A journal of IEEE and CAA , publishes high-quality papers in English on original theoretical/experimental research and development in all areas of automation
Volume 12 Issue 12
Dec.  2025

IEEE/CAA Journal of Automatica Sinica

  • JCR Impact Factor: 19.2, Top 1 (SCI Q1)
    CiteScore: 28.2, Top 1% (Q1)
    Google Scholar h5-index: 95, TOP 5
Turn off MathJax
Article Contents
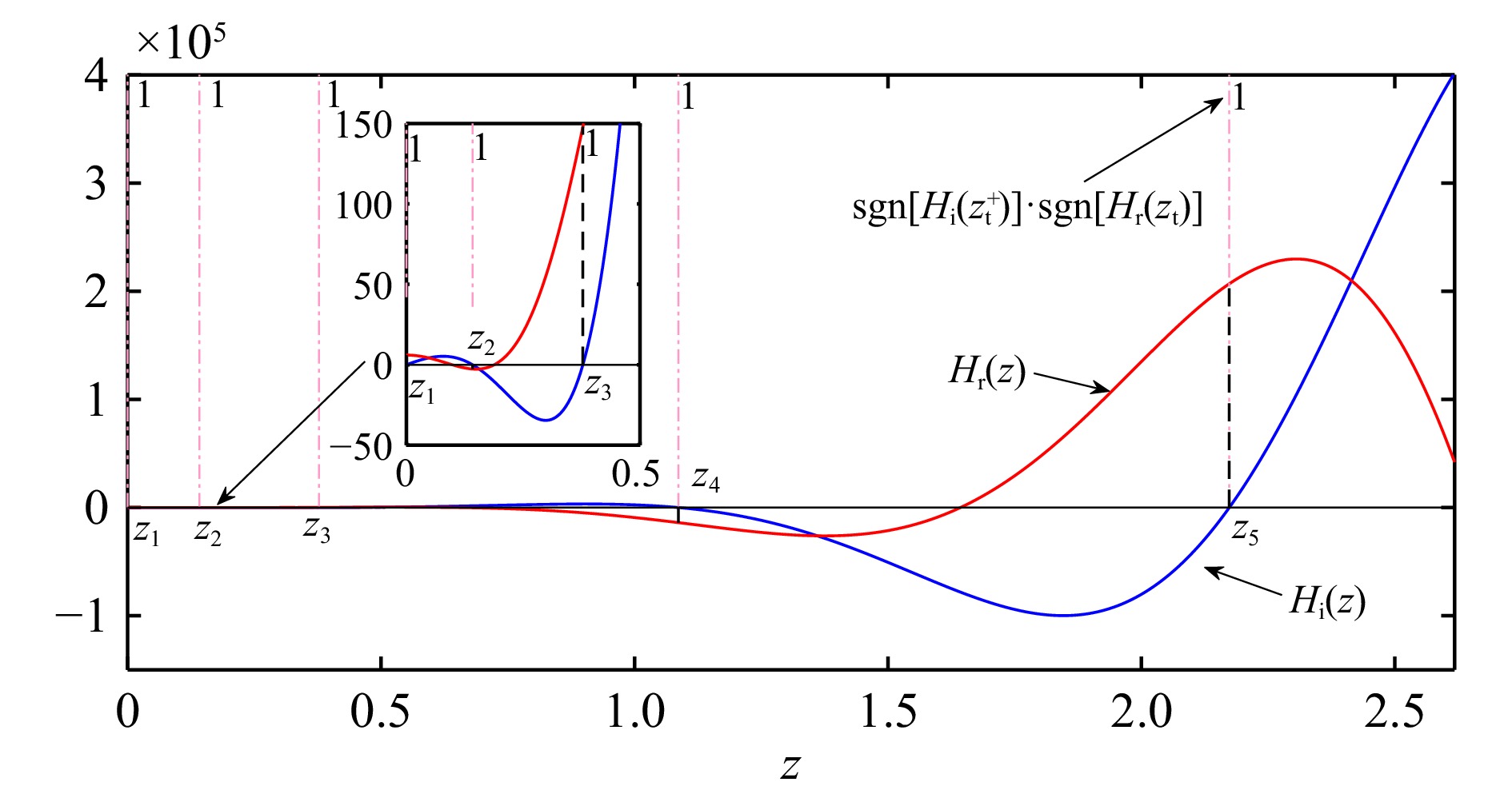
H. Wang, “Determination of the number of zeros of quasi-polynomials via function curves,” IEEE/CAA J. Autom. Sinica, vol. 12, no. 12, pp. 2612–2614, Dec. 2025. doi: 10.1109/JAS.2026.125756
Citation: H. Wang, “Determination of the number of zeros of quasi-polynomials via function curves,” IEEE/CAA J. Autom. Sinica, vol. 12, no. 12, pp. 2612–2614, Dec. 2025. doi: 10.1109/JAS.2026.125756

Determination of the Number of Zeros of Quasi-Polynomials via Function Curves

doi: 10.1109/JAS.2026.125756
More Information
  • loading
  • [1]
    L. S. Pontryagin, “On zeros of some transcendental functions (in Russian),” Izv. Akad. Nauk. SSSR Ser. Mat., vol. 6, no. 3, pp. 115–134, Mar. 1942.
    [2]
    L. S. Pontryagin, “On the zeros of some elementary transcendental functions,” Amer. Math. Soc. Transl., vol. 2, pp. 95–110, Jan. 1955.
    [3]
    H. Wang and Q.-L. Han, “Distribution of roots of quasi-polynomials of neutral type and its application - Part I: Determination of the number of roots and Hurwitz stability criteria,” IEEE Trans. Automat. Control, vol. 69, no. 5, pp. 2979–2994, May 2024. doi: 10.1109/TAC.2023.3300348

Catalog

    通讯作者: 陈斌, bchen63@163.com
    • 1. 

      沈阳化工大学材料科学与工程学院 沈阳 110142

    1. 本站搜索
    2. 百度学术搜索
    3. 万方数据库搜索
    4. CNKI搜索

    Figures(2)

    Article Metrics

    Article views (316) PDF downloads(49) Cited by()

    /

    DownLoad:  Full-Size Img  PowerPoint
    Return
    Return