A journal of IEEE and CAA , publishes high-quality papers in English on original theoretical/experimental research and development in all areas of automation
Volume 12 Issue 12
Dec.  2025

IEEE/CAA Journal of Automatica Sinica

  • JCR Impact Factor: 19.2, Top 1 (SCI Q1)
    CiteScore: 28.2, Top 1% (Q1)
    Google Scholar h5-index: 95, TOP 5
Turn off MathJax
Article Contents
S. Talukder and R. Kumar, “Robust safety and stability of partially observed nonlinear systems with parametric variability,” IEEE/CAA J. Autom. Sinica, vol. 12, no. 12, pp. 2572–2588, Dec. 2025. doi: 10.1109/JAS.2025.125837
Citation: S. Talukder and R. Kumar, “Robust safety and stability of partially observed nonlinear systems with parametric variability,” IEEE/CAA J. Autom. Sinica, vol. 12, no. 12, pp. 2572–2588, Dec. 2025. doi: 10.1109/JAS.2025.125837

Robust Safety and Stability of Partially Observed Nonlinear Systems With Parametric Variability

doi: 10.1109/JAS.2025.125837
Funds:  This work was supported in part by the National Science Foundation (CSSI-2004766, PFI-2141084, 2414972)
More Information
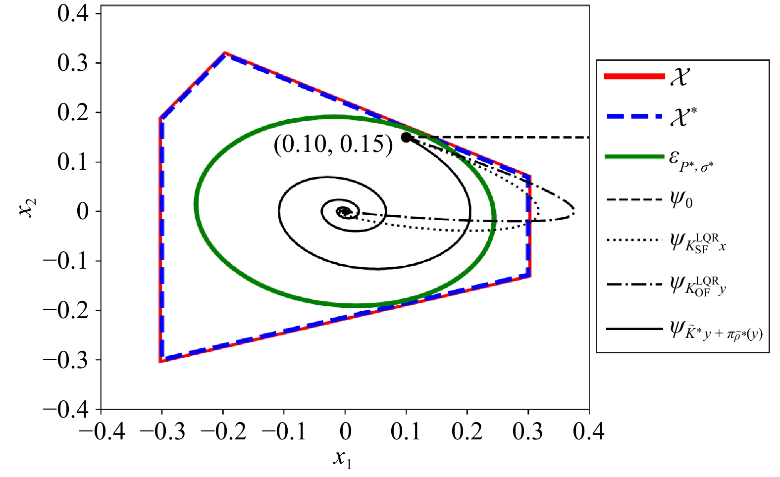
  • Optimal output-feedback stabilization of nonlinear plants under variation of model parameters and partial observability of states is a challenging problem. Safety-critical applications face additional hurdles to preclude systems’ trajectories from encountering any unsafe state. To address these challenges, this paper extends a Lyapunov-based framework introduced recently for safety and stability-guaranteed neural network (NN)-based state-feedback control synthesis. In particular, here we propose a novel sufficient condition of the stabilizability of nonlinear partially observed systems under Lipschitz-bounded output-feedback controllers (OFCs), which generalizes such a condition proposed in the earlier work assuming full observability of states. A new algorithm is proposed that employs this newly devised condition to compute a maximal Lipschitz bound of OFCs and a corresponding maximal robust-safe-region-of-stabilization, enabling a safety and stability-guaranteed training of an NN-based optimal OFC by constraining the NN’s Lipschitz constant within the computed bound. The proposed method is validated using a numerical example and a single-generator-infinite-bus power system model.

     

  • loading
  • [1]
    S. Talukder, M. Ibrahim, and R. Kumar, “Resilience indices for power/cyberphysical systems,” IEEE Trans. Syst., Man, Cybern.: Syst., vol. 51, no. 4, pp. 2159–2172, Apr. 2021. doi: 10.1109/TSMC.2020.3018706
    [2]
    G. F. Franklin, J. D. Powell, A. Emami-Naeini, and J. D. Powell, Feedback Control of Dynamic Systems. 4th ed. Upper Saddle River, USA: Prentice Hall, 2002.
    [3]
    J. Y. Choi and J. Farrell, “Adaptive observer backstepping control using neural networks,” IEEE Trans. Neural Netw., vol. 12, no. 5, pp. 1103–1112, Sept. 2001. doi: 10.1109/72.950139
    [4]
    Y. H. Kim and F. L. Lewis, “Neural network output feedback control of robot manipulators,” IEEE Trans. Robot. Autom., vol. 15, no. 2, pp. 301–309, Apr. 1999. doi: 10.1109/70.760351
    [5]
    Y. Zhang and F. Wang, “Observer-based fixed-time neural control for a class of nonlinear systems,” IEEE Trans. Neural Netw. Learn. Syst., vol. 33, no. 7, pp. 2892–2902, Jul. 2022. doi: 10.1109/TNNLS.2020.3046865
    [6]
    B. Chen, H. Zhang, and C. Lin, “Observer-based adaptive neural network control for nonlinear systems in nonstrict-feedback form,” IEEE Trans. Neural Netw. Learn. Syst., vol. 27, no. 1, pp. 89–98, Jan. 2016. doi: 10.1109/TNNLS.2015.2412121
    [7]
    S. J. Yoo, J. B. Park, and Y. H. Choi, “Adaptive output feedback control of flexible-joint robots using neural networks: Dynamic surface design approach,” IEEE Trans. Neural Netw., vol. 19, no. 10, pp. 1712–1726, Oct. 2008. doi: 10.1109/TNN.2008.2001266
    [8]
    E. Prempain and I. Postlethwaite, “Static output feedback stabilisation with H performance for a class of plants,” Syst. and Control Lett., vol. 43, no. 3, pp. 159–166, Jul. 2001.
    [9]
    C. A. R. Crusius and A. Trofino, “Sufficient LMI conditions for output feedback control problems,” IEEE Trans. Autom. Control, vol. 44, no. 5, pp. 1053–1057, May 1999. doi: 10.1109/9.763227
    [10]
    L. El Ghaoui and S. I. Niculescu, Advances in Linear Matrix Inequality Methods in Control. Philadelphia, USA: SIAM, 2000.
    [11]
    L. El Ghaoui and V. Balakrishnan, “Synthesis of fixed-structure controllers via numerical optimization,” in Proc. 33rd IEEE Conf. Decision and Control, Lake Buena Vista, USA, 1994, pp. 2678−2683.
    [12]
    A. Hassibi, J. How, and S. Boyd, “A path-following method for solving BMI problems in control,” in Proc. American Control Conf., San Diego, USA, 1999, pp. 1385−1389.
    [13]
    Q. T. Dinh, S. Gumussoy, W. Michiels, and M. Diehl, “Combining convex-concave decompositions and linearization approaches for solving BMIs, with application to static output feedback,” IEEE Trans. Autom. Control, vol. 57, no. 6, pp. 1377–1390, Jun. 2012. doi: 10.1109/TAC.2011.2176154
    [14]
    A. K. Kostarigka and G. A. Rovithakis, “Prescribed performance output feedback/observer-free robust adaptive control of uncertain systems using neural networks,” IEEE Trans. Syst., Man, Cybern., Part B (Cybern.), vol. 41, no. 6, pp. 1483–1494, Dec. 2011. doi: 10.1109/TSMCB.2011.2154328
    [15]
    K. Hornik, M. Stinchcombe, and H. White, “Multilayer feedforward networks are universal approximators,” Neural Netw., vol. 2, no. 5, pp. 359–366, Jul. 1989. doi: 10.1016/0893-6080(89)90020-8
    [16]
    B. Pang, E. Nijkamp, and Y. N. Wu, “Deep learning with TensorFlow: A review,” J. Educ. Behav. Stat., vol. 45, no. 2, pp. 227–248, Apr. 2020. doi: 10.3102/1076998619872761
    [17]
    E. Stevens, L. Antiga, and T. Viehmann, Deep Learning with PyTorch. Manning Publications, 2020.
    [18]
    A. Venkatraman, M. Hebert, and J. Bagnell, “Improving multi-step prediction of learned time series models,” in Proc. 29th AAAI Conf. Artificial Intelligence, Austin, USA, 2015.
    [19]
    S. Schaal, A. Ijspeert, and A. Billard, “Computational approaches to motor learning by imitation,” Philos. Trans. Roy. Soc. B: Biol. Sci., vol. 358, no. 1431, pp. 537–547, Mar. 2003. doi: 10.1098/rstb.2002.1258
    [20]
    R. S. Sutton and A. G. Barto, Reinforcement Learning: An Introduction. 2nd ed. Cambridge: A Bradford Book, 2018.
    [21]
    V. Mnih, K. Kavukcuoglu, D. Silver, A. A. Rusu, J. Veness, M. G. Bellemare, A. Graves, M. Riedmiller, A. K. Fidjeland, G. Ostrovski, et al., “Human-level control through deep reinforcement learning,” Nature, vol. 518, no. 7540, pp. 529–533, Feb. 2015. doi: 10.1038/nature14236
    [22]
    J. Schulman, S. Levine, P. Abbeel, M. I. Jordan, and P. Moritz, “Trust region policy optimization,” in Proc. 2nd Int. Conf. Machine Learning, Lille, France, 2015, pp. 1889−1897.
    [23]
    T. P. Lillicrap, J. J. Hunt, A. Pritzel, N. Heess, T. Erez, Y. Tassa, D. Silver, and D. Wierstra, “Continuous control with deep reinforcement learning,” in Proc. 4th Int. Conf. Learning Representations, San Juan, Puerto Rico, 2016.
    [24]
    V. Mnih, A. P. Badia, M. Mirza, A. Graves, T. Lillicrap, T. Harley, D. Silver, and K. Kavukcuoglu, “Asynchronous methods for deep reinforcement learning,” in Proc. 33rd Int. Conf. Machine Learning, New York City, USA, 2016, pp. 1928−1937.
    [25]
    K. Choromanski, M. Rowland, V. Sindhwani, R. E. Turner, and A. Weller, “Structured evolution with compact architectures for scalable policy optimization,” in Proc. 35th Int. Conf. Machine Learning, Stockholmsmässan, Stockholm, Sweden, 2018, pp. 970−978.
    [26]
    I. Clavera, J. Rothfuss, J. Schulman, Y. Fujita, T. Asfour, and P. Abbeel, “Model-based reinforcement learning via meta-policy optimization,” in Proc. 2nd Conf. Robot Learning, Zürich, Switzerland, 2018, pp. 617−629.
    [27]
    T. Kurutach, I. Clavera, Y. Duan, A. Tamar, and P. Abbeel, “Model-ensemble trust-region policy optimization,” in Proc. 6th Int. Conf. Learning Representations, Vancouver, Canada, 2018.
    [28]
    A. Heuillet, F. Couthouis, and N. Díaz-Rodríguez, “Explainability in deep reinforcement learning,” Knowl.-Based Syst., vol. 214, p. 106685, Feb. 2021. doi: 10.1016/j.knosys.2020.106685
    [29]
    R. Benton and D. Smith, “Static output feedback stabilization with prescribed degree of stability,” IEEE Trans. Autom. Control, vol. 43, no. 10, pp. 1493–1496, Oct. 1998. doi: 10.1109/9.720516
    [30]
    J. C. Geromel, C. C. de Souza, and R. E. Skelton, “Static output feedback controllers: Stability and convexity,” IEEE Trans. Autom. Control, vol. 43, no. 1, pp. 120–125, Jan. 1998. doi: 10.1109/9.654912
    [31]
    T. Iwasaki and R. E. Skelton, “The XY-centring algorithm for the dual LMI problem: A new approach to fixed-order control design,” Int. J. Control, vol. 62, no. 6, pp. 1257–1272, Dec. 1995. doi: 10.1080/00207179508921598
    [32]
    K. M. Grigoriadis and E. B. Beran, “Alternating projection algorithms for linear matrix inequalities problems with rank constraints,” in Advances in Linear Matrix Inequality Methods in Control: Advances in Design and Control, L. El Ghaoui and S. I. Niculescu, Eds. Philadelphia, USA: SIAM, 1999, pp. 251−267.
    [33]
    D. Ankelhed, A. Helmersson, and A. Hansson, “A partially augmented Lagrangian method for low order H-infinity controller synthesis using rational constraints,” IEEE Trans. Autom. Control, vol. 57, no. 11, pp. 2901–2905, Nov. 2012. doi: 10.1109/TAC.2012.2191333
    [34]
    D. Ankelhed, A. Helmersson, and A. Hansson, “A quasi-newton interior point method for low order h-infinity controller synthesis,” IEEE Trans. Autom. Control, vol. 56, no. 6, pp. 1462–1467, Jun. 2011. doi: 10.1109/TAC.2011.2118930
    [35]
    D. Noll, M. Torki, and P. Apkarian, “Partially augmented lagrangian method for matrix inequality constraints,” SIAM J. Optim., vol. 15, no. 1, pp. 161−184, 2004.
    [36]
    M. S. Sadabadi and D. Peaucelle, “From static output feedback to structured robust static output feedback: A survey,” Annu. Rev. Control, vol. 42, pp. 11–26, Jun. 2016. doi: 10.1016/j.arcontrol.2016.09.014
    [37]
    Y. Ouyang, L. Dong, L. Xue, and C. Sun, “Adaptive control based on neural networks for an uncertain 2-DOF helicopter system with input deadzone and output constraints,” IEEE/CAA J. Autom. Sinica, vol. 6, no. 3, pp. 807–815, May 2019. doi: 10.1109/JAS.2019.1911495
    [38]
    X. Wang, D. Ding, H. Dong, and X.-M. Zhang, “Neural-network-based control for discrete-time nonlinear systems with input saturation under stochastic communication protocol,” IEEE/CAA J. Autom. Sinica, vol. 8, no. 4, pp. 766–778, Apr. 2021. doi: 10.1109/JAS.2021.1003922
    [39]
    Y. Luo, S. Zhao, D. Yang, and H. Zhang, “A new robust adaptive neural network backstepping control for single machine infinite power system with TCSC,” IEEE/CAA J. Autom. Sinica, vol. 7, no. 1, pp. 48–56, Jan. 2020. doi: 10.1109/JAS.2019.1911798
    [40]
    D. Liu, S. Xue, B. Zhao, B. Luo, and Q. Wei, “Adaptive dynamic programming for control: A survey and recent advances,” IEEE Trans. Syst., Man, Cybern.: Syst., vol. 51, no. 1, pp. 142–160, Jan. 2021. doi: 10.1109/TSMC.2020.3042876
    [41]
    L. Kong, W. He, C. Yang, and C. Sun, “Robust neurooptimal control for a robot via adaptive dynamic programming,” IEEE Trans. Neural Netw. Learn. Syst., vol. 32, no. 6, pp. 2584–2594, Jun. 2021. doi: 10.1109/TNNLS.2020.3006850
    [42]
    R. Song and F. L. Lewis, “Robust optimal control for a class of nonlinear systems with unknown disturbances based on disturbance observer and policy iteration,” Neurocomputing, vol. 390, pp. 185–195, May 2020. doi: 10.1016/j.neucom.2020.01.082
    [43]
    X. Yang, D. Liu, D. Wang, and Q. Wei, “Discrete-time online learning control for a class of unknown nonaffine nonlinear systems using reinforcement learning,” Neural Netw., vol. 55, pp. 30–41, Jul. 2014. doi: 10.1016/j.neunet.2014.03.008
    [44]
    Q. Wei, D. Liu, and X. Yang, “Infinite horizon self-learning optimal control of nonaffine discrete-time nonlinear systems,” IEEE Trans. Neural Netw. Learn. Syst., vol. 26, no. 4, pp. 866–879, Apr. 2015. doi: 10.1109/TNNLS.2015.2401334
    [45]
    M. Jin and J. Lavaei, “Control-theoretic analysis of smoothness for stability-certified reinforcement learning,” in Proc. IEEE Conf. Decision and Control, Miami, USA, 2018, pp. 6840−6847.
    [46]
    H. Yin, P. Seiler, and M. Arcak, “Stability analysis using quadratic constraints for systems with neural network controllers,” IEEE Trans. Autom. Control, vol. 67, no. 4, pp. 1980–1987, Apr. 2022. doi: 10.1109/TAC.2021.3069388
    [47]
    A. D. Ames, S. Coogan, M. Egerstedt, G. Notomista, K. Sreenath, and P. Tabuada, “Control barrier functions: Theory and applications,” in Proc. 18th European Control Conf., Naples, Italy, 2019, pp. 3420−3431.
    [48]
    S. Talukder and R. Kumar, “Robust stability of neural-network-controlled nonlinear systems with parametric variability,” IEEE Trans. Syst., Man, Cybern.: Syst., vol. 53, no. 8, pp. 4820–4832, Aug. 2023. doi: 10.1109/TSMC.2023.3257269
    [49]
    H. Yin, P. Seiler, M. Jin, and M. Arcak, “Imitation learning with stability and safety guarantees,” IEEE Control Syst. Lett., vol. 6, pp. 409−414, 2022.
    [50]
    K. G. Vamvoudakis and F. L. Lewis, “Online actor-critic algorithm to solve the continuous-time infinite horizon optimal control problem,” Automatica, vol. 46, no. 5, pp. 878–888, May 2010. doi: 10.1016/j.automatica.2010.02.018
    [51]
    H. Dai, B. Landry, L. Yang, M. Pavone, and R. Tedrake, “Lyapunov-stable neural-network control,” arXiv preprint arXiv: 2109.14152, 2021.
    [52]
    C. Makkar, W. E. Dixon, W. G. Sawyer, and G. Hu, “A new continuously differentiable friction model for control systems design,” in Proc. IEEE/ASME Int. Conf. Advanced Intelligent Mechatronics, Monterey, USA, 2005, pp. 600−605.
    [53]
    Z. Zuo, X. Ju, and Z. Ding, “Control of gear transmission servo systems with asymmetric deadzone nonlinearity,” IEEE Trans. Control Syst. Technol., vol. 24, no. 4, pp. 1472–1479, Jul. 2016. doi: 10.1109/TCST.2015.2493119
    [54]
    H. K. Khalil, Nonlinear Control. Boston, USA: Pearson, 2015.
    [55]
    L. Vu and D. Liberzon, “Common Lyapunov functions for families of commuting nonlinear systems,” Syst. Control Lett., vol. 54, no. 5, pp. 405–416, May 2005. doi: 10.1016/j.sysconle.2004.09.006
    [56]
    D. Liberzon, Switching in Systems and Control. Boston, USA: Birkhäuser, 2003.
    [57]
    S. Boyd, V. Balakrishnan, E. Feron, and L. ElGhaoui, “Control system analysis and synthesis via linear matrix inequalities,” in Proc. American Control Conf., San Francisco, USA, 1993, pp. 2147−2154.
    [58]
    R. Findeisen, L. Imsland, F. Allgower, and B. A. Foss, “State and output feedback nonlinear model predictive control: An overview,” Eur. J. Control, vol. 9, no. 2−3, pp. 190–206, Dec. 2003. doi: 10.3166/ejc.9.190-206
    [59]
    S. Gao, S. Kong, and E. M. Clarke, “dReal: An SMT solver for nonlinear theories over the reals,” in Proc. 24th Int. Conf. Autom. Deduction, Lake Placid, USA, 2013, pp. 208−214.
    [60]
    S. Boyd, L. El Ghaoui, E. Feron, and V. Balakrishnan, Linear Matrix Inequalities in System and Control Theory. Philadelphia, USA: SIAM, 1994.
    [61]
    P. S. Kundur and O. P. Malik, Power System Stability and Control. 2nd ed. New York, UAS: McGraw-Hill Education, 2022.
    [62]
    Transmission system planning performance requirements. [Online]. Available: https://www.nerc.com/layouts/15/PrintStandard.aspx?standardnumber=TPL-001-4&title=Transmission%20System%20Planning%20Performance%20Requirements&jurisdiction=United%20States
    [63]
    D. P. Kingma and J. Ba, “Adam: A method for stochastic optimization,” in Proc. 3rd Int. Conf. Learning Representations, San Diego, USA, 2015.
    [64]
    H. Gouk, E. Frank, B. Pfahringer, and M. J. Cree, “Regularisation of neural networks by enforcing Lipschitz continuity,” Mach. Learn., vol. 110, no. 2, pp. 393–416, Feb. 2021. doi: 10.1007/s10994-020-05929-w
    [65]
    E. Okyere, A. Bousbaine, G. T. Poyi, A. K. Joseph, and J. M. Andrade, “LQR controller design for quad-rotor helicopters,” J. Eng., vol. 2019, no. 17, pp. 4003–4007, Jun. 2019.
    [66]
    L. Chrif and Z. M. Kadda, “Aircraft control system using LQG and LQR controller with optimal estimation-Kalman filter design,” Proc. Eng., vol. 80, pp. 245−257, 2014.
    [67]
    K. D. Rao and S. Kumar, “Modeling and simulation of quarter car semi active suspension system using LQR controller,” in Proc. the 3rd International Conf. Frontiers of Intelligent Computing: Theory and Applications: Volume 1, S. C. Satapathy, B. N. Biswal, S. K. Udgata, and J. K. Mandal, Eds. Cham, Germany: Springer, 2015, pp. 441−448.
    [68]
    A. Ilka, “Matlab/Octave toolbox for structurable and robust output-feedback LQR design,” IFAC-PapersOnLine, vol. 51, no. 4, pp. 598–603, May 2018. doi: 10.1016/j.ifacol.2018.06.161

Catalog

    通讯作者: 陈斌, bchen63@163.com
    • 1. 

      沈阳化工大学材料科学与工程学院 沈阳 110142

    1. 本站搜索
    2. 百度学术搜索
    3. 万方数据库搜索
    4. CNKI搜索

    Figures(7)

    Article Metrics

    Article views (344) PDF downloads(41) Cited by()

    /

    DownLoad:  Full-Size Img  PowerPoint
    Return
    Return