A journal of IEEE and CAA , publishes high-quality papers in English on original theoretical/experimental research and development in all areas of automation

Vol. 12,  No. 11, 2025

Display Method:
PERSPECTIVE
Insight from Parallel Doctors of Parallel Hospitals: New AI for New Medicine and Health Sciences
Fei-Yue Wang, Jing Yang, Jiaxi Liu, Yongjun Wang
2025, 12(11): 2171-2174. doi: 10.1109/JAS.2025.125999
Abstract(2425) HTML (243) PDF(1369)
Abstract:
REVIEWS
The Confluence of Evolutionary Computation and Multi-Agent Systems: A Survey
Tai-You Chen, Wei-Neng Chen, Feng-Feng Wei, Xiao-Qi Guo, Wen-Xiang Song, Rui Zhu, Qiuzhen Lin, Jun Zhang
2025, 12(11): 2175-2193. doi: 10.1109/JAS.2025.125246
Abstract(2571) HTML (108) PDF(444)
Abstract:
Both evolutionary computation (EC) and multi-agent systems (MAS) study the emergence of intelligence through the interaction and cooperation of a group of individuals. EC focuses on solving various complex optimization problems, while MAS provides a flexible model for distributed artificial intelligence. Since their group interaction mechanisms can be borrowed from each other, many studies have attempted to combine EC and MAS. With the rapid development of the Internet of Things, the confluence of EC and MAS has become more and more important, and related articles have shown a continuously growing trend during the last decades. In this survey, we first elaborate on the mutual assistance of EC and MAS from two aspects, agent-based EC and EC-assisted MAS. Agent-based EC aims to introduce characteristics of MAS into EC to improve the performance and parallelism of EC, while EC-assisted MAS aims to use EC to better solve optimization problems in MAS. Furthermore, we review studies that combine the cooperation mechanisms of EC and MAS, which greatly leverage the strengths of both sides. A description framework is built to elaborate existing studies. Promising future research directions are also discussed in conjunction with emerging technologies and real-world applications.
Adaptive Event-Triggered Control of Time-Varying Nonlinear Systems: A Tight and Powerful Strategy
Lei Chu, Yungang Liu
2025, 12(11): 2194-2206. doi: 10.1109/JAS.2025.125786
Abstract(485) HTML (105) PDF(102)
Abstract:
This paper considers adaptive event-triggered stabilization for a class of uncertain time-varying nonlinear systems. Remarkably, the systems contain intrinsic time-varying unknown parameters which are allowed to be non-differentiable and in turn can be fast-varying. Moreover, the systems admit unknown control directions. To counteract the different uncertainties, more than one compensation mechanism has to be incorporated. However, in the context of event-triggered control, ensuring the effectiveness of these compensation mechanisms under reduced execution necessitates delicate design and analysis. This paper proposes a tight and powerful strategy for adaptive event-triggered control (ETC) by integrating the state-of-the-art adaptive techniques. In particular, the strategy substantially mitigates the conservatism caused by repetitive inequality-based treatments of uncertainties. Specifically, by leveraging the congelation-of-variables method and tuning functions, the conservatism in the treatment of the fast-varying parameters is significantly reduced. With multiple Nussbaum functions employed to handle unknown control directions, a set of dynamic compensations is designed to counteract unknown amplitudes of control coefficients without relying on inequality-based treatments. Moreover, a dedicated dynamic compensation is introduced to deal with the control coefficient coupled with the execution error, based on which a relative-threshold event-triggering mechanism (ETM) is rigorously validated. It turns out that the adaptive event-triggered controller achieves the closed-loop convergence while guaranteeing a uniform lower bound for inter-execution times. Simulation results verify the effectiveness and superiority of the proposed strategy.
PAPERS
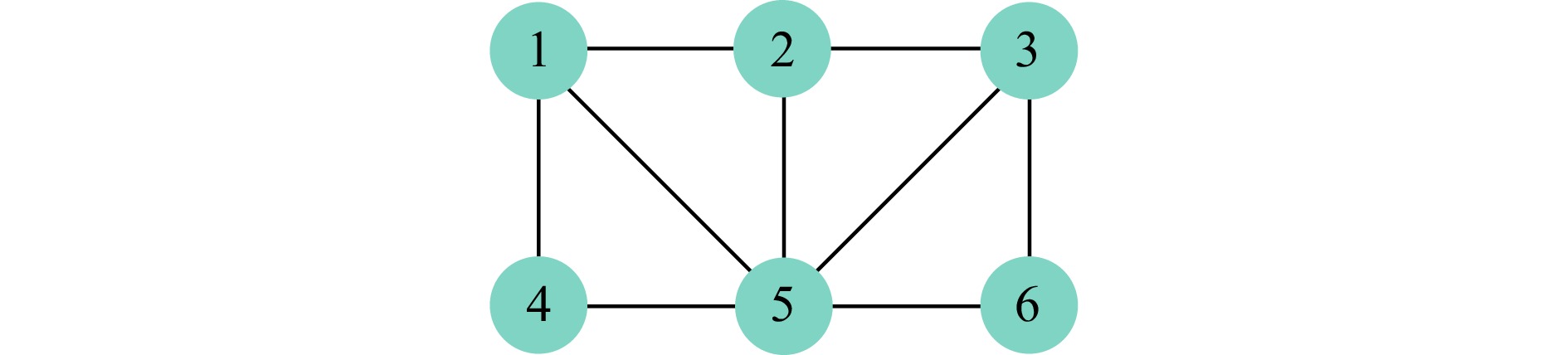
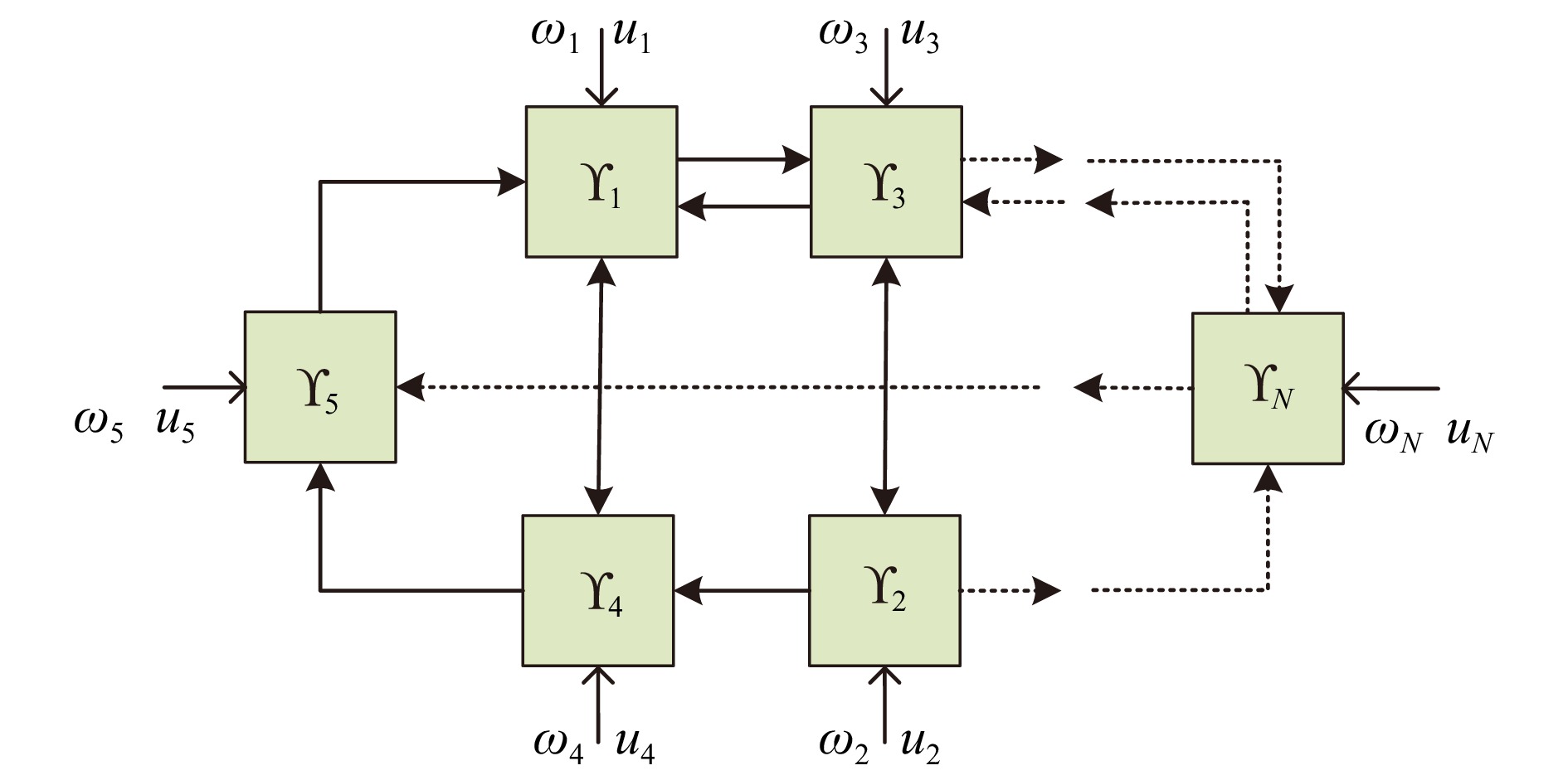
Extended Dissipative Observer-Based Plug-and-Play Control for Large-Scale Interconnected Systems
Xiaohui Hu, Chen Peng, Hao Shen, Engang Tian
2025, 12(11): 2207-2217. doi: 10.1109/JAS.2025.125360
Abstract(783) HTML (150) PDF(97)
Abstract:
In this study, a novel observer-based scalable control scheme for large-scale systems (LSSs) with several interconnected subsystems is explored. Firstly, a scalable observer-based controller is designed to address complex situations where system states are difficult to measure directly. Secondly, unlike the limited cascade and ring topology connections in previous results, this study considers a universal arbitrary topology. Furthermore, it is noteworthy that the plug-and-play (PnP) capability of LSSs is guaranteed thanks to the proposed scalable scheme. Specifically, when subsystems are added or removed, only the controller gains of directly connected neighbors need updating, eliminating the need to redesign the entire system. Moreover, by choosing a Lyapunov-Krasovskii function with a quadratic matrix-valued polynomial, sufficient conditions are deduced to guarantee the global exponential stability with the desired extended dissipative performance for the resulting LSSs. Finally, the effectiveness of the employed scheme is verified by numerical and microgrid examples.
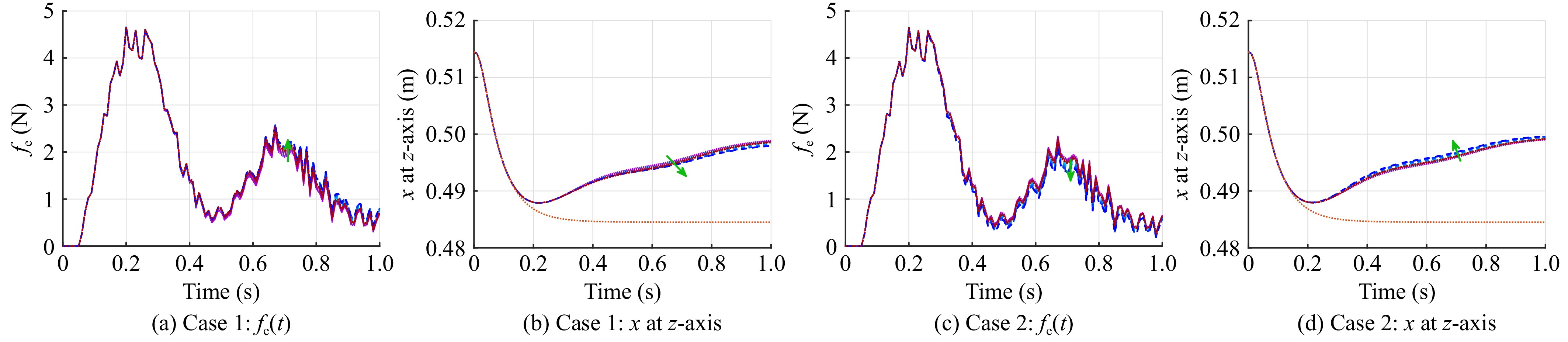
Robot Impedance Iterative Learning With Sparse Online Gaussian Process
Yongping Pan, Tian Shi, Wei Li, Bin Xu, Choon Ki Ahn
2025, 12(11): 2218-2227. doi: 10.1109/JAS.2025.125195
Abstract(871) HTML (89) PDF(149)
Abstract:
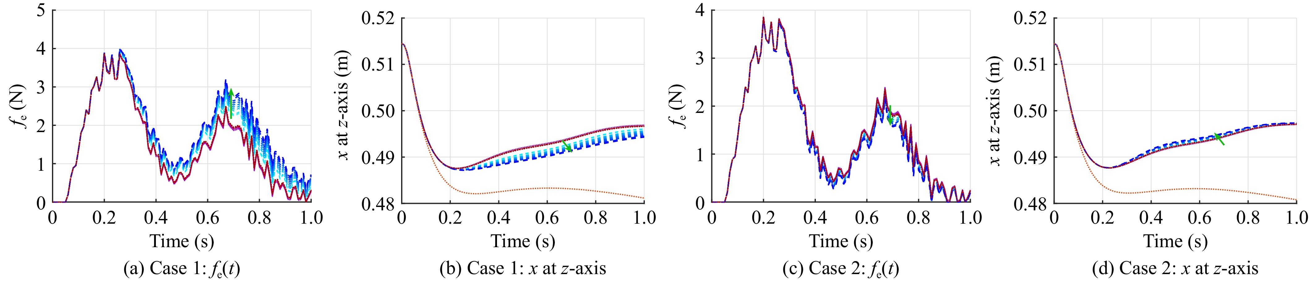
Robot interaction control with variable impedance parameters may conform to task requirements during continuous interaction with dynamic environments. Iterative learning (IL) is effective to learn desired impedance parameters for robots under unknown environments, and Gaussian process (GP) is a nonparametric Bayesian approach that models complicated functions with provable confidence using limited data. In this paper, we propose an impedance IL method enhanced by a sparse online Gaussian process (SOGP) to speed up learning convergence and improve generalization. The SOGP for variable impedance modeling is updated in the same iteration by removing similar data points from previous iterations while learning impedance parameters in multiple iterations. The proposed IL-SOGP method is verified by high-fidelity simulations of a collaborative robot with 7 degrees of freedom based on the admittance control framework. It is shown that the proposed method accelerates iterative convergence and improves generalization compared to the classical IL-based impedance learning method.
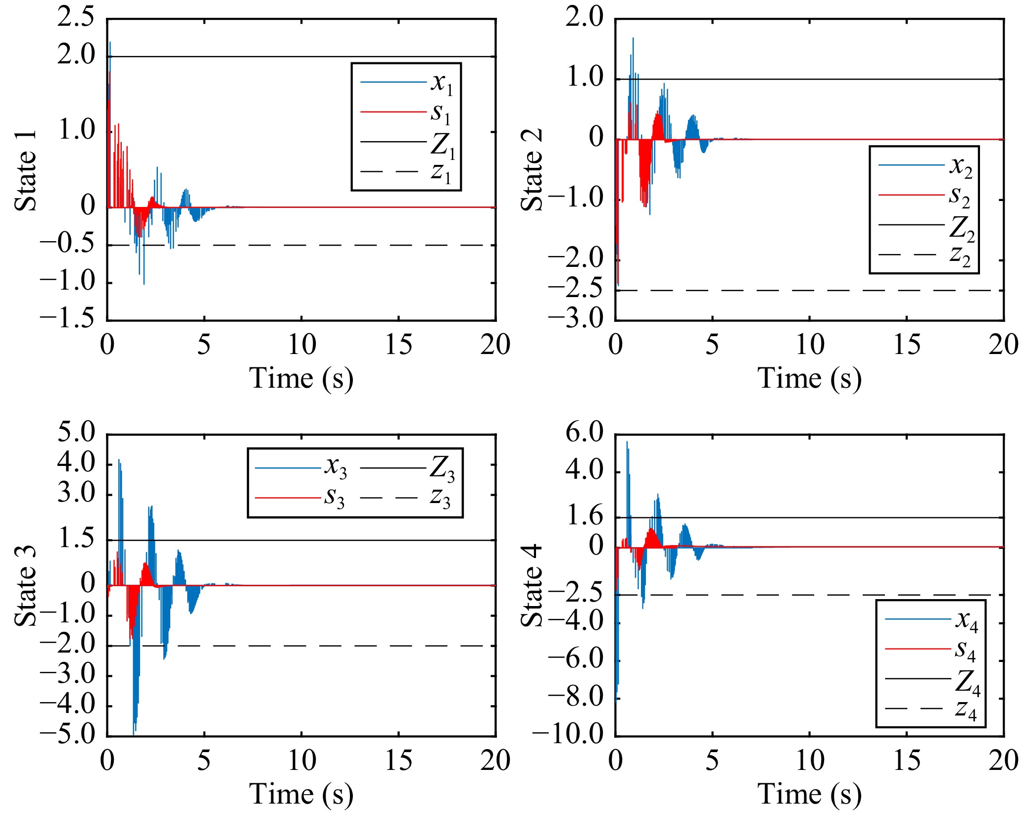
Adaptive Self-Triggered Impulsive Fault-Tolerant Control for Multi-Player Constrained Systems
Lu Liu, Ruizhuo Song, Lina Xia
2025, 12(11): 2228-2238. doi: 10.1109/JAS.2025.125288
Abstract(453) HTML (91) PDF(44)
Abstract:
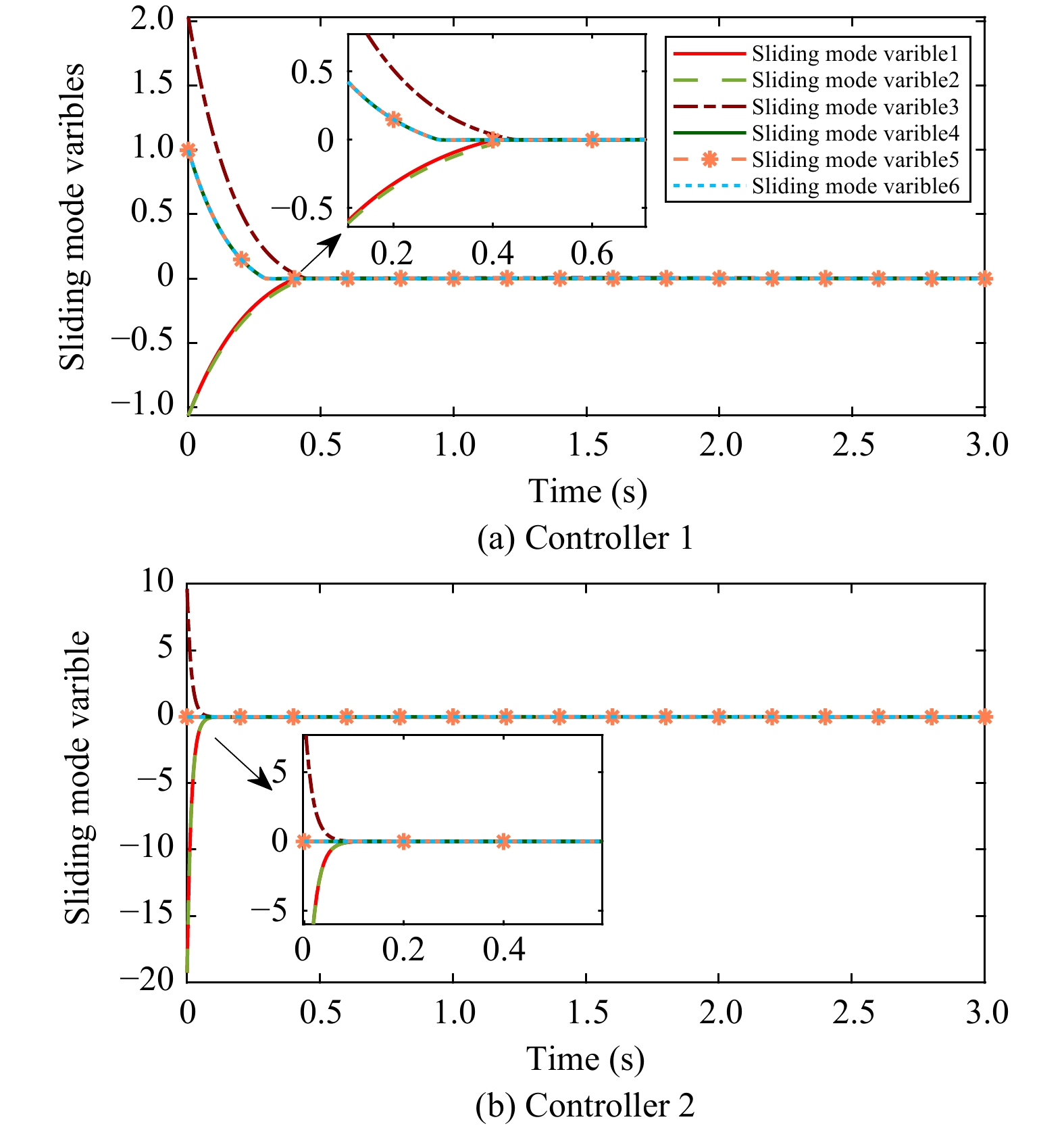
Considering that actual systems are often constrained by multiple factors such as state limitation, actuator saturation and actuator failure at the same time, this paper provides an effective solution for non-affine multi-player systems, which can guarantee the required performance while saving communication cost. Initially, an auxiliary system is established to accommodate state limitations, following which the controller design is partitioned into two distinct segments, addressing different types of faults. Specifically, the discontinuous and continuous aspects of the controller are achieved by sliding-mode control (SMC) and adaptive critic design (ACD), respectively. During the implementation of ACD to solve the guaranteed value function incorporating the utility function designed for the asymmetric saturation of the control input, two adaptive schemes including adaptive event-triggered impulsive control (AETIC) and adaptive self-triggered impulsive control (ASTIC) are introduced successively. It is proved that the system maintains exponential stability rather than asymptotic stability and the state signals keep ultimately uniformly bounded (UUB). Finally, the effectiveness of the proposed control sequence is verified by simulation comparisons.
A Novel Self-Adjusting Dual-Mode Evolutionary Framework for Multi-Task Optimization
Yingbo Xie, Junfei Qiao, Ding Wang, Manman Yuan
2025, 12(11): 2239-2252. doi: 10.1109/JAS.2025.125273
Abstract(667) HTML (141) PDF(52)
Abstract:
Evolutionary multi-task optimization (EMTO) presents an efficient way to solve multiple tasks simultaneously. However, difficulties they face in curbing the performance degradation caused by unmatched knowledge transfer and inefficient evolutionary strategies become more severe as the number of iterations increases. Motivated by this, a novel self-adjusting dual-mode evolutionary framework, which integrates variable classification evolution and knowledge dynamic transfer strategies, is designed to compensate for this deficiency. First, a dual-mode evolutionary framework is designed to meet the needs of evolution in different states. Then, a self-adjusting strategy based on spatial-temporal information is adopted to guide the selection of evolutionary modes. Second, a classification mechanism for decision variables is proposed to achieve the grouping of variables with different attributes. Then, the evolutionary algorithm with a multi-operator mechanism is employed to conduct classified evolution of decision variables. Third, an evolutionary strategy based on multi-source knowledge sharing is presented to realize the cross-domain transfer of knowledge. Then, a dynamic weighting strategy is developed for efficient utilization of knowledge. Finally, by conducting experiments and comparing the designed method with several existing algorithms, the empirical results confirm that it significantly outperforms its peers in tackling benchmark instances.
Pure-Output Feedback Controller for a Class of Unknown Nonaffine Discrete-Time Systems With Indeterminate Order and Non-Strict Dynamics
Chidentree Treesatayapun
2025, 12(11): 2253-2263. doi: 10.1109/JAS.2025.125270
Abstract(566) HTML (132) PDF(23)
Abstract:
The paper presents an adaptive controller formulated for a class of nonaffine discrete-time systems with non-strict forms and unknown dynamics. The controller operates based solely on the measured output, thus obviating the need for knowledge of the physical order of the controlled plant. Utilizing an ideal solution and equivalent dynamics, the approach integrates an adaptive network with feedback and robust controllers to establish a closed-loop system. A learning law is derived under practical conditions of the designed parameters, ensuring effective closed-loop performance based on pure-output feedback. The controller’s effectiveness is validated through both numerical and experimental systems, with results meeting the conditions specified in the main theorem. Comparative analysis highlights the controller’s highly satisfactory performance and its advantages. This research offers a promising approach to adaptive control for discrete-time systems with non-strict dynamics, providing practical solutions for systems with unknown dynamics and indeterminate system order.
Optimal Lyapunov Function and Minimum Amplitude Control for Disturbed Linear Systems
Xiuchong Liu, Zhanshan Wang
2025, 12(11): 2264-2274. doi: 10.1109/JAS.2025.125252
Abstract(293) HTML (85) PDF(34)
Abstract:
It is a challenging issue to obtain the minimum amplitude control for linear systems subject to amplitude-bounded disturbances. The difficulty is how to accurately give the quantitative relationship between the system H norm and control parameters. An optimal-Lyapunov-function-based controller design concept is proposed, and a minimum amplitude control scheme is presented under amplitude-bounded disturbances. Firstly, the optimal Lyapunov function is proposed by analyzing the geometric characteristics of the system H norm, and the necessary and sufficient condition of the optimal Lyapunov function parameter matrix is given. Secondly, the optimal Lyapunov function parameter matrix is constructed in the parameterized matrix equation, and the accurate quantitative relationship between the system H norm and control parameters is given. Finally, the control parameter optimization method is proposed according to the quantitative relationship between the system H norm and control parameters. Unlike robust optimization control methods, the presented minimum amplitude control scheme avoids the improper selection of the Lyapunov function in the controller design, and provides a novel way to design the minimum amplitude control under the given control accuracy. A buck converter example is given to illustrate the effectiveness and practicability of the presented scheme.
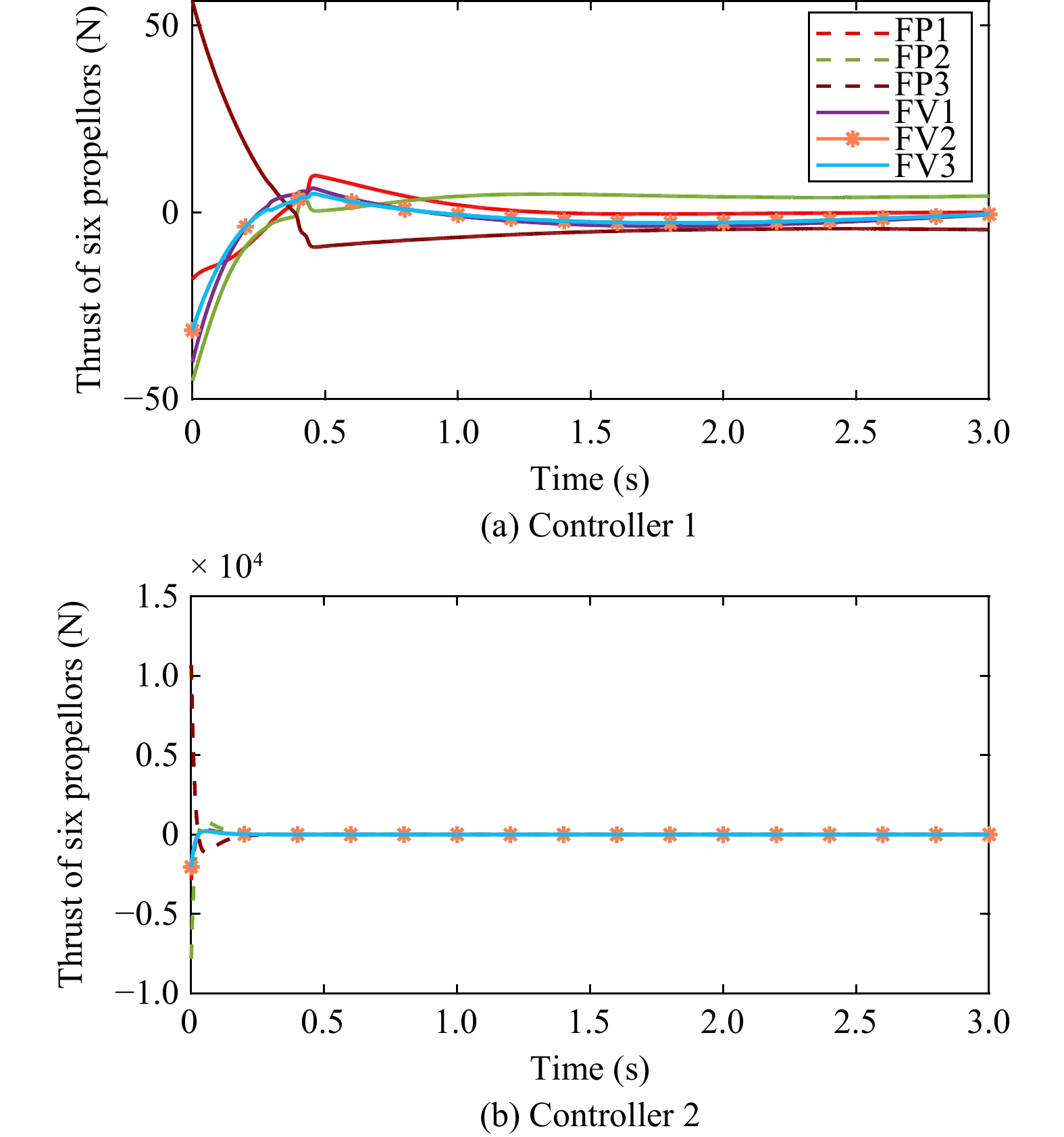
Quaternion-Based Modeling and Predefined-Time Tracking Control of a Fully Actuated Autonomous Underwater Vehicle
Yiming Li, Xiao Wang, Jinglong Shi, Jian Liu, Changyin Sun
2025, 12(11): 2275-2285. doi: 10.1109/JAS.2025.125267
Abstract(552) HTML (92) PDF(55)
Abstract:
This paper investigates the modeling and the practical predefined-time (PdT) tracking control problems for a fully actuated disk-shaped autonomous underwater vehicle (AUV) with six degrees of freedom. To overcome the gimbal lock problem inherent in Euler angle representation, unit quaternions are adopted to model the AUV, accounting for internal uncertainties and external disturbances. Then, an improved time-varying function is introduced, which serves as the basis for designing a non-singular sliding surface and sliding mode controller with PdT stability. This approach ensures that the tracking errors converge within a predefined time, independent of initial conditions and design parameters. Compared with traditional PdT controllers, the proposed method eliminates singularities, enhances the precision of convergence time estimation, and typically yields smaller, smoother initial control inputs, thus improving its potential for engineering applications. Numerical simulations validate the effectiveness and performance of the proposed controller.
Adaptive Periodic Disturbance Compensation for Continuous-Time Linear Systems With Input Delays
Jiahao Zhu, Shujin Yuan, Lisheng Mou, Jun Luo, Huayan Pu
2025, 12(11): 2286-2299. doi: 10.1109/JAS.2025.125258
Abstract(451) HTML (88) PDF(40)
Abstract:
Unknown time-varying periodic disturbances and input delays can degrade control performance and even lead to system instability. This paper presents a novel direct adaptive output feedback controller based on the internal model principle (IMP) to compensate for the unknown time-varying periodic disturbance in input delay systems. To reduce the design difficulty of the controller, the input delay system is equivalent to an input delay-free system by constructing stable auxiliary systems. Next, all the stabilizing controllers of the input delay system are derived by using the Youla parameterization method. Based on the IMP, an interpolation condition to completely compensate for periodic disturbances is formulated. Then, to compensate for the unknown time-varying periodic disturbance, a parameter adaptive algorithm is designed to update the Q-parameters online. The convergence of adaptive algorithms is analyzed by the Lyapunov function theory. Simulation and experimental results validated the effectiveness of the proposed method.
Point-MASNet: Masked Autoencoder-Based Sampling Network for 3D Point Cloud
Xu Wang, Yi Jin, Hui Yu, Yigang Cen, Tao Wang, Yidong Li
2025, 12(11): 2300-2313. doi: 10.1109/JAS.2024.125088
Abstract(847) HTML (110) PDF(37)
Abstract:
Task-oriented point cloud sampling aims to select a representative subset from the input, tailored to specific application scenarios and task requirements. However, existing approaches rarely tackle the problem of redundancy caused by local structural similarities in 3D objects, which limits the performance of sampling. To address this issue, this paper introduces a novel task-oriented point cloud masked autoencoder-based sampling network (Point-MASNet), inspired by the masked autoencoder mechanism. Point-MASNet employs a voxel-based random non-overlapping masking strategy, which allows the model to selectively learn and capture distinctive local structural features from the input data. This approach effectively mitigates redundancy and enhances the representativeness of the sampled subset. In addition, we propose a lightweight, symmetrically structured keypoint reconstruction network, designed as an autoencoder. This network is optimized to efficiently extract latent features while enabling refined reconstructions. Extensive experiments demonstrate that Point-MASNet achieves competitive sampling performance across classification, registration, and reconstruction tasks.
Advanced 3D Wind Farm Layout Optimization Framework via Power-Law Perturbation-Based Genetic Algorithm
Jiaru Yang, Yaotong Song, Jun Tang, Weiping Ding, Zhenyu Lei, Shangce Gao
2025, 12(11): 2314-2328. doi: 10.1109/JAS.2025.125351
Abstract(683) HTML (109) PDF(30)
Abstract:
The modeling and optimization of wind farm layouts can effectively reduce the wake effect between turbine units, thereby enhancing the expected output power and avoiding negative influence. Traditional wind farm optimization often uses idealized wake models, neglecting the influence of wind shear at different elevations, which leads to a lack of precision in estimating wake effects and fails to meet the accuracy and reliability requirements of practical engineering. To address this, we have constructed a three-dimensional 3D wind farm optimization model that incorporates elevation, utilizing a 3D wake model to better reflect real-world conditions. We aim to assess the optimization state of the algorithm and provide strong incentives at the right moments to ensure continuous evolution of the population. To this end, we propose an evolutionary adaptation degree-guided genetic algorithm based on power-law perturbation (PPGA) to adapt multidimensional conditions. We select the offshore wind power project in Nantong, Jiangsu, China, as a study example and compare PPGA with other well-performing algorithms under this practical project. Based on the actual wind condition data, the experimental results demonstrate that PPGA can effectively tackle this complex problem and achieve the best power efficiency.
Correlation-Guided Particle Swarm Optimization Approach for Feature Selection in Fault Diagnosis
Ke Chen, Wenjie Wang, Fangfang Zhang, Jing Liang, Kunjie Yu
2025, 12(11): 2329-2341. doi: 10.1109/JAS.2025.125306
Abstract(1643) HTML (93) PDF(127)
Abstract:
A large number of features are involved in fault diagnosis, and it is challenging to identify important and relative features for fault classification. Feature selection selects suitable features from the fault dataset to determine the root cause of the fault. Particle swarm optimization (PSO) has shown promising results in performing feature selection due to its promising search effectiveness and ease of implementation. However, most PSO-based feature selection approaches for fault diagnosis do not adequately take domain-specific a priori knowledge into account. In this study, we propose a correlation-guided PSO feature selection approach for fault diagnosis that focuses on improving the initialisation effectiveness, individual exploration ability, and population diversity. To be more specific, an initialisation strategy based on feature correlation is designed to enhance the quality of the initial population, while a probability individual updating mechanism is proposed to improve the exploitation ability. In addition, a sample shrinkage strategy is developed to enhance the ability to jump out of local optimal. Results on four public fault diagnosis datasets show that the proposed approach can select smaller feature subsets to achieve higher classification accuracy than other state-of-the-art feature selection methods in most cases. Furthermore, the effectiveness of the proposed approach is also verified by examining real-world fault diagnosis problems.
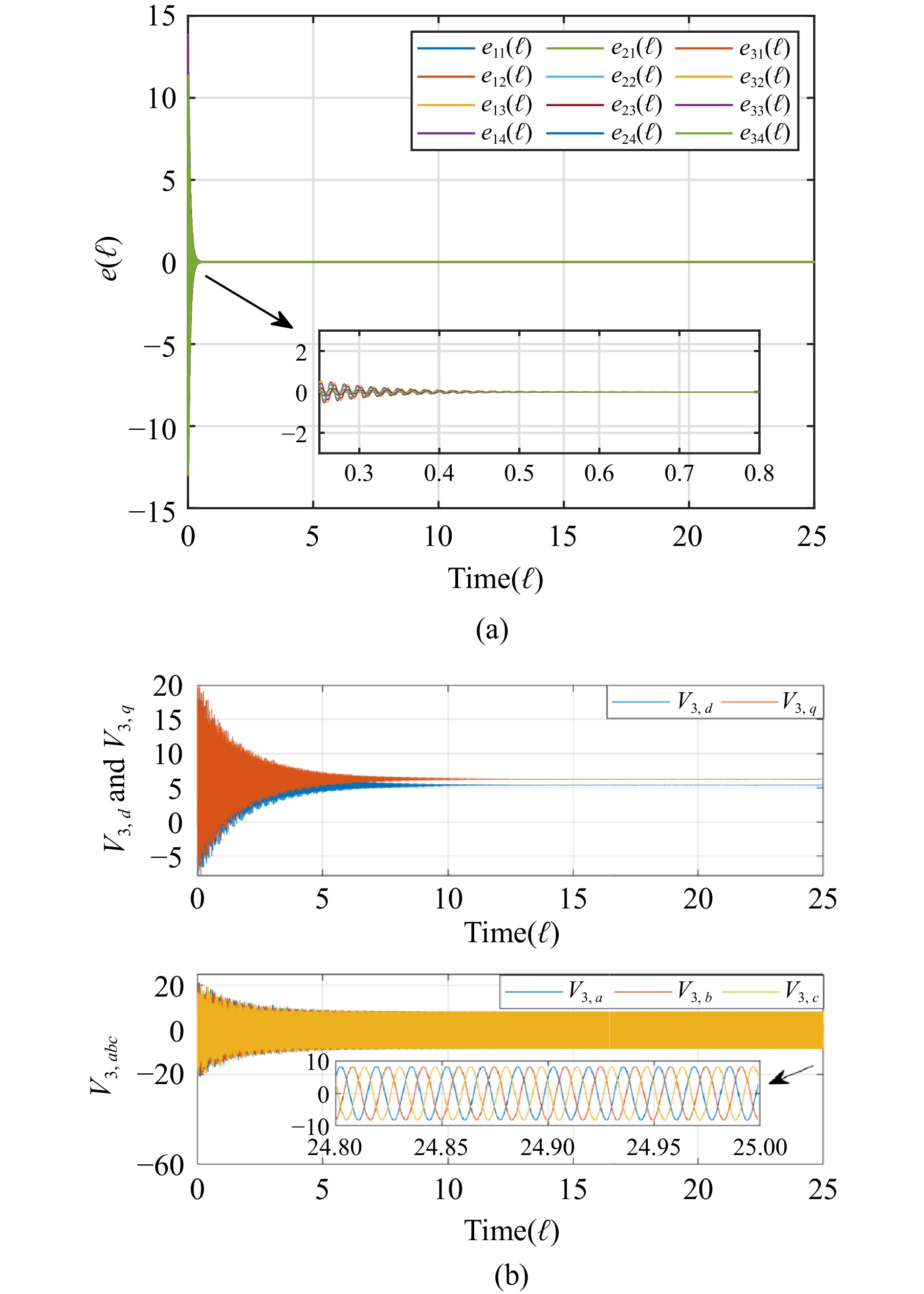
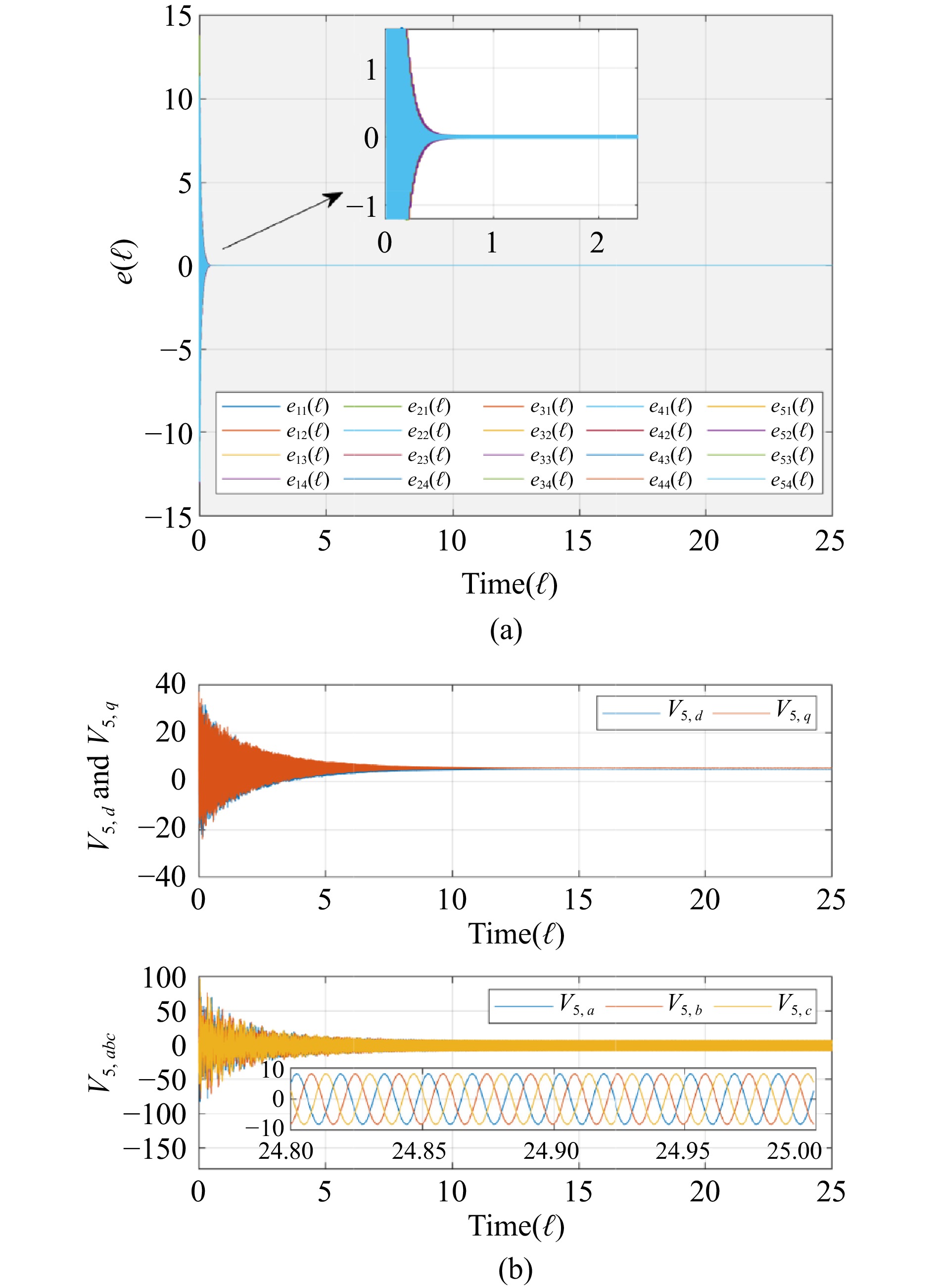
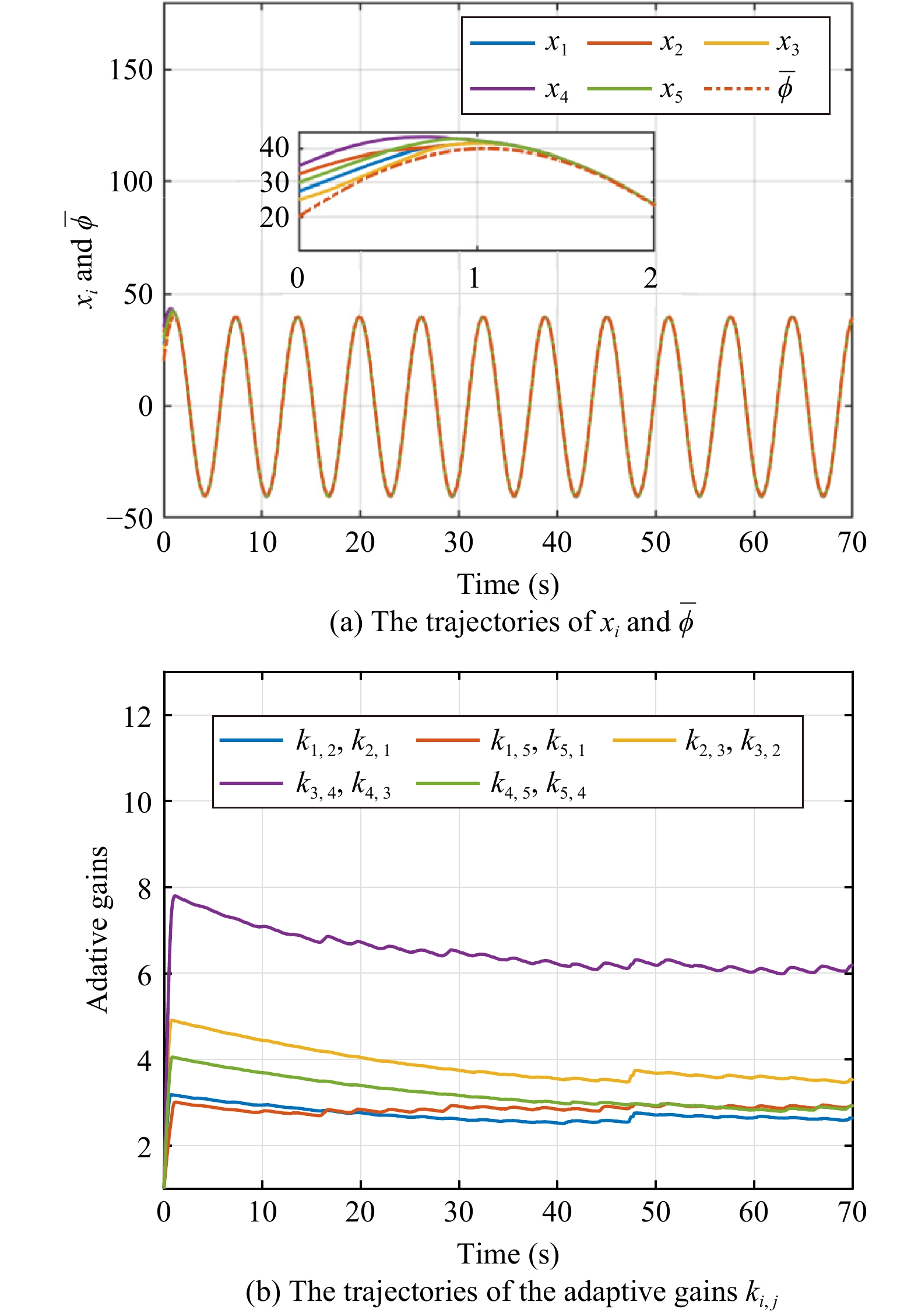
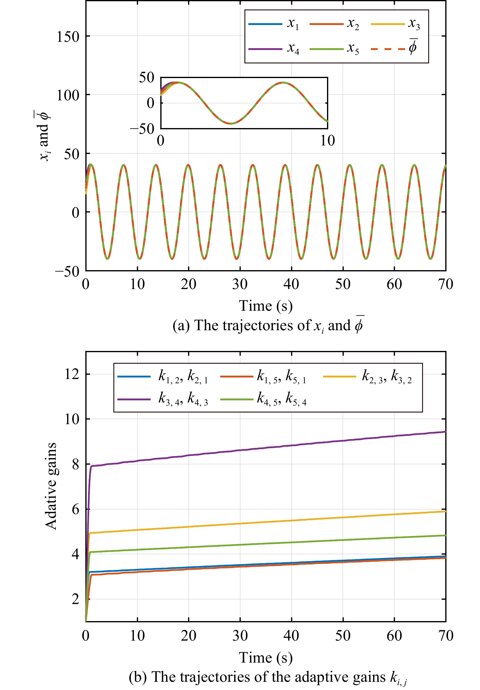
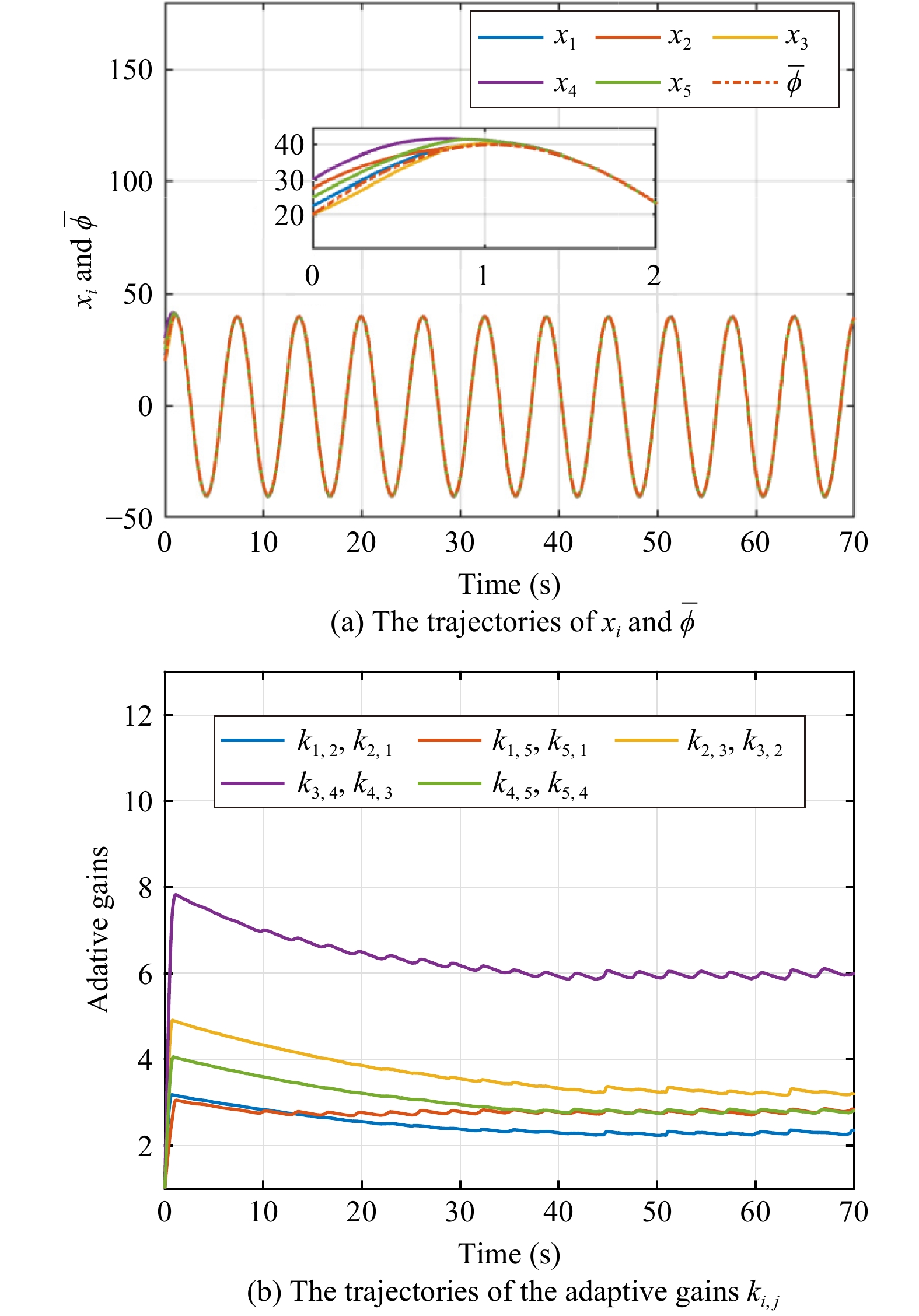
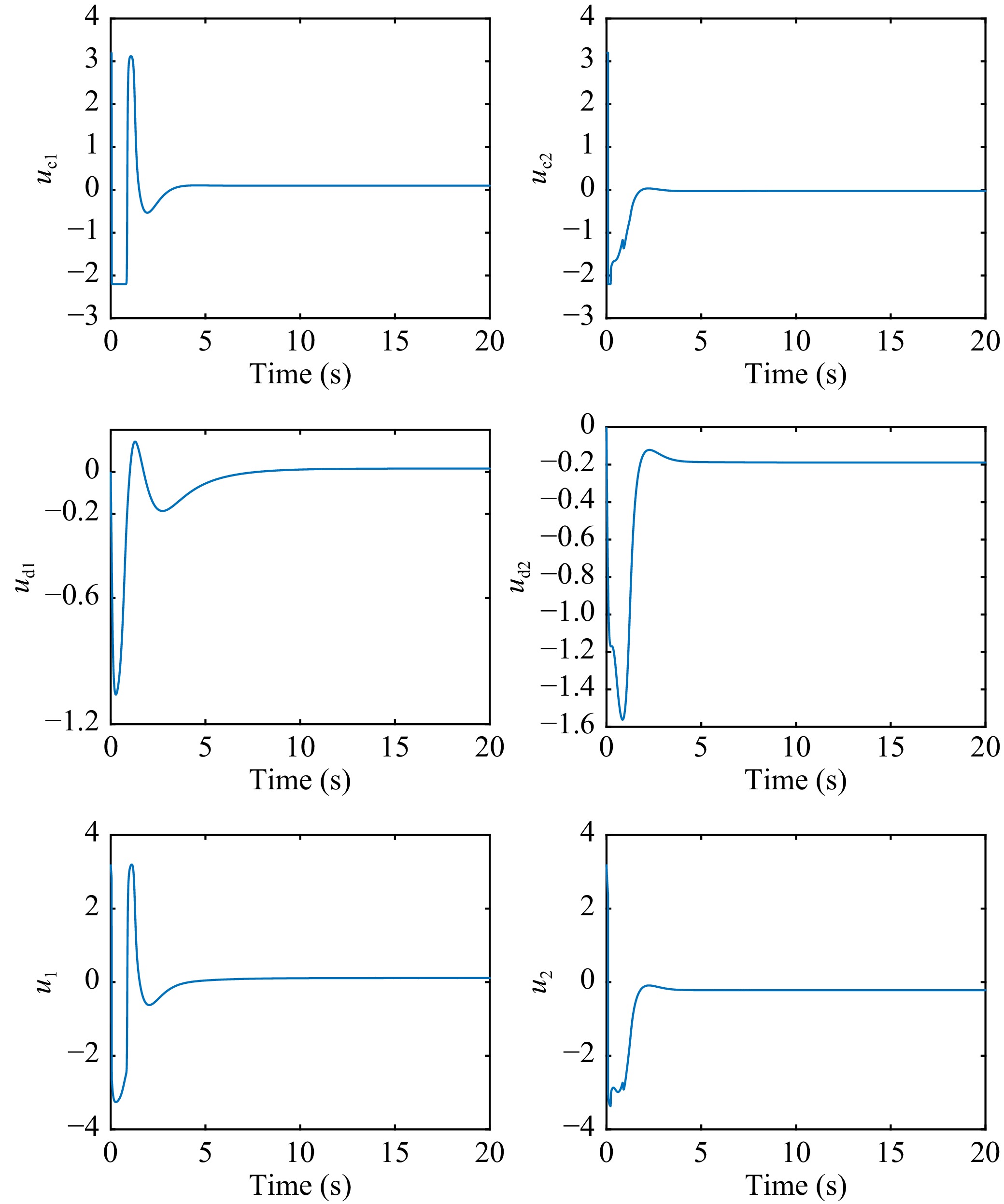
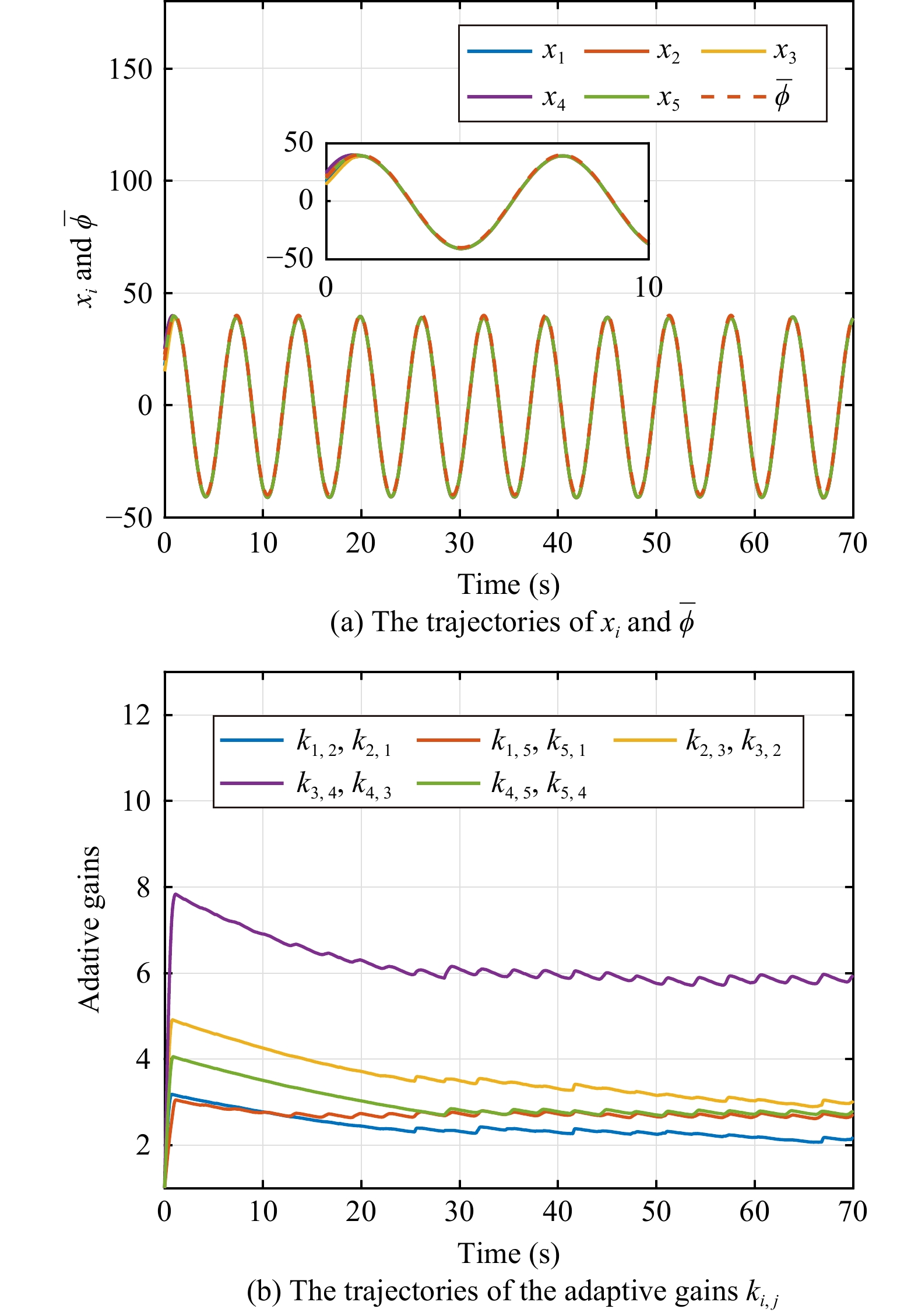
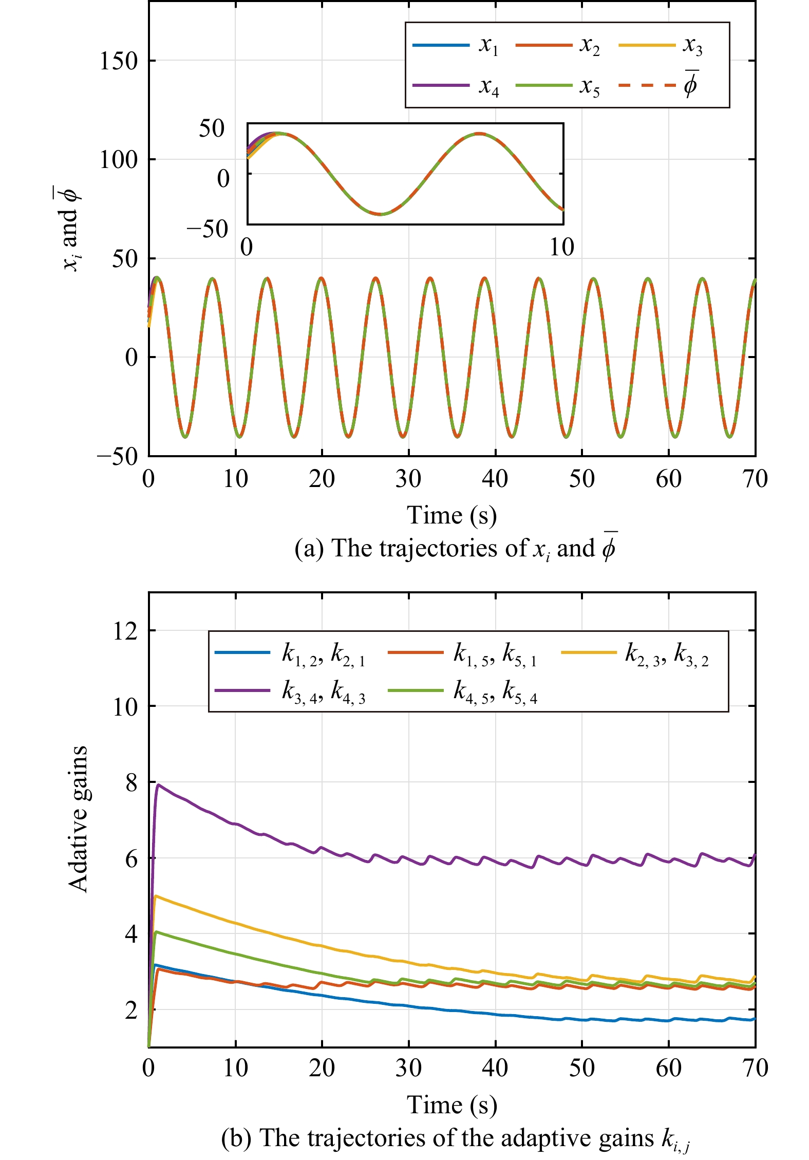
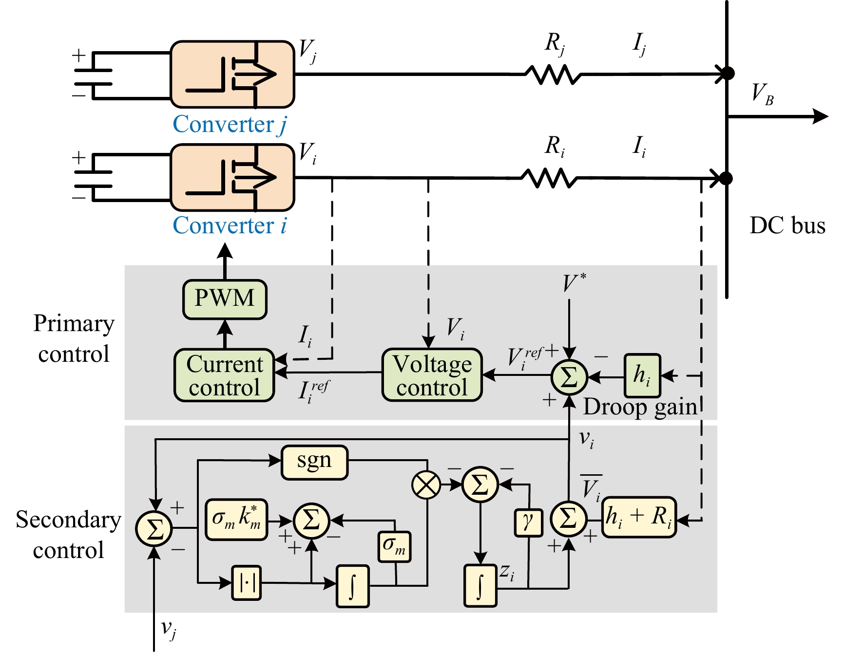
A Novel Adaptive Dynamic Average Consensus Algorithm With Application to DC Microgrids
Jing Wu, Lantao Xing, Zhengguang Wu
2025, 12(11): 2342-2352. doi: 10.1109/JAS.2025.125387
Abstract(595) HTML (118) PDF(54)
Abstract:
The dynamic average consensus (DAC) algorithm is to enable a group of networked agents to track the average of their time-varying reference signals. For most existing DAC algorithms, a necessary assumption is that the upper bounds of the reference signals and their derivatives are known in advance, thereby posing significant challenges in practical scenarios. Introducing adaptive gains in DAC algorithms provides a remedy by relaxing this assumption. However, the current adaptive gains used in this type of DAC algorithms are non-decreasing and may increase to infinity if persist disturbance exists. In order to overcome this defect, this paper presents a novel DAC algorithm with modified adaptive gains. This approach obviates the necessity for prior knowledge concerning the upper bounds of the reference signals and their derivatives. Moreover, the adaptive gains are able to remain bounded even in the presence of external disturbances. Furthermore, the proposed adaptive DAC algorithm is employed to address the distributed secondary control problem of DC microgrids. Comparative case studies are provided to verify the superiority of the proposed DAC algorithm.
LETTERS
Predefined-Time Distributed Optimization for Resource Allocation Problems With Time-Varying Objective Function and Constraints
Haotian Wu, Yang Liu, Mahmoud Abdel-Aty, Weihua Gui
2025, 12(11): 2353-2355. doi: 10.1109/JAS.2024.124992
Abstract(350) HTML (98) PDF(67)
Abstract:
Demand Forecasting Tool Driving the Digital Twin of a Perishable Food Process
Laura Lucantoni, Stefano Croci, Giovanni Mazzuto, Filippo Emanuele Ciarapica, Maurizio Bevilacqua, Severino Perenzoni
2025, 12(11): 2356-2358. doi: 10.1109/JAS.2025.125591
Abstract(335) HTML (111) PDF(28)
Abstract:
Dynamic Vision-Enabled Intelligent Micro-Vibration Estimation Method with Spatiotemporal Pattern Consistency
Shupeng Yu, Xiang Li, Yaguo Lei, Bin Yang, Naipeng Li
2025, 12(11): 2359-2361. doi: 10.1109/JAS.2024.125007
Abstract(572) HTML (147) PDF(25)
Abstract:
Towards Enhanced Precision Positioning With Parallel Intelligence and Reconfigurable Intelligent Surfaces
Shuangshuang Han, Fei-Yue Wang, Yuhang Liu, Guiyang Luo, Fengzhong Qu
2025, 12(11): 2362-2364. doi: 10.1109/JAS.2024.125010
Abstract(677) HTML (120) PDF(24)
Abstract:
FDTs: A Feature Disentangled Transformer for Interpretable Squamous Cell Carcinoma Grading
Pan Huang, Xin Luo
2025, 12(11): 2365-2367. doi: 10.1109/JAS.2024.125082
Abstract(727) HTML (159) PDF(61)
Abstract:
Digital Implementation of Grid-Forming Control for Power Converters Using Artificial Delays
Jing Shi, Jin Zhang, Chen Peng, Minrui Fei
2025, 12(11): 2368-2370. doi: 10.1109/JAS.2025.125471
Abstract(546) HTML (94) PDF(31)
Abstract: