time adaptive allocation of emergency department resources and performance simulation based on stochastic timed Petri nets,” IEEE Trans. Comput. Social Systems, vol. 10, no. 4, pp. 1986–1996, 2023. doi: 10.1109/TCSS.2023.3266501
    [6]
    J. Wang, W. Tepfenhart, and D. Rosca, “Emergency response workflow resource requirements modeling and analysis,” IEEE Trans. Systems, Man, and Cybern., Part C (Applications and Reviews), vol. 39, no. 3, pp. 270–283, 2009. doi: 10.1109/TSMCC.2009.2009125
    [7]
    H. Cheng and X. Yang, “Theory model for earthquake emergency shelter choice based on the shortest overall evacuation time,” in Proc. ICTIS: Multimodal Approach to Sustained Transportation System Development: Information, Technology, Implementation, 2011, pp. 1268–1274.
    [8]
    C. Sell and I. Braun, “Using a workflow management system to manage emergency plans,” in Proc. 6th Int. ISCRAM Conf., 2009, vol. 41, p. 43.
    [9]
    J. Tseng, M. Liu, R. Chang, J. Su, and C. Shu, “Emergency response plan of chlorine gas for process plants in taiwan,” J. Loss Prevention in the Process Industries, vol. 21, no. 4, pp. 393–399, 2008. doi: 10.1016/j.jlp.2008.01.006
    [10]
    C. Liu, Q. Zeng, H. Duan, M. Zhou, F. Lu, and J. Cheng, “E-net modeling and analysis of emergency response processes constrained by resources and uncertain durations,” IEEE Trans. Systems, Man, and Cybern.: Systems, vol. 45, no. 1, pp. 84–96, 2014.
    [11]
    Q. Zeng, C. Liu, and H. Duan, “Resource conflict detection and removal strategy for nondeterministic emergency response processes using Petri nets,” Enterprise Information Systems, vol. 10, no. 7, pp. 729–750, 2016. doi: 10.1080/17517575.2014.986215
    [12]
    Q. Li, Y. Deng, C. Liu, Q. Zeng, and Y. Lu, “Modeling and analysis of subway fire emergency response: An empirical study,” Safety Science, vol. 84, pp. 171–180, 2016. doi: 10.1016/j.ssci.2015.12.003
    [13]
    F. Lu, Q. Zeng, Y. Bao, and H. Duan, “Hierarchy modeling and formal verification of emergency treatment processes,” IEEE Trans. Systems, Man, and Cybern.: Systems, vol. 44, no. 2, pp. 220–234, 2013.
    [14]
    C. Liu and F. Zhang, “Petri net based modeling and correctness verification of collaborative emergency response processes,” Cybern. and Inform. Tech., vol. 16, no. 3, pp. 122–136, 2016. doi: 10.1515/cait-2016-0038
    [15]
    Y. Gao, C. Liu, Q. Zeng, and H. Duan, “Two effective strategies to support cross-organization emergency resource allocation optimization,” Mobile Information Systems, vol. 2021, no.1, p. 7965935, 2021.
    [16]
    Y. Qiao, S. Zhang, N. Wu, M. Zhou, Z. Li, and T. Qu, “Efficient approach to failure response of process module in dual-arm cluster tools with wafer residency time constraints,” IEEE Trans. Systems, Man, and Cybern.: Systems, vol. 51, no. 3, pp. 1612–1629, 2021. doi: 10.1109/TSMC.2019.2899590
    [17]
    J. Zhou, J. Wang, and J. Wang, “A simulation engine for stochastic timed Petri nets and application to emergency healthcare systems,” IEEE/CAA J. Autom. Sinica, vol. 6, no. 4, pp. 969–980, 2019. doi: 10.1109/JAS.2019.1911576
    [18]
    Q. Zeng, F. Lu, C. Liu, H. Duan, and C. Zhou, “Modeling and verification for cross-department collaborative business processes using extended Petri nets,” IEEE Trans. Systems, Man, and Cybern.: Systems, vol. 45, no. 2, pp. 349–362, 2014.
    [19]
    C. Liu, H. Duan, Z. Qingtian, M. Zhou, F. Lu, and J. Cheng, “Towards comprehensive support for privacy preservation cross-organization business process mining,” IEEE Trans. Services Computing, vol. 12, no. 4, pp. 639–653, 2019. doi: 10.1109/TSC.2016.2617331
    [20]
    Q. Mo, J. Wang, Z. Xie, C. Liu, and F. Dai, “Enforcing correctness of collaborative business processes using plans,” IEEE Trans. Software Engineering, vol. 50, no. 9, pp. 2313–2336, 2024. doi: 10.1109/TSE.2024.3431585
    [21]
    Q. Mo, W. Song, F. Dai, L. Lin, and T. Li, “Development of collaborative business processes: A correctness enforcement approach,” IEEE Trans. Services Computing, vol. 15, no. 2, pp. 752–765, 2022. doi: 10.1109/TSC.2019.2961346
    [22]
    L. Cheng, C. Liu, Q. Liu, Y. Duan, and J. Murphy, “Learning process models in IoT edge,” in Proc. IEEE World Congress on Services, 2019, pp. 147–150.
    [23]
    J. Cheng, C. Liu, M. Zhou, Q. Zeng, and A. Ylä-Jäski, “Automatic composition of semantic web services based on fuzzy predicate Petri nets,” IEEE Trans. Automation Science and Engineering, vol. 12, no. 2, pp. 680–689, 2014.
    [24]
    M. Zhou and K. Venkatesh, Modeling, Simulation and Control of Flexible Manufacturing Systems: A Petri Net Approach. Singapore: World Scientific, 1999.
    [25]
    W. M. Van der Aalst, “The application of Petri nets to workflow management,” J. Circuits, Systems, and Computers, vol. 8, no. 1, pp. 21–66, 1998. doi: 10.1142/S0218126698000043
    [26]
    W. M. van der Aalst and T. Basten, “Life-cycle inheritance,” in Proc. Int. Conf. Application and Theory of Petri Nets, 1997, pp. 62–81.
    [27]
    W. M. van der Aalst, “Inheritance of interorganizational workflows: How to agree to disagree without loosing control?,” Information Technology and Management, vol. 4, no. 4, pp. 345–389, 2003. doi: 10.1023/A:1025182201690
    [28]
    R. J. Van Glabbeek and W. P. Weijland, “Branching time and abstraction in bisimulation semantics,” J. ACM (JACM), vol. 43, no. 3, pp. 555–600, 1996. doi: 10.1145/233551.233556
    [29]
    C. Liu, L. Cheng, Q. Zeng, L. Wen, “Formal modeling and discovery of hierarchical business processes: A Petri net-based approach,” IEEE Trans. Systems, Man, and Cybern.: Systems, vol. 53, no. 2, pp. 1003–1014, 2002.
    [30]
    X. Chen, F. Cheng, C. Liu, L. Cheng, and Y. Mao, “An improved wolf pack algorithm for optimization problems: Design and evaluation,” Plos One, vol. 16, no. 8, p. e0254239, 2021. doi: 10.1371/journal.pone.0254239
    [31]
    Y. Yu, S. Gao, Y. Wang, and Y. Todo, “Global optimum-based search differential evolution,” IEEE/CAA J. Autom. Sinica, vol. 6, no. 2, pp. 379–394, 2019. doi: 10.1109/JAS.2019.1911378
    [32]
    Z. He, Q. Wu, L. Wen, and G. Fu, “A process mining approach to improve emergency rescue processes of fatal gas explosion accidents in chinese coal mines,” Safety Science, vol. 111, pp. 154–166, 2019. doi: 10.1016/j.ssci.2018.07.006

Catalog

    通讯作者: 陈斌, bchen63@163.com
    • 1. 

      沈阳化工大学材料科学与工程学院 沈阳 110142

    1. 本站搜索
    2. 百度学术搜索
    3. 万方数据库搜索
    4. CNKI搜索

    Figures(17)  / Tables(5)

    Article Metrics

    Article views (332) PDF downloads(28) Cited by()

    /

    DownLoad:  Full-Size Img  PowerPoint
    Return
    Return