A journal of IEEE and CAA , publishes high-quality papers in English on original theoretical/experimental research and development in all areas of automation
Volume 12 Issue 12
Dec.  2025

IEEE/CAA Journal of Automatica Sinica

  • JCR Impact Factor: 19.2, Top 1 (SCI Q1)
    CiteScore: 28.2, Top 1% (Q1)
    Google Scholar h5-index: 95, TOP 5
Turn off MathJax
Article Contents
T. Liu, S. Xie, Y. Xie, P. Liu, and T. Huang, “Predetermined-time output projective synchronization of coupled fuzzy neural networks via generalized exponential function,” IEEE/CAA J. Autom. Sinica, vol. 12, no. 12, pp. 2602–2611, Dec. 2025. doi: 10.1109/JAS.2025.125519
Citation: T. Liu, S. Xie, Y. Xie, P. Liu, and T. Huang, “Predetermined-time output projective synchronization of coupled fuzzy neural networks via generalized exponential function,” IEEE/CAA J. Autom. Sinica, vol. 12, no. 12, pp. 2602–2611, Dec. 2025. doi: 10.1109/JAS.2025.125519

Predetermined-Time Output Projective Synchronization of Coupled Fuzzy Neural Networks via Generalized Exponential Function

doi: 10.1109/JAS.2025.125519
Funds:  This work was supported in part by the Distinguished Youth Foundation of Hunan Natural Science Foundation (2023JJ10079), the State Key Program of National Natural Science Foundation of China (62233018), and the National Natural Science Foundation of China (62373381)
More Information
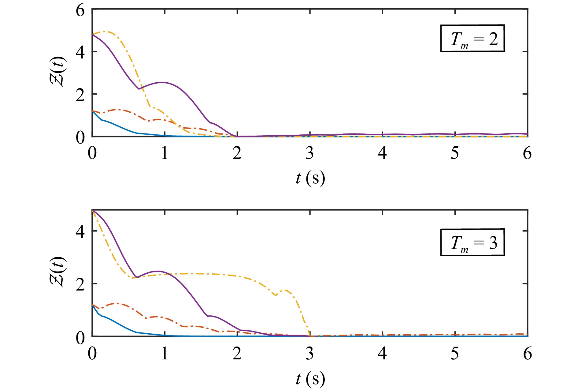
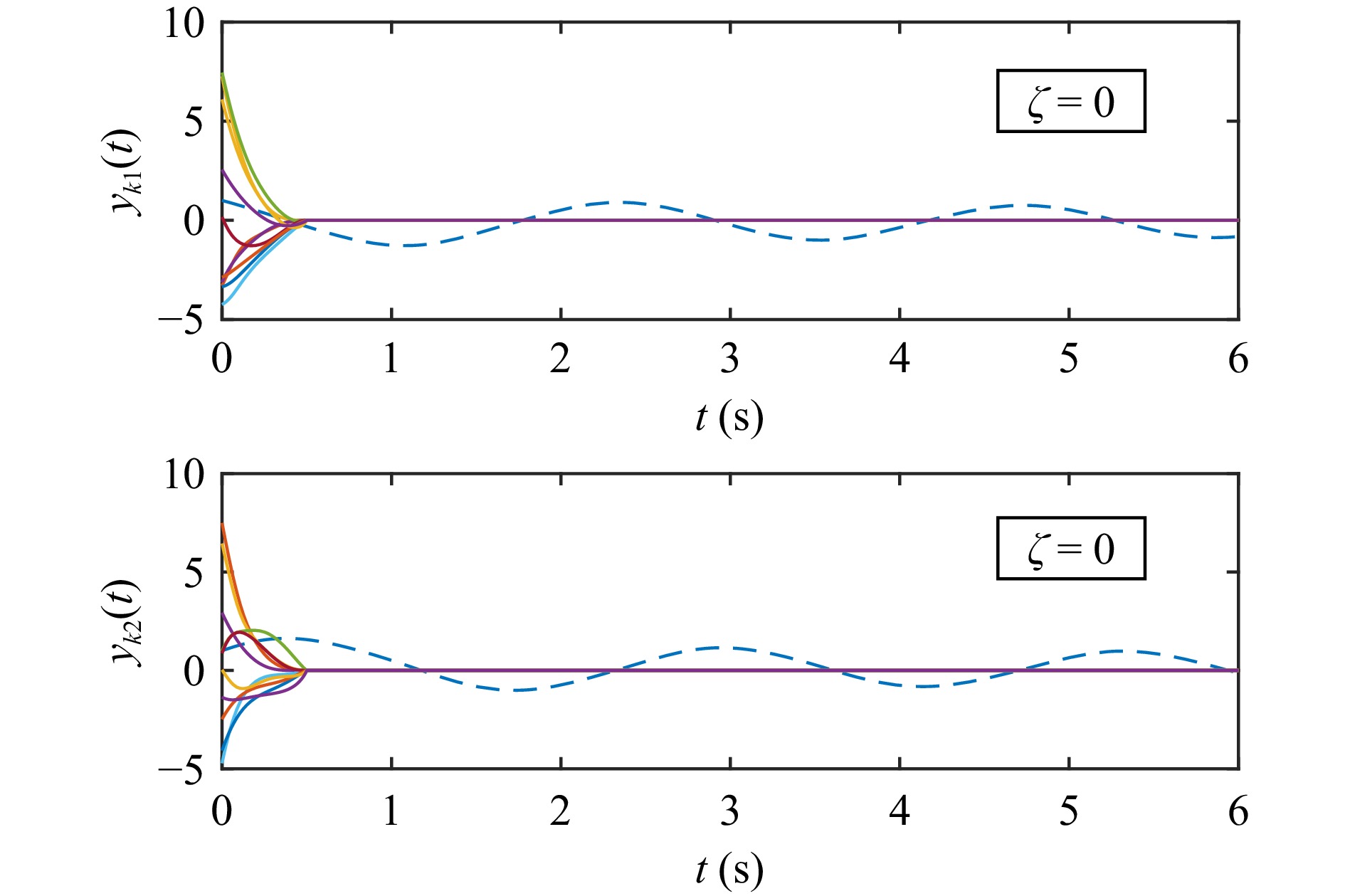
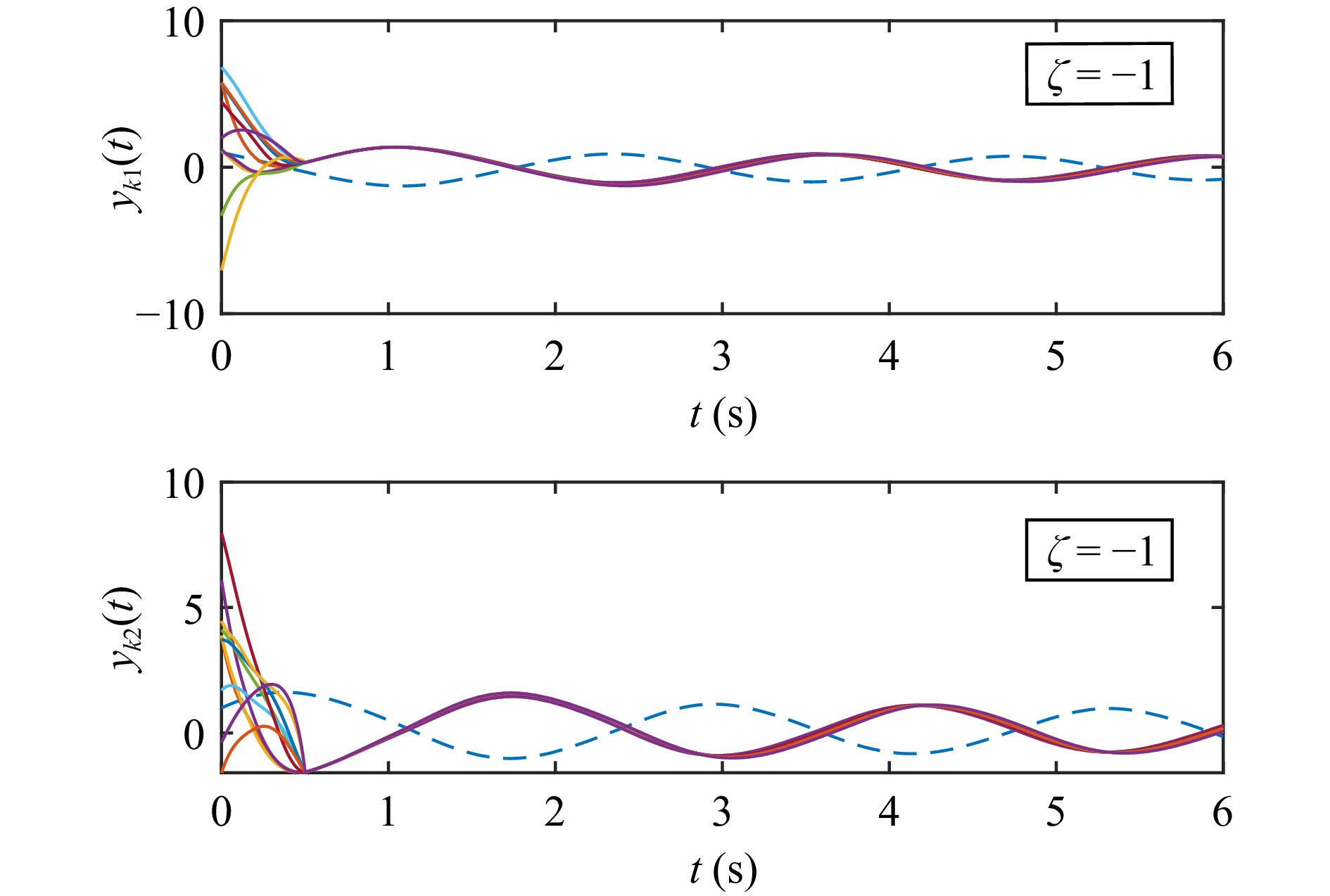
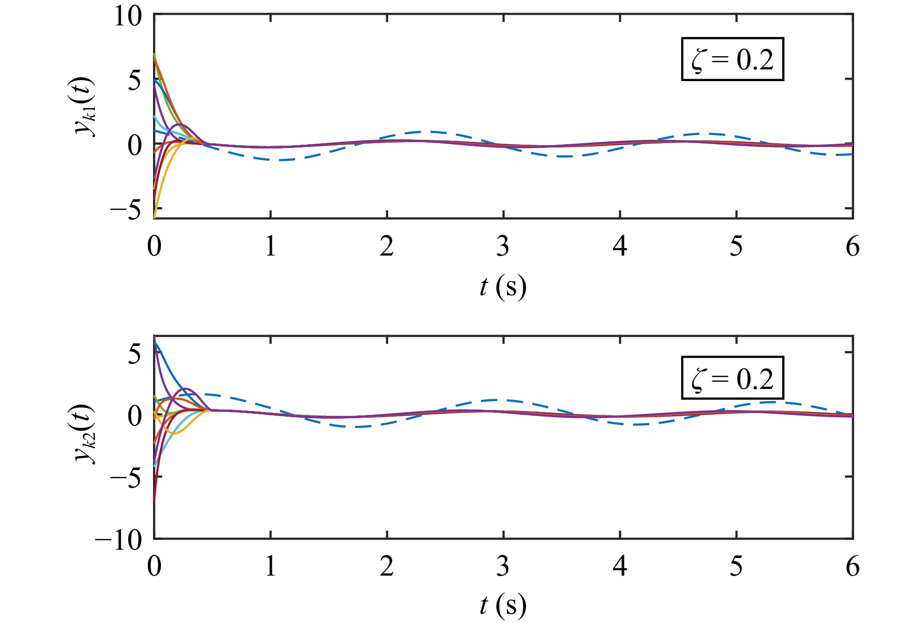
  • The main motivation of this paper arises from the fact that some complex systems have high demands for time precision, which need to reach the desired state in a pre-specified time interval. This paper addresses the predetermined-time output projective synchronization of coupled fuzzy neural networks. To mimic the uncertainty and relatedness among complex systems, coupled fuzzy neural networks are introduced to characterize complex systems in this paper. First, a novel controller is developed by means of a generalized exponential function and output states information, which can effectively avoid the chattering situations arising from the sign function. Under the controller, the output states of coupled fuzzy neural networks eventually converge to the projective state in the predefined time, which can reduce the requirements for sensor devices and improve the flexibility and efficiency of the control scheme. Second, in light of Lyapunov function and inequality techniques, sufficient criteria for ensuring to achieve the predetermined-time output projective synchronization of coupled fuzzy neural networks are deduced based on the assumption of the digraph containing a spanning tree. Furthermore, the results obtained in this paper not only represent an extension of master-slave systems but also demonstrate that the output synchronization of coupled fuzzy neural networks is a specific case of projective synchronization exemplified by a corollary. Finally, numerical examples are offered to reveal the correctness of theoretical results.

     

  • loading
  • [1]
    Y. Deng, Z. Ren, Y. Kong, F. Bao, and Q. Dai, “A hierarchical fused fuzzy deep neural network for data classification,” IEEE Trans. Fuzzy Syst., vol. 25, no. 4, pp. 1006–1012, Aug. 2016.
    [2]
    G. Ma, J. Lu, and G. Zhang, “Multi-source domain adaptation with interval-valued target data via fuzzy neural networks,” IEEE Trans. Fuzzy Syst., vol. 32, no. 5, pp. 3094–3106, May 2024. doi: 10.1109/TFUZZ.2024.3367456
    [3]
    L. P. Maguire, B. Roche, T. M. McGinnity, and L. McDaid, “Predicting a chaotic time series using a fuzzy neural network,” Inform. Sci., vol. 112, no. 1−4, pp. 125–136, 1998. doi: 10.1016/S0020-0255(98)10026-9
    [4]
    L. Ma, N. Li, P. Zhu, K. Tang, A. Khan, F. Wang, and G. Yu, “A novel fuzzy neural network architecture search framework for defect recognition with uncertainties,” IEEE Trans. Fuzzy Syst., vol. 32, no. 5, pp. 3274–3285, May 2024. doi: 10.1109/TFUZZ.2024.3373792
    [5]
    P. Tiwari, L. Zhang, Z. Qu, and G. Muhammad, “Quantum fuzzy neural network for multimodal sentiment and sarcasm detection,” Inform. Fusion, vol. 103, p. 102085, 2024. doi: 10.1016/j.inffus.2023.102085
    [6]
    S. Subramaniam and P. Mani, “Sampled-data synchronization for fuzzy inertial cellular neural networks and its application in secure communication,” Neural Netw., vol. 180, p. 106671, 2024. doi: 10.1016/j.neunet.2024.106671
    [7]
    X. Ju, C. Li, H. Che, X. He, and G. Feng, “A proximal neurodynamic network with fixed-time convergence for equilibrium problems and its applications,” IEEE Trans. Neural Netw. Learn. Syst., vol. 34, no. 10, pp. 7500–7514, Oct. 2023. doi: 10.1109/TNNLS.2022.3144148
    [8]
    H. Delavari and M. Mohadeszadeh, “Robust finite-time synchronization of non-identical fractional-order hyperchaotic systems and its application in secure communication,” IEEE/CAA J. Autom. Sinica, vol. 6, no. 1, pp. 228–235, Jan. 2019. doi: 10.1109/JAS.2016.7510145
    [9]
    Y. Wu, Z. Sun, G. Ran, and L. Xue, “Intermittent control for fixed-time synchronization of coupled networks,” IEEE/CAA J. Autom. Sinica, vol. 10, no. 6, pp. 1488–1490, Jun. 2023. doi: 10.1109/JAS.2023.123363
    [10]
    Y. Cui, P. Cheng, and X. Ge, “Exponential synchronization of delayed stochastic complex dynamical networks via hybrid impulsive control,” IEEE/CAA J. Autom. Sinica, vol. 11, no. 3, pp. 785–787, Mar. 2024. doi: 10.1109/JAS.2023.123867
    [11]
    G. Wen, W. Yu, M. Z. Q. Chen, X. Yu, and G. Chen, “H pinning synchronization of directed networks with aperiodic sampled-data communications,” IEEE Trans. Circuits Syst. Regul. Pap., vol. 61, no. 11, pp. 3245–3255, Nov. 2014. doi: 10.1109/TCSI.2014.2334871
    [12]
    C. W. Liu, M. C. Su, S. S. Tsay, and Y. J. Wang, “Application of a novel fuzzy neural network to real-time transient stability swings prediction based on synchronized phasor measurements,” IEEE Trans. Power Syst., vol. 14, no. 2, pp. 685–692, May 1999. doi: 10.1109/59.761898
    [13]
    J. Liu, L. Shu, Q. Chen, and S. Zhong, “Fixed-time synchronization criteria of fuzzy inertial neural networks via Lyapunov functions with indefinite derivatives and its application to image encryption,” Fuzzy Set. Syst., vol. 459, pp. 22–42, 2023. doi: 10.1016/j.fss.2022.08.002
    [14]
    Y. Xia, Z. Yang, and M. Han, “Lag synchronization of unknown chaotic delayed Yang-Yang-type fuzzy neural networks with noise perturbation based on adaptive control and parameter identification,” IEEE Trans. Neural Networks, vol. 20, no. 7, pp. 1165–1180, Jul. 2009. doi: 10.1109/TNN.2009.2016842
    [15]
    S. Yang, W. Zhang, D. Ruan, T. Yang, and Y. Li, “Fast fixed-time impulsive bipartite synchronization of TS fuzzy complex networks with signed graphs,” Nonlinear Anal. Hybrid Syst, vol. 48, p. 101325, 2023. doi: 10.1016/j.nahs.2022.101325
    [16]
    X. Meng, Y. Fei, and Z. Li, “Quasi-projective synchronization control of delayed stochastic quaternion-valued fuzzy cellular neural networks with mismatched parameters,” Cogn. Comput., vol. 16, no. 5, pp. 2206–2221, 2024. doi: 10.1007/s12559-024-10299-9
    [17]
    Y. Xu, H. L. Li, L. Zhang, C. Hu, and H. Jiang, “Quasi-projective and Mittag-Leffler synchronization of discrete-time fractional-order complex-valued fuzzy neural networks,” Neural Process. Lett., vol. 55, no. 5, pp. 6657–6677, 2023. doi: 10.1007/s11063-023-11153-z
    [18]
    Y. Xu, Z. Jiang, X. Xie, W. Li, Y. Wu, and R. M. Palhares, “Bipartite synchronization of fractional-order T-S fuzzy signed networks via event-triggered intermittent control,” IEEE Trans. Fuzzy Syst., vol. 32, no. 12, pp. 6979–6989, Dec. 2024. doi: 10.1109/TFUZZ.2024.3471793
    [19]
    R. Tang, X. Yang, and X. Wan, “Finite-time cluster synchronization for a class of fuzzy cellular neural networks via non-chattering quantized controllers,” Neural Netw., vol. 113, pp. 79–90, 2019. doi: 10.1016/j.neunet.2018.11.010
    [20]
    K.-Z. Li, M.-C. Zhao, and X. C. Fu, “Projective synchronization of driving–response systems and its application to secure communication,” IEEE Trans. Circuits Syst. Regul. Pap., vol. 56, no. 10, pp. 2280–2291, Oct. 2009. doi: 10.1109/TCSI.2008.2012208
    [21]
    J. Chen, L. Jiao, J. Wu, and X. Wang, “Projective synchronization with different scale factors in a driven–response complex network and its application in image encryption,” Nonlinear Anal. Real World Appl., vol. 11, no. 4, pp. 3045–3058, 2010. doi: 10.1016/j.nonrwa.2009.11.003
    [22]
    J. Sun, C. Sun, Z. Wang, and Y. Wang, “Biosignals secure communication scheme with filtering of active control projection synchronization of biological chaotic circuits with different orders based on dna strand displacement,” IEEE Trans. Biomed. Circuits Syst., vol. 17, no. 3, pp. 470–482, Jun. 2023. doi: 10.1109/TBCAS.2023.3270323
    [23]
    Q. Fu, S. Zhong, W. Jiang, and W. Xie, “Projective synchronization of fuzzy memristive neural networks with pinning impulsive control,” J. Franklin Inst., vol. 357, no. 15, pp. 10387–10409, 2020. doi: 10.1016/j.jfranklin.2020.08.015
    [24]
    Y. Kao, C. Wang, H. Xia, and Y. Cao, “Projective synchronization for uncertain fractional reaction-diffusion systems via adaptive sliding mode control based on finite-time scheme,” in Analysis and Control for Fractional-Order Systems, Springer, 2024, pp. 141–163.
    [25]
    A. Khan and U. Nigar, “Sliding mode disturbance observer control based on adaptive hybrid projective compound combination synchronization in fractional-order chaotic systems,” J. Control Autom. Electr. Syst., vol. 31, pp. 885–899, 2020. doi: 10.1007/s40313-020-00613-9
    [26]
    X. Meng, Z. Wu, C. Gao, B. Jiang, and H. R. Karimi, “Finite-time projective synchronization control of variable-order fractional chaotic systems via sliding mode approach,” IEEE Trans. Circuits Syst. Express Briefs, vol. 68, no. 7, pp. 2503–2507, Jul. 2021. doi: 10.1109/TCSII.2021.3055753
    [27]
    Y. Xu, H. Li, J. Yang, and L. Zhang, “Quasi-projective synchronization of discrete-time fractional-order complex-valued BAM fuzzy neural networks via quantized control,” Fractal Fract., vol. 8, no. 5, p. 263, 2024. doi: 10.3390/fractalfract8050263
    [28]
    K. Dong, G. H. Yang, and H. Wang, “Estimator-based event-triggered output synchronization for heterogeneous multi-agent systems under denial-of-service attacks and actuator faults,” Inform. Sci., vol. 657, p. 119955, 2024. doi: 10.1016/j.ins.2023.119955
    [29]
    C. Zhou, C. Wang, Y. Sun, W. Yao, and H. Lin, “Cluster output synchronization for memristive neural networks,” Inform. Sci., vol. 589, pp. 459–477, 2022. doi: 10.1016/j.ins.2021.12.084
    [30]
    D. Yang, G. Ren, H. Wang, Y. Yu, and X. Yuan, “Adaptive control for output projective synchronization of fractional-order hybrid coupled neural networks with mismatched dimensions,” Neurocomputing, vol. 558, p. 126738, 2023. doi: 10.1016/j.neucom.2023.126738
    [31]
    X. Min, S. Baldi, and W. Yu, “Distributed output feedback funnel control for uncertain nonlinear multiagent systems,” IEEE Trans. Fuzzy Syst., vol. 30, no. 9, pp. 3708–3721, Sep. 2022. doi: 10.1109/TFUZZ.2021.3126113
    [32]
    F. You, H. A. Tang, Y. Wang, Z. Y. Xia, and J. W. Li, “Adaptive output synchronization of coupled fractional-order memristive reaction-diffusion neural networks,” Fractal Fract., vol. 8, no. 2, p. 78, 2024. doi: 10.3390/fractalfract8020078
    [33]
    Q. Qiu and H. Su, “Finite-time output synchronization of multiple weighted reaction–diffusion neural networks with adaptive output couplings,” IEEE Trans. Neural Netw. Learn. Syst., vol. 35, no. 1, pp. 169–181, Jan. 2024. doi: 10.1109/TNNLS.2022.3172490
    [34]
    R. Wei, J. Cao, and J. Kurths, “Fixed-time output synchronization of coupled reaction-diffusion neural networks with delayed output couplings,” IEEE Trans. Network Sci. Eng., vol. 8, no. 1, pp. 780–789, Mar. 2021. doi: 10.1109/TNSE.2021.3052255
    [35]
    F. Du, J. G. Lu, and Q. H. Zhang, “Practical finite-time synchronization of delayed fuzzy cellular neural networks with fractional-order,” Inform. Sci., vol. 667, p. 120457, 2024. doi: 10.1016/j.ins.2024.120457
    [36]
    L. Wang, Y. Hu, C. Hu, Y. Zhou, and S. Wen, “Finite-time synchronization of delayed fuzzy inertial neural networks via intermittent control,” Neurocomputing, vol. 574, p. 127288, 2024. doi: 10.1016/j.neucom.2024.127288
    [37]
    Y. Wan and L. Zhou, “Fixed-time synchronization of discontinuous proportional delay inertial neural networks with uncertain parameters,” Inform. Sci., vol. 678, p. 120931, 2024.
    [38]
    S. Chen, Y. Wan, J. Cao, and J. Kurths, “Predefined-time synchronization for competitive neural networks with different time scales and external disturbances,” Math. Comput. Simulat., vol. 222, pp. 330–349, 2024. doi: 10.1016/j.matcom.2023.09.004
    [39]
    H. Mei, X. Wen, X. Ma, Y. Tan, and J. Wang, “Adaptive practical predefined-time leader-follower consensus for second-order multiagent systems with uncertain disturbances,” J. Franklin Inst., vol. 361, no. 6, p. 106694, 2024. doi: 10.1016/j.jfranklin.2024.106694
    [40]
    E. A. Assali, “Predefined-time synchronization of chaotic systems with different dimensions and applications,” Chaos, Solitons Fractals, vol. 147, p. 110988, 2021. doi: 10.1016/j.chaos.2021.110988
    [41]
    C. Chen, L. Mi, Z. Liu, B. Qiu, H. Zhao, and L. Xu, “Predefined-time synchronization of competitive neural networks,” Neural Netw., vol. 142, pp. 492–499, 2021. doi: 10.1016/j.neunet.2021.06.026
    [42]
    X. Zhou, J. Cao, and X. Wang, “Predefined-time synchronization of coupled neural networks with switching parameters and disturbed by brownian motion,” Neural Netw., vol. 160, pp. 97–107, 2023. doi: 10.1016/j.neunet.2022.12.024
    [43]
    S. Shao, X. Liu, and J. Cao, “Prespecified-time synchronization of switched coupled neural networks via smooth controllers,” Neural Netw., vol. 133, pp. 32–39, 2021. doi: 10.1016/j.neunet.2020.10.007
    [44]
    P. Liu, T. Liu, J. Sun, and Z. Zeng, “Predefined-time synchronization of multiple fuzzy recurrent neural networks via a new scaling function,” IEEE Trans. Fuzzy Syst., vol. 32, no. 3, pp. 1527–1538, Mar. 2023.
    [45]
    M. Abudusaimaiti, A. Abdurahman, H. Jiang, and C. Hu, “Fixed/predefined-time synchronization of fuzzy neural networks with stochastic perturbations,” Chaos, Solitons Fractals, vol. 154, p. 111596, 2022. doi: 10.1016/j.chaos.2021.111596
    [46]
    L. Zhou, H. Lin, and F. Tan, “Fixed/predefined-time synchronization of coupled memristor-based neural networks with stochastic disturbance,” Chaos, Solitons Fractals, vol. 173, p. 113643, 2023. doi: 10.1016/j.chaos.2023.113643
    [47]
    J. Chen, X. Li, X. Wu, and G. Shen, “Prescribed-time synchronization of complex dynamical networks with and without time-varying delays,” IEEE Trans. Network Sci. Eng., vol. 9, no. 6, pp. 4017–4027, Nov. 2022. doi: 10.1109/TNSE.2022.3191348
    [48]
    T. Yang and L. B. Yang, “The global stability of fuzzy cellular neural network,” IEEE Trans. Circuits Syst. I, vol. 43, no. 10, pp. 880–883, Oct. 1996. doi: 10.1109/81.538999
    [49]
    Y. Wang, Y. Song, D. J. Hill, and M. Krstic, “Prescribed-time consensus and containment control of networked multiagent systems,” IEEE Trans. Cybern., vol. 49, no. 4, pp. 1138–1147, Apr. 2019. doi: 10.1109/TCYB.2017.2788874
    [50]
    P. Liu, J. Wang, and Z. Zeng, “Event-triggered synchronization of multiple fractional-order recurrent neural networks with time-varying delays,” IEEE Trans. Neural Netw. Learn. Syst., vol. 34, no. 8, pp. 4620–4630, 2023. doi: 10.1109/TNNLS.2021.3116382

Catalog

    通讯作者: 陈斌, bchen63@163.com
    • 1. 

      沈阳化工大学材料科学与工程学院 沈阳 110142

    1. 本站搜索
    2. 百度学术搜索
    3. 万方数据库搜索
    4. CNKI搜索

    Figures(8)

    Article Metrics

    Article views (308) PDF downloads(41) Cited by()

    /

    DownLoad:  Full-Size Img  PowerPoint
    Return
    Return