A journal of IEEE and CAA , publishes high-quality papers in English on original theoretical/experimental research and development in all areas of automation

IEEE/CAA Journal of Automatica Sinica

  • JCR Impact Factor: 19.2, Top 1 (SCI Q1)
    CiteScore: 28.2, Top 1% (Q1)
    Google Scholar h5-index: 95, TOP 5
Turn off MathJax
Article Contents
D. Fan, Q. Liu, R. Su, X. Zhang, and W. Zhang, “Gain-based neural secure protection control for feedforward nonlinear systems with unknown control coefficients and impulsive FDI attacks,” IEEE/CAA J. Autom. Sinica, early access, 2026. doi: 10.1109/JAS.2025.125807
Citation: D. Fan, Q. Liu, R. Su, X. Zhang, and W. Zhang, “Gain-based neural secure protection control for feedforward nonlinear systems with unknown control coefficients and impulsive FDI attacks,” IEEE/CAA J. Autom. Sinica, early access, 2026. doi: 10.1109/JAS.2025.125807

Gain-Based Neural Secure Protection Control for Feedforward Nonlinear Systems With Unknown Control Coefficients and Impulsive FDI Attacks

doi: 10.1109/JAS.2025.125807
Funds:  This work was supported in part by the Natural Science Foundation of Shandong Province of China (ZR2024MF016) and the National Natural Science Foundation of China (62303270, 62073190)
More Information
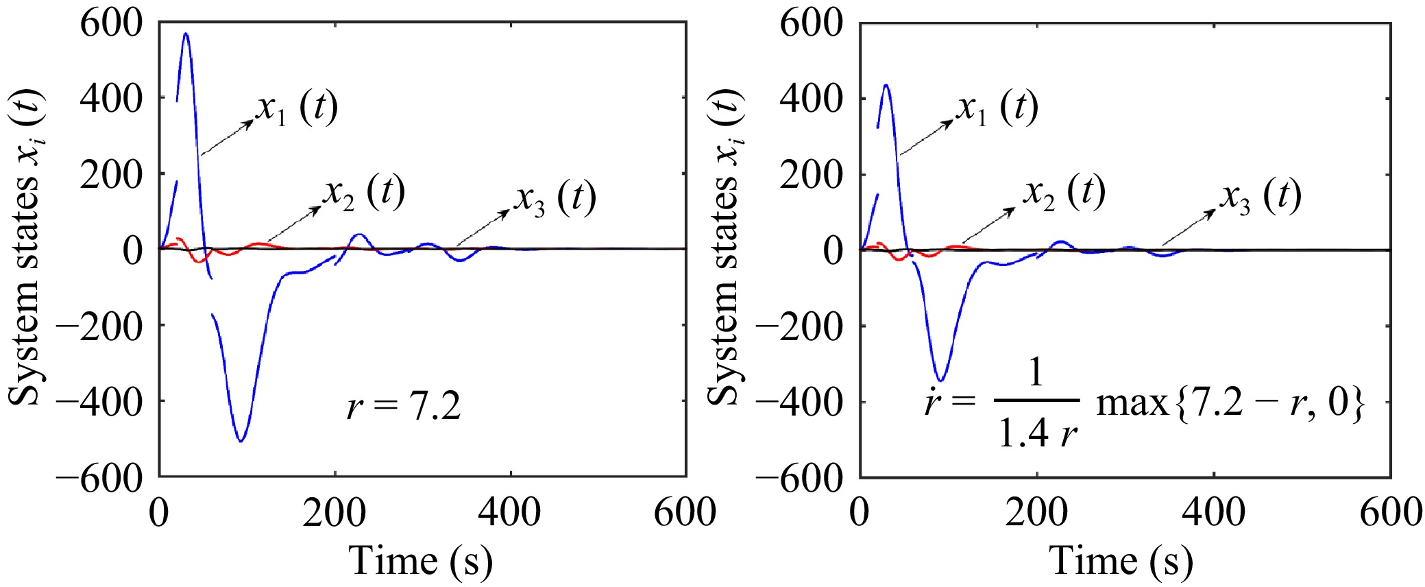
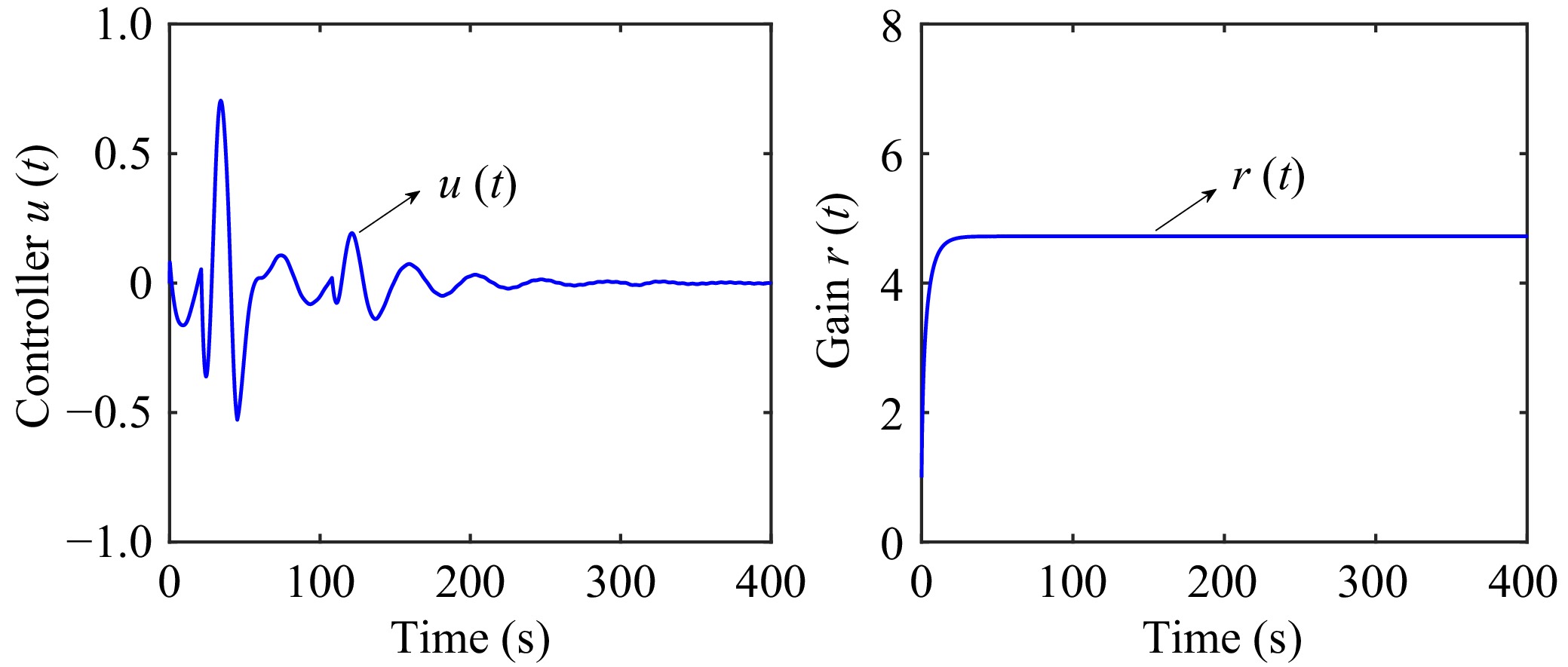
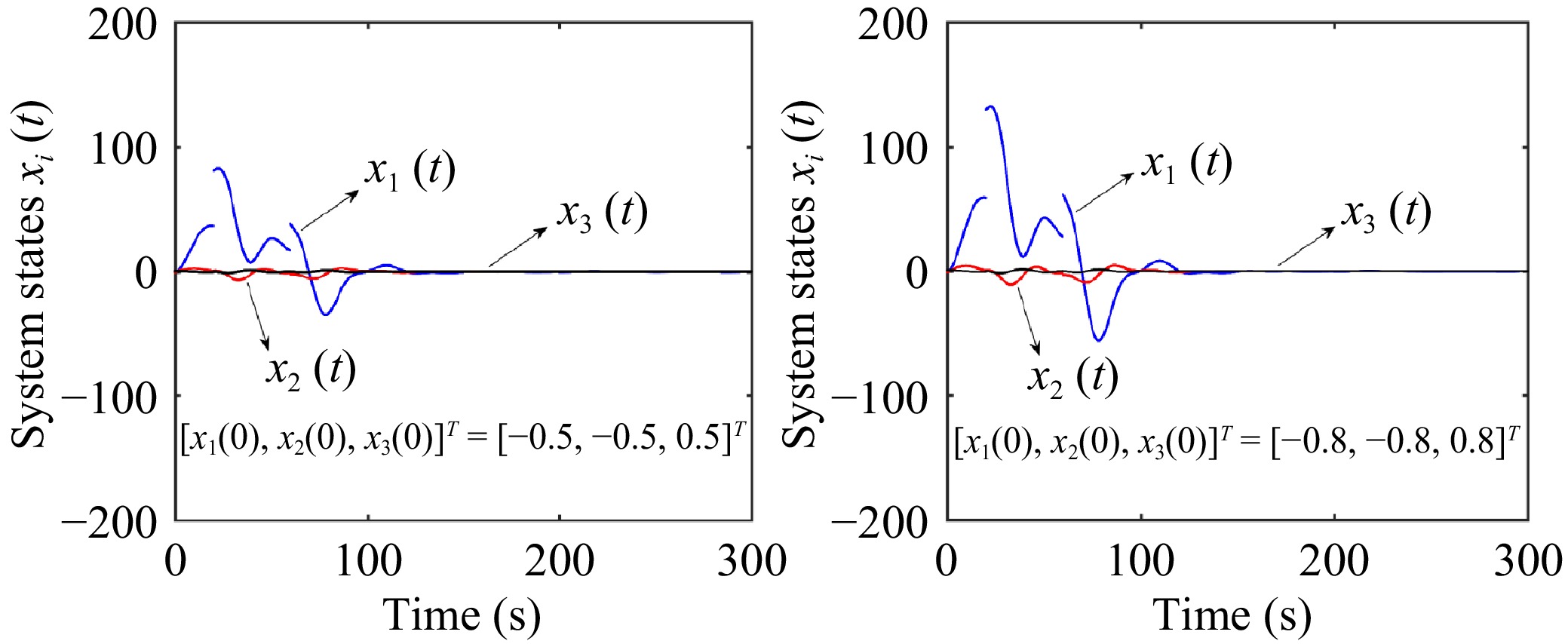
  • This paper proposes a gain-based neural secure protection (GBNSP) control scheme for feedforward nonlinear systems subject to unknown control coefficients and impulsive false data injection (FDI) attacks. Notably, the nonlinear functions of the systems are relaxed to any continuous functions and the control coefficients are permitted to be constants with both unknown sizes and signs, a scenario not covered in existing works. Furthermore, the uncertain abrupt changes in system states caused by impulsive FDI attacks inevitably exacerbate the challenges in control design. To this end, this paper integrates the neural network technique and the gain control method to propose a novel GBNSP control scheme. Specifically, the neural network technique effectively compensates for strong nonlinearities and uncertainties, while the gain control method quantifies the tolerable frequency of impulsive FDI attacks and avoids the tedious design procedures. It is shown that, under the designed GBNSP controller, all closed-loop signals remain bounded and the system states eventually converge to an adjustable neighborhood near the origin. Moreover, an enhanced GBNSP control scheme incorporates an improved gain scaling mechanism to withstand unknown external disturbances. In the end, the effectiveness and practicality of the proposed scheme are validated by a theoretical example and a practical example.

     

  • loading
  • [1]
    M. Krstic, “Feedback linearizability and explicit integrator forwarding controllers for classes of feedforward systems,” IEEE Trans. Autom. Control, vol. 49, no. 10, pp. 1668–1682, Oct. 2004. doi: 10.1109/TAC.2004.835361
    [2]
    B. Zhou and X. Yang, “Global stabilization of feedforward nonlinear time-delay systems by bounded controls,” Automatica, vol. 88, pp. 21–30, Feb. 2018. doi: 10.1016/j.automatica.2017.10.021
    [3]
    C. Zhang, L. Chang, and X. Zhang, “Leader-follower consensus of upper-triangular nonlinear multi-agent systems,” IEEE/CAA J. Autom. Sinica, vol. 1, no. 2, pp. 210–217, Apr. 2014. doi: 10.1109/JAS.2014.7004552
    [4]
    H. Li, X. Zhang, and S. Liu, “An improved dynamic gain method to global regulation of feedforward nonlinear systems,” IEEE Trans. Autom. Control, vol. 67, no. 6, pp. 2981–2988, Jun. 2022. doi: 10.1109/TAC.2021.3088787
    [5]
    M. Li and Z. Zeng, “Nested saturated control of uncertain complex cascade systems using mixed saturation levels,” IEEE/CAA J. Autom. Sinica, vol. 11, no. 5, pp. 1163–1174, May 2024. doi: 10.1109/JAS.2023.124176
    [6]
    D. Fan, X. Zhang, G. Feng, and H. Li, “Global regulation of feedforward nonlinear systems: A logic-based switching gain approach,” IEEE Trans. Cybern., vol. 54, no. 12, pp. 7343–7353, Dec. 2024. doi: 10.1109/TCYB.2024.3473307
    [7]
    X. Ye, “Pseudo-decentralized adaptive stabilization of large-scale feedforward nonlinear systems,” Automatica, vol. 45, no. 5, pp. 1232–1236, May 2009. doi: 10.1016/j.automatica.2008.12.021
    [8]
    S. Ding, C. Qian, and S. Li, “Global stabilization of a class of feedforward systems with lower-order nonlinearities,” IEEE Trans. Autom. Control, vol. 55, no. 3, pp. 691–696, Jan. 2010. doi: 10.1109/TAC.2009.2037455
    [9]
    Q. Liu, X. Zhang, and H. Li, “Global regulation for feedforward systems with both discrete delays and distributed delays,” Automatica, vol. 113, Art. no. 108753, Mar. 2020. doi: 10.1016/j.automatica.2019.108753
    [10]
    L. Chang, X. Ge, D. Ding, and C. Fu, “Stabilization for a class of feedforward nonlinear systems via pulsewidth-modulated controllers,” IEEE Trans. Autom. Control, vol. 69, no. 3, pp. 2075–2082, Mar. 2024. doi: 10.1109/TAC.2023.3317373
    [11]
    X. Niu and W. Lin, “Low gain control of linear growth feedforward systems by delayed output signals and sparse sampling,” Syst. Control Lett., vol. 172, Art. no. 105430, Feb. 2023. doi: 10.1016/j.sysconle.2022.105430
    [12]
    C. Chen, Z. Liu, Y. Zhang, C. L. P. Chen, and S. Xie, “Saturated nussbaum function based approach for robotic systems with unknown actuator dynamics,” IEEE Trans. Cybern., vol. 46, no. 10, pp. 2311–2322, Oct. 2016. doi: 10.1109/TCYB.2015.2475363
    [13]
    J. Du, C. Guo, S. Yu, and Y. Zhao, “Adaptive autopilot design of time-varying uncertain ships with completely unknown control coefficient,” IEEE J. Ocean. Eng., vol. 32, no. 2, pp. 346–352, Apr. 2007. doi: 10.1109/JOE.2007.893684
    [14]
    J. Zhu and C. Qian, “Local asymptotic stabilization for a class of uncertain upper-triangular systems,” Automatica, vol. 118, Art. no. 108954, Aug. 2020. doi: 10.1016/j.automatica.2020.108954
    [15]
    P. Wang, C. Yu, and J. Sun, “Quantized feedback control for nonlinear feedforward systems with unknown output functions and unknown control coefficients,” Int. J. Robust Nonlinear Control, vol. 29, no. 12, pp. 4002–4021, Jun. 2019. doi: 10.1002/rnc.4596
    [16]
    F. Shang, Y. Liu, and C. Li, “Global stabilization for feedforward nonlinear systems with unknown control direction and unknown growth rate,” Syst. Control Lett., vol. 111, pp. 58–63, Jan. 2018. doi: 10.1016/j.sysconle.2017.11.005
    [17]
    X. K. Liu, C. Wen, Q. Xu, and Y. W. Wang, “Resilient control and analysis for DC microgrid system under DoS and impulsive FDI attacks,” IEEE Trans. Smart Grid, vol. 12, no. 5, pp. 3742–3754, Sep. 2021. doi: 10.1109/TSG.2021.3072218
    [18]
    C. Liu, T. Wei, X. He, and X. Li, “Sliding-mode control for target tracking of omnidirectional mobile robots subject to impulsive deception attacks,” Chaos, Solitons Fractals, vol. 187, Art. no. 115439, Oct. 2024. doi: 10.1016/j.chaos.2024.115439
    [19]
    H. Chu, S. Gorbachev, D. Yue, and C. Dou, “Output formation containment for multiagent systems under multipoint multipattern FDI attacks: A resilient impulsive compensation control approach,” IEEE Trans. Cybern., vol. 54, no. 4, pp. 2606–2617, Apr. 2024. doi: 10.1109/TCYB.2023.3319647
    [20]
    D. D. Bainov and P. S. Simeonov, Systems With Impulse Effect. Chichester, U.K.: Ellis Horwood, 1989.
    [21]
    X. Li, D. W.C. Ho, and J. Cao, “Finite-time stability and settling-time estimation of nonlinear impulsive systems,” Automatica, vol. 99, pp. 361–368, Jan. 2019. doi: 10.1016/j.automatica.2018.10.024
    [22]
    Z. He, C. Li, Z. Cao, and H. Li, “Stability of nonlinear variable-time impulsive differential systems with delayed impulses,” Nonlinear Anal. Hybrid Syst., vol. 39, Art. no. 100970, Feb. 2021. doi: 10.1016/j.nahs.2020.100970
    [23]
    X. Wu, Y. Tang, and W. Zhang, “Input-to-state stability of impulsive stochastic delayed systems under linear assumptions,” Automatica, vol. 66, pp. 195–204, Apr. 2016. doi: 10.1016/j.automatica.2016.01.002
    [24]
    W. He, F. Qian, Q.-L. Han, and G. Chen, “Almost sure stability of nonlinear systems under random and impulsive sequential attacks,” IEEE Trans. Autom. Control, vol. 65, no. 9, pp. 3879–3886, Sep. 2020. doi: 10.1109/TAC.2020.2972220
    [25]
    D. Fan, X. Zhang, W. Pan, and H. Li, “Decentralized output-feedback control of triangular large-scale nonlinear impulsive systems with time-varying delays: a gain scaling approach,” Sci. China Inf. Sci., vol. 66, no. 11, Art. no. 212205, Oct. 2023. doi: 10.1007/s11432-023-3784-5
    [26]
    D. Fan, X. Zhang, and W. Pan, “Sliding mode control for strict-feedback nonlinear impulsive systems with matched disturbances,” IEEE Trans. Circuits Syst. Ⅱ, Exp. Briefs, vol. 71, no. 2, pp. 787–791, Sep. 2024. doi: 10.1109/TCSII.2023.3311920
    [27]
    D. Fan, X. Zhang, and C. Wen, “Exponential regulation of uncertain nonlinear triangular impulsive systems: A logic-based switching gain approach, ” IEEE Trans. Autom. Control, early access, Feb. 2025, doi: 10.1109/TAC.2025.3545697.
    [28]
    M. Wang, Z. Wang, H. Dong, and Q.-L. Han, “A novel framework for backstepping-based control of discrete-time strict-feedback nonlinear systems with multiplicative noises,” IEEE Trans. Autom. Control, vol. 66, no. 4, pp. 1484–1496, Apr. 2021. doi: 10.1109/TAC.2020.2995576
    [29]
    Y. Zhang, Z. Wang, L. Zou, Y. Chen, and G. Lu, “Ultimately bounded output feedback control for networked nonlinear systems with unreliable communication channel: A buffer-aided strategy,” IEEE/CAA J. Autom. Sinica, vol. 11, no. 7, pp. 1566–1578, Jul. 2024. doi: 10.1109/JAS.2024.124314
    [30]
    D. He, H. Wang, Y. Tian, and Y. Guo, “A fractional-order ultra-local model-based adaptive neural network sliding mode control of $n$-DOF upper-limb exoskeleton with input deadzone,” IEEE/CAA J. Autom. Sinica, vol. 11, no. 3, pp. 760–781, Mar. 2024. doi: 10.1109/JAS.2023.123882
    [31]
    X. Ge, Q.-L. Han, J. Wang, and X.-M. Zhang, “A scalable adaptive approach to multi-vehicle formation control with obstacle avoidance,” IEEE/CAA J. Autom. Sinica, vol. 9, no. 6, pp. 990–1004, Jun. 2022. doi: 10.1109/JAS.2021.1004263
    [32]
    Y. Song and S. Zhou, “Neuroadaptive control with given performance specifications for MIMO strict-feedback systems under nonsmooth actuation and output constraints,” IEEE Trans. Neural Netw. Learn. Syst., vol. 29, no. 9, pp. 4414–4425, Sep. 2018. doi: 10.1109/TNNLS.2017.2766123
    [33]
    L. Liu, Y. J. Liu, and S. Tong, “Neural networks-based adaptive finite-time fault-tolerant control for a class of strict-feedback switched nonlinear systems,” IEEE Trans. Cybern., vol. 49, no. 7, pp. 2536–2545, Jul. 2019. doi: 10.1109/TCYB.2018.2828308
    [34]
    B. Zhou, X. Huang, Y. Song, and F. L. Lewis, “Asymptotic tracking control for uncertain MIMO nonlinear systems with guaranteed performance and enhanced controllability,” IEEE Trans. Autom. Control, vol. 69, no. 6, pp. 4005–4012, Jun. 2024. doi: 10.1109/TAC.2023.3343388
    [35]
    J. Zhang, S. Liu, X. Zhang, and J. Xia, “Event-triggered-based distributed consensus tracking for nonlinear multiagent systems with quantization,” IEEE Trans. Neural Netw. Learn. Syst., vol. 35, no. 2, pp. 1501–1511, Feb. 2024. doi: 10.1109/TNNLS.2022.3183639
    [36]
    J. Lu, D. W. C. Ho, and J. Cao, “A unified synchronization criterion for impulsive dynamical networks,” Automatica, vol. 46, no. 7, pp. 1215–1221, Jul. 2010. doi: 10.1016/j.automatica.2010.04.005
    [37]
    X. Zhang, L. Baron, Q. Liu, and E. K. Boukas, “Design of stabilizing controllers with a dynamic gain for feedforward nonlinear time-delay systems,” IEEE Trans. Autom. Control, vol. 56, no. 3, pp. 692–697, Mar. 2011. doi: 10.1109/TAC.2010.2097150
    [38]
    X. Li and Y. Zhao, “Sliding mode control for linear impulsive systems with matched disturbances,” IEEE Trans. Autom. Control, vol. 67, no. 11, pp. 6203–6210, Nov. 2022. doi: 10.1109/TAC.2021.3129735
    [39]
    W. H. Chen, X. Deng, and W. X. Zheng, “Sliding-mode control for linear uncertain systems with impulse effects via switching gains,” IEEE Trans. Autom. Control, vol. 67, no. 4, pp. 2044–2051, Apr. 2022. doi: 10.1109/TAC.2021.3073099
    [40]
    Y. Bi, T. Wang, J. Qiu, M. Li, C. Wei, and L. Yuan, “Adaptive decentralized finite-time fuzzy secure control for uncertain nonlinear CPSs under deception attacks,” IEEE Trans. Fuzzy Syst., vol. 31, no. 8, pp. 2568–2580, Aug. 2023. doi: 10.1109/TFUZZ.2022.3229487
    [41]
    Y. Bi, F. Wang, P. Ding, T. Wang, and J. Qiu, “Multivariable adaptive super-twisting sliding mode resilient control for uncertain nonlinear CPSs against actuator and sensor attacks,” IEEE Trans. Autom. Sci. Eng., vol. 22, pp. 9039–9048, Mar. 2025. doi: 10.1109/TASE.2024.3496755
    [42]
    C. Huang and C. B. Yu, “Tuning function design for nonlinear adaptive control systems with multiple unknown control directions,” Automatica, vol. 89, pp. 259–265, Mar. 2018. doi: 10.1016/j.automatica.2017.11.024
    [43]
    W. D. Chen, Y. X. Li, L. Liu, X. D. Zhao, B. Niu, and L. M. Han, “Nussbaum-based adaptive fault-tolerant control for nonlinear CPSs with deception attacks: A new coordinate transformation technology,” IEEE Trans. Cybern., vol. 54, no. 2, pp. 1212–1222, Feb. 2024. doi: 10.1109/TCYB.2022.3206861
    [44]
    S. Zuo and D. Yue, “Resilient containment of multigroup systems against unknown unbounded FDI attacks,” IEEE Trans. Ind. Electron., vol. 69, no. 3, pp. 2864–2873, Mar. 2022. doi: 10.1109/TIE.2021.3066941
    [45]
    J. Zhao and G. H. Yang, “Fuzzy adaptive resilient control against unknown false data injection attacks for high-order nonlinear systems with actuator failures,” Neurocomputing, vol. 563, Art. no. 126939, Jan. 2024. doi: 10.1016/j.neucom.2023.126939

Catalog

    通讯作者: 陈斌, bchen63@163.com
    • 1. 

      沈阳化工大学材料科学与工程学院 沈阳 110142

    1. 本站搜索
    2. 百度学术搜索
    3. 万方数据库搜索
    4. CNKI搜索

    Figures(6)  / Tables(3)

    Article Metrics

    Article views (34) PDF downloads(12) Cited by()

    /

    DownLoad:  Full-Size Img  PowerPoint
    Return
    Return