Early Access

Articles in press have been peer-reviewed and accepted, which are not yet assigned to volumes/issues, but are citable by Digital Object Identifier (DOI).
Display Method:
Distributed Generalized Distributionally Robust Equilibrium Seeking for Dynamical Games Under Unknown Time-Varying Interference
Longcheng Liu, Shuai Liu, Yiguang Hong, Lihua Xie, Guangchen Wang
, Available online  , doi: 10.1109/JAS.2025.125462
Abstract(45) HTML (0) PDF(7)
Abstract:
This paper investigates a distributed generalized Nash equilibrium-seeking problem in stochastic dynamical systems, focusing on two key challenges: 1) nonlinear coupled constraints and dynamics in player states, and 2) nonconvex objectives influenced by disturbances with unknown time-varying distributions. To address these challenges, a distributionally robust game framework with an exact penalty is proposed. We introduce a first-order equilibrium concept suitable for nonconvex-nonsmooth settings and ensure finite-sample guarantees. Furthermore, a distributed zeroth-order feedback algorithm is proposed to solve the problem. This algorithm utilizes gradient estimators for the objective functions and subgradient estimators for the exact penalty terms. We provide a detailed analysis of the relationship between communication errors and the dynamic energy of the system, along with an expected upper bound for the zeroth-order gradient estimation. Our findings indicate that the expectation of the time-accumulated regret grows at a sublinear rate. Furthermore, as the distribution stabilizes, we show that the empirical distribution converges with ${\boldsymbol{O(1)}}$ sampling complexity.
Deep Fuzzy C-Means Clustering in a Federated Heterogeneous Scenario
Longmei Li, Wei Lu, Witold Pedrycz
, Available online  , doi: 10.1109/JAS.2025.125561
Abstract(99) HTML (0) PDF(4)
Abstract:
In federated deep fuzzy C-means (FCM) clustering, conventional federated averaging (FedAvg) struggles with non-independent and identically distributed (non-IID) data and dynamic device participation, leading to model drift and performance degradation during global aggregation. To address this challenge, we propose FedFCD, a federated deep FCM clustering method featuring a novel aggregation mechanism. FedFCD equips each client with a hybrid architecture comprising a contrastive autoencoder (CtAE) and an FCM network (FCMNet), which collaboratively learn stable low-dimensional embeddings and refine soft clustering assignments iteratively. At the server side, we design a two-phase aggregation strategy integrating Bayesian ensemble learning and knowledge distillation (KD). First, the Bayesian aggregation mechanism probabilistically fuses heterogeneous local models’ inferences into a consensus assignment by treating each client’s model as a candidate hypothesis, thereby constructing a posterior distribution over the global model space through iterative evidence accumulation. Subsequently, dual-source distillation harmonizes pseudo-labels derived from the Bayesian consensus with ground-truth labels from limited shared data, enabling the global model to align its predictions with both semantic anchors and aggregated soft assignments while preserving privacy through distillation loss. Comparative experiments on benchmark datasets demonstrate that FedFCD outperforms baseline methods in clustering accuracy and exhibits enhanced stability under varying conditions, including data heterogeneity, device numbers, and device dropout.
Flexible Federated Learning in Machinery Fault Diagnostics With Light Communication
Xiang Li, Weipeng Fan, Shaojie Yang, Wei Zhang, Xu Li
, Available online  , doi: 10.1109/JAS.2025.125414
Abstract(153) HTML (0) PDF(2)
Abstract:
While data-driven fault diagnosis methods have been successfully developed in the past years, large amounts of high-quality condition monitoring data are generally required to ensure model performance. Due to the high economic and labor costs in data collection, it is difficult for a single user to build an effective database, and exploring data of multiple users for better training becomes a promising solution. However, data privacy is of great importance in the real industries due to conflicts of interests, and direct data aggregation from different users is hardly feasible. To address this issue, a flexible federated learning method is proposed in this paper. Different from most existing methods with identical models under the federation, different customized individual deep neural network models can be used at different clients. Public data are exploited for knowledge transfer. Only the scores on public data are communicated between clients and server, rather than the whole model parameters. That significantly reduces the communication and computational burden. Experiments are carried out on two real-world machinery fault diagnosis datasets, and the results show the proposed method is promising for data privacy-preserving federated learning with flexible models and light communications.
Crafting Physical Adversarial Examples by Combining Differentiable and Physically Based Renders
Yuqiu Liu, Huanqian Yan, Xiaopei Zhu, Xiaolin Hu, Liang Tang, Hang Su, Chen Lv
, Available online  , doi: 10.1109/JAS.2025.125438
Abstract(67) HTML (0) PDF(4)
Abstract:
Recently we have witnessed progress in hiding road vehicles against object detectors through adversarial camouflage in the digital world. The extension of this technique to the physical world is crucial for testing the robustness of autonomous driving systems. However, existing methods do not show good performances when applied to the physical world. This is partly due to insufficient photorealism in training examples, and lack of proper physical realization methods for camouflage. To generate a robust adversarial camouflage suitable for real vehicles, we propose a novel method called physical dversarial vehicle camouflage (PAV-Camou). We propose to adjust the mapping from the coordinates in the 2D map to those of corresponding 3D model. This process is critical for mitigating texture distortion and ensuring the camouflage’s effectiveness when applied in the real world. Then we combine two renderers with different characteristics to obtain adversarial examples that are photorealistic that closely mimic real-world lighting and texture properties. The method ensures that the generated textures remain effective under diverse environmental conditions. Our adversarial camouflage can be optimized and printed in the form of 2D patterns, allowing for direct application on real vehicles. Extensive experiments demonstrated that our proposed method achieved good performance in both the digital world and the physical world.
A Survey on Rough Feature Selection: Recent Advances and Challenges
Keyu Liu, Xibei Yang, Weiping Ding, Hengrong Ju, Tianrui Li, Jie Wang, Tengyu Yin
, Available online  , doi: 10.1109/JAS.2025.125231
Abstract(1807) HTML (0) PDF(332)
Abstract:
Advances in data acquisition and accumulation on a massive scale are fueling “the curse of dimensionality” which may deteriorate the generalization performance of machine learning models. Such a dilemma gives birth to the technique of feature selection excelling in the presence of high-dimensional data. As a specific method based on rough set theory, rough feature selection (RFS) has been widely concerned and fruitfully applied. In this survey, we provide a comprehensive review of RFS algorithms that have proliferated in recent years. Firstly, we briefly introduce some typical rough set models especially neighborhood rough set and fuzzy rough set, as well as representative rough feature evaluation criteria. We then systematically discuss several emerging topics of RFS including accelerated, ensemble, incremental, label ambiguous, weakly-supervised, and multi-granularity RFS. Additionally, we illuminate the regular performance validation scheme of RFS and conduct a number of experiments to present benchmarking results of state-of-the-art RFS algorithms. Finally, we summarize the pros and cons of existing research efforts and outline the open challenges and opportunities of class imbalance, multi-modal scenario, causality inference, and high-level representation for RFS. By providing in-depth knowledge of RFS, we anticipate this survey will: 1) serve as a guidebook for newcomers intending to delve into RFS and a stepping-stone for researchers and practitioners to solve domain-specific problems; 2) gain insights into the state-of-the-art published findings, triggering a series of breakthroughs in RFS; 3) underscore some challenges ahead of RFS, directing future efforts toward punctuating advances beyond questions currently pursued.
Analysis and Application of a Discrete-Time Neurodynamic Approach for Fast Constrained l1-Norm Minimization
Youshen Xia, Jun Wang, Changyin Sun
, Available online  , doi: 10.1109/JAS.2026.125729
Abstract(21) HTML (0) PDF(2)
Abstract:
Discrete-time neurodynamic approaches (also called recurrent neural networks (RNNs)) are easily implemented on software and simulated on digital circuits. First, this paper proposes two modified discrete-time RNNs for quickly dealing with constrained $l_1$-norm minimization problems. Next, the two modified discrete-time RNNs are proven to be globally convergent to an optimal solution under a large step size. Finally, we apply the obtained results for image recovery. Two convergent discrete-time RNN based algorithms for non-blind image restoration are presented. Due to having a low complexity, the two discrete-time RNNs are more computationally efficient than the existing discrete-time RNN for image restoration. Computed results with application examples show that the two discrete-time RNN-based algorithms are indeed superior to the existing discrete-time RNN-based algorithms with regards to computation time.
CCDNN: A Novel Deep Learning Architecture for Multi-Source Data Fusion
Zhiwen Chen, Siwen Mo, Haobin Ke, Steven X. Ding, Zhaohui Jiang, Chunhua Yang, Weihua Gui
, Available online  , doi: 10.1109/JAS.2025.125411
Abstract(151) HTML (0) PDF(3)
Abstract:
With the rapid development of Industrial 4.0 and Industrial Internet of Things, the data collection with multi-source has significantly improved. How to effectively fuse these data for various engineering applications is still an open and challenge issue. To this end, we propose the canonical correlation guided deep neural network (CCDNN), a novel deep learning architecture, to learn a correlated representation for multi-source data fusion. Unlike the linear canonical correlation analysis (CCA), kernel CCA and deep CCA, in the proposed method, the optimization formulation is not restricted to maximize correlation, instead we make canonical correlation as a constraint, which preserves the correlated representation learning ability and focuses more on the engineering tasks endowed by optimization formulation, such as reconstruction, classification and prediction. Furthermore, to reduce the redundancy induced by correlation, a redundancy filter is designed. We illustrate its data fusion ability via correlated representation learning and superior performance on various engineering tasks. In experiments on MNIST dataset, the results show that CCDNN has better reconstruction performance in terms of mean squared error and mean absolute error than deep CCA and deep canonically correlated autoencoders (DCCAE). Also, we present the application of the proposed network to industrial fault diagnosis and remaining useful life cases for the classification and prediction tasks accordingly. The proposed method demonstrates approving performance in both tasks when compared to existing methods. Extension of CCDNN to much more deeper with the aid of residual connection is also presented in Appendix.
M3Net: Meta-Reinforcement Learning-Based Open-Set Domain Generalization of Hyperspectral Image Classification Model
Yuhu Cheng, Wei Zhang, C. L. Philip Chen, Xuesong Wang
, Available online  , doi: 10.1109/JAS.2025.125981
Abstract(36) HTML (0) PDF(6)
Abstract:
Hyperspectral image (HSI) classification models face dual challenges in open-set domain generalization: limited generalization ability due to unseen-domain shifts, and the need for unknown class recognition that breaks the closed-set assumption of traditional models. To address these challenges, we propose the Markov meta-Mamba network (M3Net), which provides a meta-reinforcement learning-based solution for open-set domain generalization of HSI classification model. Specifically, a meta-task construction mechanism is proposed, treating source-domain background pixels as virtual unknown classes to simulate open-set HSI classification tasks during training, thereby providing task support for meta-reinforcement learning. Then, the open-set HSI classification task is reconstructed as a Markov decision process. By leveraging reinforcement learning’s multi-step temporal credit assignment, non-causal factor sensitivity is suppressed, improving the model’s cross-domain generalization performance. Finally, the theoretical linkage between Mamba and meta-learning is established, demonstrating that Mamba inherently operates as a meta-learner when processing task sequences. Building on this, a Mamba-based meta-task embedding framework is designed, where shared meta-parameters and task-specific parameters are jointly optimized to achieve cross-task knowledge induction across open-set HSI classification tasks, thereby enhancing the model’s generalization capability for unseen open-set tasks. Experiments on three cross-domain hyperspectral image datasets show that M3Net has achieved the most competitive performance in the open-set domain generalization.
State Estimation With Model Uncertainty Using Structure Variational Bayesian and Transfer Learning
Shuang Gao, Xiaoli Luan, Biao Huang, Shunyi Zhao, Fei Liu
, Available online  , doi: 10.1109/JAS.2025.125825
Abstract(53) HTML (0) PDF(2)
Abstract:
This paper proposes a novel approach to address parameter uncertainties for state estimation in Markovian jump linear systems by leveraging transfer learning. Assume that the source domain model is available and reliable, and the target domain model has significant model parameter uncertainties. To enhance estimation performance in the target domain, the proposed method transfers model knowledge from the source domain and adjusts it using a tuning factor before incorporating it into the target domain estimator. More specifically, this approach involves transferring the modified probability density functions of state prediction from the source domain to the target domain and determining the tuning factor via structure variational Bayesian inference using measurements in the target domain. Using numerical examples and a 1-DOF torsion system, we showcase the competitiveness of the proposed state estimator compared to the existing robust state estimation methods when dealing with parameter uncertainties. The results highlight its capability to improve estimation accuracy in practical scenarios, showcasing its potential for real-world applications.
Neurodynamic Optimization Approaches With Fixed-Time Convergence for Nash Equilibrium Seeking: Theory and Hardware Experiment
Xingxing Ju, Xinsong Yang, Chuandong Li, Gang Feng, Daniel W. C. Ho
, Available online  , doi: 10.1109/JAS.2025.125780
Abstract(95) HTML (0) PDF(3)
Abstract:
The convergence rate is one of the key performance measures for Nash equilibrium (NE) seeking strategies. In this work, we present several novel fast decoupled/coupled time-varying neurodynamic optimization approaches with fixed-time (FT) convergence to Nash equilibrium seeking in non-cooperative games. The dynamics trajectories are demonstrated to converge to the NE solution within a fixed time from any initial states. The proposed neurodynamic networks exhibit a faster convergence rate with appropriately selected time-varying coefficients. Additionally, the upper bounds of the convergence time of the proposed NE seeking networks are smaller than those for strategies with constant coefficients. The robustness of the proposed NE seeking neurodynamic approaches under bounded perturbations is further studied. The efficacy and practicality of the proposed NE seeking approaches are validated through simulations and field-programmable gate array (FPGA) experiments on duopoly market games.
Gain-Based Neural Secure Protection Control for Feedforward Nonlinear Systems With Unknown Control Coefficients and Impulsive FDI Attacks
Debao Fan, Qingrong Liu, Rong Su, Xianfu Zhang, Wenjie Zhang
, Available online  , doi: 10.1109/JAS.2025.125807
Abstract(58) HTML (0) PDF(13)
Abstract:
This paper proposes a gain-based neural secure protection (GBNSP) control scheme for feedforward nonlinear systems subject to unknown control coefficients and impulsive false data injection (FDI) attacks. Notably, the nonlinear functions of the systems are relaxed to any continuous functions and the control coefficients are permitted to be constants with both unknown sizes and signs, a scenario not covered in existing works. Furthermore, the uncertain abrupt changes in system states caused by impulsive FDI attacks inevitably exacerbate the challenges in control design. To this end, this paper integrates the neural network technique and the gain control method to propose a novel GBNSP control scheme. Specifically, the neural network technique effectively compensates for strong nonlinearities and uncertainties, while the gain control method quantifies the tolerable frequency of impulsive FDI attacks and avoids the tedious design procedures. It is shown that, under the designed GBNSP controller, all closed-loop signals remain bounded and the system states eventually converge to an adjustable neighborhood near the origin. Moreover, an enhanced GBNSP control scheme incorporates an improved gain scaling mechanism to withstand unknown external disturbances. In the end, the effectiveness and practicality of the proposed scheme are validated by a theoretical example and a practical example.
An Interpretable Temporal Convolutional Framework for Granger Causality Analysis
Aoxiang Dong, Andrew Starr, Yifan Zhao
, Available online  , doi: 10.1109/JAS.2025.125396
Abstract(936) HTML (0) PDF(68)
Abstract:
Most existing parametric approaches for detecting linear or nonlinear Granger causality (GC) face challenges in estimating appropriate time delays, a critical factor for accurate GC detection. This issue becomes particularly pronounced in nonlinear complex systems, which are often opaque and consist of numerous components or variables. In this paper, we propose a novel temporal convolutional network (TCN)-based end-to-end GC detection approach called the interpretable temporal convolutional framework (ITCF). Unlike conventional deep learning models, which act like a “black box” and are difficult to analyse the interactions between variables, the proposed ITCF is able to detect both linear and nonlinear GC and automatically estimate time delay during the multivariant time series prediction. Specifically, GC is obtained by employing the least absolute shrinkage and selection operator (Lasso) regression during the prediction of multivariate time series using TCN. Then, time delays can be estimated by interpreting the TCN kernels. We propose a convolutional hierarchical group Lasso (cHGL), a hierarchical regularisation approach to effectively utilise temporal information within each TCN channel for enhanced GC detection. Additionally, as far as we are concerned, this paper is the first to integrate the Iterative Soft-Thresholding Algorithm into the backpropagation of TCN to optimise the proposed cHGL, which enables causal channel selection and induces sparsity within each TCN channel to remove redundant temporal information, ultimately creating an end-to-end GC detection framework. The testing results of four experiments, involving two simulations and two real data, demonstrate that the proposed ITCF, in comparison with state-of-the-art, offers a more reliable estimation of GC relationships in complex systems featuring intricate dynamics, limited data lengths, or numerous variables.
Two-Dimensional Model-Free Off-Policy Optimal Iterative Learning Control for Time-Varying Batch Systems
Jianan Liu, Zike Zhou, Jinglin Huang, Wenjing Hong, Jia Shi
, Available online  , doi: 10.1109/JAS.2025.125399
Abstract(722) HTML (0) PDF(60)
Abstract:
Although iterative learning control (ILC) has been widely used in batch processes, designing an optimal iterative learning control scheme for batch systems with unknown dynamics and time-varying parameters remains an open problem. In this paper, we propose a novel two-dimensional model-free off-policy optimal iterative learning control to achieve optimal control performance for linear time-varying batch systems. First, the one-dimensional state space is expanded to the two-dimensional state space by integrating time and batch information. Then, based on dynamic programming and a recursive algorithm, the framework of two-dimensional model-based optimal iterative learning control is established. Based on this framework, two-dimensional model-free optimal iterative learning control is further developed using model-free Q-learning reinforcement learning. The optimal iterative learning control policy is obtained through online off-policy iteration using historical and online operation data. Meanwhile, a rigorous convergence proof of the model-free optimal iterative learning control law is presented. Finally, the simulation results in the injection molding batch process demonstrate the proposed control scheme’s effectiveness, feasibility, and significant improvement in control performance.
Datasets, Metrics, Benchmarks and Future Research in Autonomous Driving: A Review
Yuchen Li, Siyu Teng, Zizhang Wu, Junhui Wang, Mingyu Liu, Zhe Xuanyuan, Long Chen
, Available online  , doi: 10.1109/JAS.2025.125957
Abstract(133) HTML (0) PDF(3)
Abstract:
Data-driven autonomous driving is a hot topic in academic and industry research due to its impressive performance, flexible mobility, and reduced human intervention. However, the development of this technology relies heavily on large datasets that contain accurately annotated data, obtained through artificial or semi-automated strategies. Consequently, datasets play a crucial role in autonomous driving, and their characteristics significantly impact the effectiveness of algorithms. Currently, there are several diverse datasets available, such as KITTI and CityScape, that cover various tasks. However, researchers often overlook the unique features, similarities, and specificities of these datasets. Furthermore, to the best of our knowledge, there is a lack of survey articles focusing on special metrics and benchmark performance on different datasets in autonomous driving. Therefore, the purpose of this article is to analyze autonomous driving datasets, guide researchers on collecting and utilizing relevant datasets, summarize evaluation strategies, analyze benchmark performance, and provide future research points to enrich the autonomous driving community. We believe that this work will assist researchers in evaluating their data using suitable metrics and offer a fresh perspective on autonomous driving.
QuadQ: Quadratic-Based Value Decomposition for Cooperative Policy Optimization in Multi-Agent Reinforcement Learning
Siying Wang, Ruoning Zhang, Yang Zhou, Jinliang Shao, Yuhua Cheng
, Available online  , doi: 10.1109/JAS.2025.125666
Abstract(27) HTML (0) PDF(1)
Abstract:
Adaptive Multimodal Servoing Control for Unmanned Aerial Manipulator Perching
Yitian Zhang, Bo Cai, Dongyang Li, Ye Li
, Available online  , doi: 10.1109/JAS.2025.125672
Abstract(24) HTML (0) PDF(2)
Abstract:
An Operator-Theoretic Approach to Repetitive Control of Uncertain Robot Manipulators
Geun Il Song, Jung Hoon Kim
, Available online  , doi: 10.1109/JAS.2026.125780
Abstract(50) HTML (0) PDF(0)
Abstract:
Modularized Graph Convolutional Network
Tiantian He, Zhixuan Duan, Xin Luo
, Available online  , doi: 10.1109/JAS.2025.125336
Abstract(70) HTML (0) PDF(1)
Abstract:
Nonlinear Frictions Identification in Time-Variant Automotive Systems
Davide Tebaldi, Roberto Zanasi
, Available online  , doi: 10.1109/JAS.2025.125294
Abstract(450) HTML (4) PDF(16)
Abstract:
In this paper, the problem of nonlinear frictions identification in a class of nonlinear systems embedding different automotive case studies is addressed. The power-oriented modeling of the system dynamics is first addressed. Next, the identification of the nonlinear friction coefficients representing the system losses, which can have different symmetric or asymmetric characteristics, is addressed using a parabolic interpolation. To show the versatility of the procedure, two automotive physical systems composing the vehicle powertrain are considered as case studies for the identification, namely a Full Toroidal Variator and a Gearbox. The novelty of this work consists of the proposal of a general approach to model nonlinear frictions in a wide class of automotive systems, and in their identification using the proposed least-square-based algorithm. With reference to the latter, we also provide a necessary condition to avoid the rank deficiency problem and considerations about how to increase the identification accuracy.
A Novel Finite-Time Stability Criterion for Nonlinear Systems Involving Flexible Delayed Impulses
Shuchen Wu, Xiaodi Li, Shiji Song
, Available online  , doi: 10.1109/JAS.2025.125630
Abstract(560) HTML (0) PDF(65)
Abstract:
Prescribed-Time Formation Control for Multi-Agent Systems With Uncertain Nonlinear Dynamics and Non-Vanishing Random Disturbances
Jie Su, Yongduan Song
, Available online  , doi: 10.1109/JAS.2026.125714
Abstract(141) HTML (0) PDF(18)
Abstract:
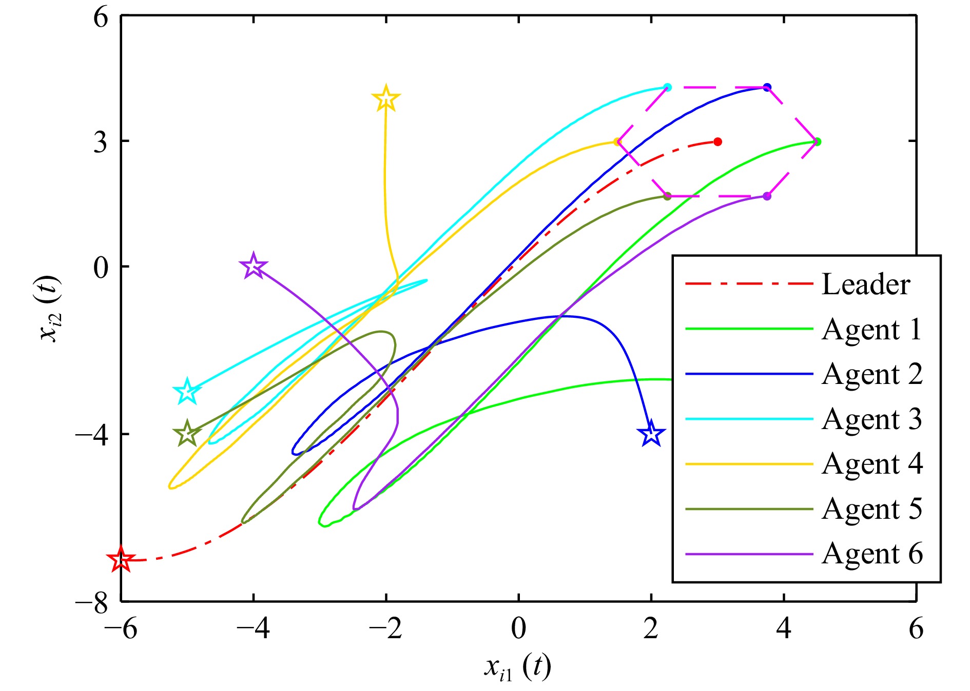
This paper investigates the problem of prescribed-time formation control for multi-agent systems with directed communication topology, uncertain nonlinear dynamics, and non-vanishing random disturbances. To drive the formation error to zero within a prescribed time, a novel prescribed-time control lemma is developed. A distributed observer is designed to allow each follower to accurately estimate the leader’s states within the prescribed time. Building on this, an observer-based prescribed-time formation control algorithm is proposed. The algorithm ensures that a disordered group of autonomous agents achieves the desired formation with zero error within the prescribed time, despite the presence of uncertain nonlinear dynamics and non-vanishing random disturbances. The prescribed time is arbitrarily predetermined a priori and independent of the agents’ initial configurations and any other control parameters. Mathematically, the stability of the proposed control scheme is rigorously proven, where all observer and closed-loop system signals are bounded. Numerical simulations confirm the effectiveness of the proposed formation scheme.
Reinforcement Learning-Based Adaptive Optimal Control for a Snake Robot
Yang Xiu, Zhiyi Shi, Guanghong Liu, Rob Law, Dongfang Li, Aiguo Song, Edmond Q. Wu
, Available online  , doi: 10.1109/JAS.2025.125762
Abstract(27) HTML (0) PDF(6)
Abstract:
Due to the difficulty of accurately modeling snake robots, model-based control schemes are ineffective, and the constraints of motion velocity and energy consumption pose challenges to meandering gait. In this work, a two-layer reinforcement learning-based adaptive optimal control framework for snake robots is proposed to achieve trajectory tracking motion of optimal energy efficiency gait. A multi-objective problem for gait amplitude, frequency, and phase is established in the optimization layer, which balances minimizing energy consumption and maximizing velocity by weighted summation. Multiple matching results of gait parameters and performance are obtained through proximal policy optimization, allowing users to select the optimal combination. In the control layer, an actor-critic-identifier neural network-based reinforcement learning optimal controller is designed by considering the difficulty in solving dynamics unknowns and Bellman equation. It adaptively fits the cost function and control policy, reducing the dependence on an accurate model and avoiding computational complexity. Theoretical analysis demonstrates that the proposed method can guarantee stability of tracking errors for snake robots, with optimal cost. Comparative simulation experiment results show the effectiveness and superiority of this method.
Synchronization Control Based on Sequential Convergence
Huan Li, Shuangsi Xue, Hui Cao, Dongyu Li
, Available online  , doi: 10.1109/JAS.2025.125330
Abstract(29) HTML (0) PDF(0)
Abstract:
Formation Control of Multi-Agent Systems With Position Constraints on a Closed Curve
Cheng Song, Yongqin He, Jianbin Qiu, Shengyuan Xu
, Available online  , doi: 10.1109/JAS.2025.125219
Abstract(130) HTML (0) PDF(2)
Abstract:
Adaptive Dynamic Trade-off Optimization between Manipulability and Sparsity for Redundant Manipulators
Zhaoyang Song, Wei Chen, Huichao Cao
, Available online  , doi: 10.1109/JAS.2026.125759
Abstract(129) HTML (0) PDF(1)
Abstract:
Distribution Network Partitioning for Voltage Regulation Using Heterogeneous Graph Neural Networks Considering Cyber-Attacks Risk
Lei Xu, Bo Zhang, Chunxia Dou, Dong Yue
, Available online  , doi: 10.1109/JAS.2026.125795
Abstract(219) HTML (0) PDF(1)
Abstract:
Data-Driven Distributed Model Predictive Control for Large-Scale Systems with Actuator Faults
Yan Li, Hao Zhang, Huaicheng Yan, Yongxiao Tian, Yanfei Zhu
, Available online  , doi: 10.1109/JAS.2025.125858
Abstract(223) HTML (0) PDF(20)
Abstract:
Majorization-Minimization-Based Neural Dynamics for Time-Variant Optimization Under Multi-Set Constraints
Ying Liufu, Yongji Guan
, Available online  , doi: 10.1109/JAS.2026.125768
Abstract(201) HTML (0) PDF(8)
Abstract:
Distributed Optimal Consensus Control of Multi-Agent Systems Under Indifferent and Self-Sacrificing Alienation
Yue Zhang, Yan-Wu Wang, Xiao-Kang Liu
, Available online  , doi: 10.1109/JAS.2025.125861
Abstract(420) HTML (0) PDF(80)
Abstract:
Knowledge-Assistant Deep Reinforcement Learning for Multi-Agent Region Protection
Siqing Sun, Tianbo Li
, Available online  , doi: 10.1109/JAS.2025.125912
Abstract(576) HTML (0) PDF(37)
Abstract:
A New Parameter Estimation Methodology Using Steady State Yaw Rate Measurements for Lateral Vehicle Dynamics
Zhihong Man, Mingcong Deng, Zenghui Wang, Qing-long Han
, Available online  , doi: 10.1109/JAS.2025.125366
Abstract(577) HTML (0) PDF(75)
Abstract:
In this paper, the lateral dynamics of road vehicles (LDRV) is further studied from the viewpoint of vehicle informatics. It is seen that LDRV is first decoupled and the vehicle slip angle is proved to be observable from the yaw rate measurements. A new methodology of parameter estimation using steady-state yaw rate measurements (PESYRM) is then developed to accurately estimate the parameters of LDRV. The important characteristics of PESYRM comprise four parts: ( i ) The steering angle input to LDRV is chosen as the linear combination of sinusoids; ( ii ) Only the steady state information of yaw rate in any fundamental period is required to accurately estimate the unknown parameters of LDRV; ( iii ) Unlike many existing parameter estimation methods, the time consuming computing of the inverse of high-dimensional data matrix is avoided by making full use of the orthogonal properties of trigonometric base functions; ( iv ) All of system information of LDRV is embedded in the measurements of the steady state yaw rate in any fundamental period. A simulation example is carried out to show the advantages and effectiveness of the new research findings for LDRV.
MFAINet: Multi-Receptive Field Feature Fusion With Attention-Integrated for Polyp Segmentation
Guangzu Lv, Bin Wang, Cunlu Xu, Weiping Ding, Jun Liu
, Available online  , doi: 10.1109/JAS.2025.125408
Abstract(775) HTML (0) PDF(51)
Abstract:
Colorectal cancer has become a global public health concern. Removing polyps before they become malignant can effectively prevent the onset of colorectal cancer. Currently, multi-receptive field feature extraction and attention mechanisms have achieved significant success in polyp segmentation. However, how to effectively fuse these mechanisms and fully leverage their respective strengths remains an open problem. In this paper, we propose a polyp segmentation network, MFAINet. We design an attention-integrated multi-receptive field feature extraction module (AMFE), which uses layering and multiple weightings to fuse the multi-receptive field feature extraction and attention mechanisms, maximizing the extraction of both global and detailed information from the image. To ensure that the input to AMFE contains richer target feature information, we introduce a multi-layer progressive fusion module (MPF). MPF progressively merges features at each layer, fully integrating contextual information. Finally, we employ the selective fusion module (SFM) to combine the high-level features produced by AMFE, resulting in an accurate polyp segmentation map. To evaluate the learning and generalization capabilities of MFAINet, we conduct experiments on five widely-used public polyp datasets using four evaluation metrics. Notably, our model achieves the best results in nearly all cases. The source code is available at: https://github.com/MFAINet.
Distributed Gain Scheduling Dynamic Event-Triggered Semi-Global Leader-Following Consensus of Input Constrained MASs Under Fixed/Switching Topologies
Meilin Li, Tieshan Li, Hongjing Liang
, Available online  , doi: 10.1109/JAS.2025.125417
Abstract(624) HTML (0) PDF(36)
Abstract:
In this paper, the semi-global leader-following consensus issue of multi-agent systems with constrained input under fixed and switching topologies is investigated via a distributed gain scheduling dynamic event-triggered method. First, a novel distributed gain scheduling consensus protocol is proposed under fixed topology, which integrates time-varying gain and distributed parameter schedulers. This approach enhances the transient performance of consensus tracking by enlarging the gain parameter through the scheduler, while the reliance of the scheduler on global state information is eliminated via a distributed design method. Subsequently, a distributed dynamic event-triggered mechanism is introduced to reduce the controller updates, while the expression of the inter-event times mitigates its explicit reliance on the system matrix. Additionally, to eliminate the need for real-time monitoring of neighboring agents’ states and continuous communication, a distributed dynamic self-triggered mechanism is developed. Next, our approaches are extended to solve the semi-global leader-following consensus problem under switching topologies. The average dwell time technique is employed to alleviate the limitations on the switching rate among multiple topologies. Finally, the theoretical analysis is validated through simulation results.
Finite-Time Sliding-Mode Control for Semi-Markov Systems With Delayed Impulses
Fangmin Ren, Xiaoping Wang, Yangmin Li, Zhigang Zeng
, Available online  , doi: 10.1109/JAS.2024.125004
Abstract(511) HTML (0) PDF(57)
Abstract:
Multi-Agent Swarm Optimization With Contribution-Based Cooperation for Distributed Multi-Target Localization and Data Association
Tai-You Chen, Xiao-Min Hu, Qiuzhen Lin, Wei-Neng Chen
, Available online  , doi: 10.1109/JAS.2025.125150
Abstract(1503) HTML (1) PDF(132)
Abstract:
With the development of communication and computation capabilities on terminal hardware, it is promising to apply distributed optimization methods to wireless sensor networks to improve the autonomous collaboration ability of sensors. In this work, we study distributed optimization for multi-target localization with measurement-to-measurement association (DM2M), where each sensor only accesses its own measurement data without the association of measurements from other sensors. We first reformulate DM2M into a distributed bilevel optimization problem to reduce the search space of negotiated variables caused by the data association among sensors. Then, we propose a multi-agent swarm optimization method with contribution-based cooperation (MASTER). In MASTER, each sensor maintains a particle swarm to represent candidate solutions of target positions. Sensors evolve their particle swarms through two phases of local optimization and neighbor cooperation to locate the target cooperatively. To address the bilevel local objective function, we combine the Kuhn-Munkres algorithm and the competitive swarm optimization for local optimization. To promote sensors to optimize the global objective, we design a contribution-based cooperation method to guide sensors to learn from their neighbors. Through localization experiments for different target numbers and localization dimensions, the proposed algorithm achieves smaller localization errors and more stable consensus than existing algorithms.
KT-RC: Kernel Time-Delayed Reservoir Computing for Time Series Prediction
Heshan Wang, Mengmeng Chen, Kunjie Yu, Jing Liang, Zhaomin Lv, Zhong Zhang
, Available online  , doi: 10.1109/JAS.2024.124986
Abstract(679) HTML (0) PDF(68)
Abstract:
Reservoir computing (RC) is an efficient recurrent neural network (RNN) method. However, the performance and prediction results of traditional RCs are susceptible to several factors, such as their network structure, parameter setting, and selection of input features. In this study, we employ a kernel time-delayed RC (KT-RC) method for time series prediction. The KT-RC transforms input vectors linearly to obtain a high-dimensional set of time-delayed linear eigenvectors, which are then transformed by various kernel functions to represent the nonlinear characteristics of the input signal. Finally, the Bayesian optimization algorithm adjusts the few remaining weights and kernel parameters to minimize the manual adjustment process. The advantages of KT-RC can be summarized as follows: 1) KT-RC solves the problems of uncertainty in weight matrices and difficulty in large-scale parameter selection in the input and hidden layers of RCs. 2) The KT module can avoid massive reservoir hyperparameters and effectively reduce the hidden layer size of the traditional RC. 3) The proposed KT-RC shows good performance, strong stability, and robustness in several synthetic and real-world datasets for one-step-ahead and multistep-ahead time series prediction. The simulation results confirm that KT-RC not only outperforms some gate-structured RNNs, kernel vector regression models, and recently proposed prediction models but also requires fewer parameters to be initialized and can reduce the hidden layer size of the traditional RCs. The source code is available at https://github.com/whs7713578/RC.
Efficient Centralized Traffic Grid Signal Control Based on Meta-Reinforcement Learning
Jia Wu, Yican Lou
, Available online  , doi: 10.1109/JAS.2023.123270
Abstract(999) HTML (0) PDF(75)
Abstract:
Supplementary File of “Push-Sum Based Algorithm for Constrained Convex Optimization Problem and Its Potential Application in Smart Grid”
Qian Xu, Zao Fu, Bo Zou, Hongzhe Liu, Lei Wang
, Available online  
Abstract(719) HTML (0) PDF(1)
Abstract:
Supplementary Material for “Collision and Deadlock Avoidance in Multi-Robot Systems Based on Glued Nodes”
Zichao Xing, Xinyu Chen, Xingkai Wang, Weimin Wu, Ruifen Hu
, Available online  
Abstract(916) HTML (0) PDF(6)
Abstract: