A journal of IEEE and CAA , publishes high-quality papers in English on original theoretical/experimental research and development in all areas of automation
Volume 13 Issue 3
Mar.  2026

IEEE/CAA Journal of Automatica Sinica

  • JCR Impact Factor: 19.2, Top 1 (SCI Q1)
    CiteScore: 28.2, Top 1% (Q1)
    Google Scholar h5-index: 95, TOP 5
Turn off MathJax
Article Contents
Y. Cheng, W. Zhang, C. L. P. Chen, and X. Wang, “M3Net: Meta-reinforcement learning-based open-set domain generalization of hyperspectral image classification model,” IEEE/CAA J. Autom. Sinica, vol. 13, no. 3, pp. 568–585, Mar. 2026. doi: 10.1109/JAS.2025.125981
Citation: Y. Cheng, W. Zhang, C. L. P. Chen, and X. Wang, “M3Net: Meta-reinforcement learning-based open-set domain generalization of hyperspectral image classification model,” IEEE/CAA J. Autom. Sinica, vol. 13, no. 3, pp. 568–585, Mar. 2026. doi: 10.1109/JAS.2025.125981

M3Net: Meta-Reinforcement Learning-Based Open-Set Domain Generalization of Hyperspectral Image Classification Model

doi: 10.1109/JAS.2025.125981
Funds:  This work was supported by the National Natural Science Foundation of China (62373364, 62573416) and the Key Research and Development Program of Jiangsu Province (BE2022095)
More Information
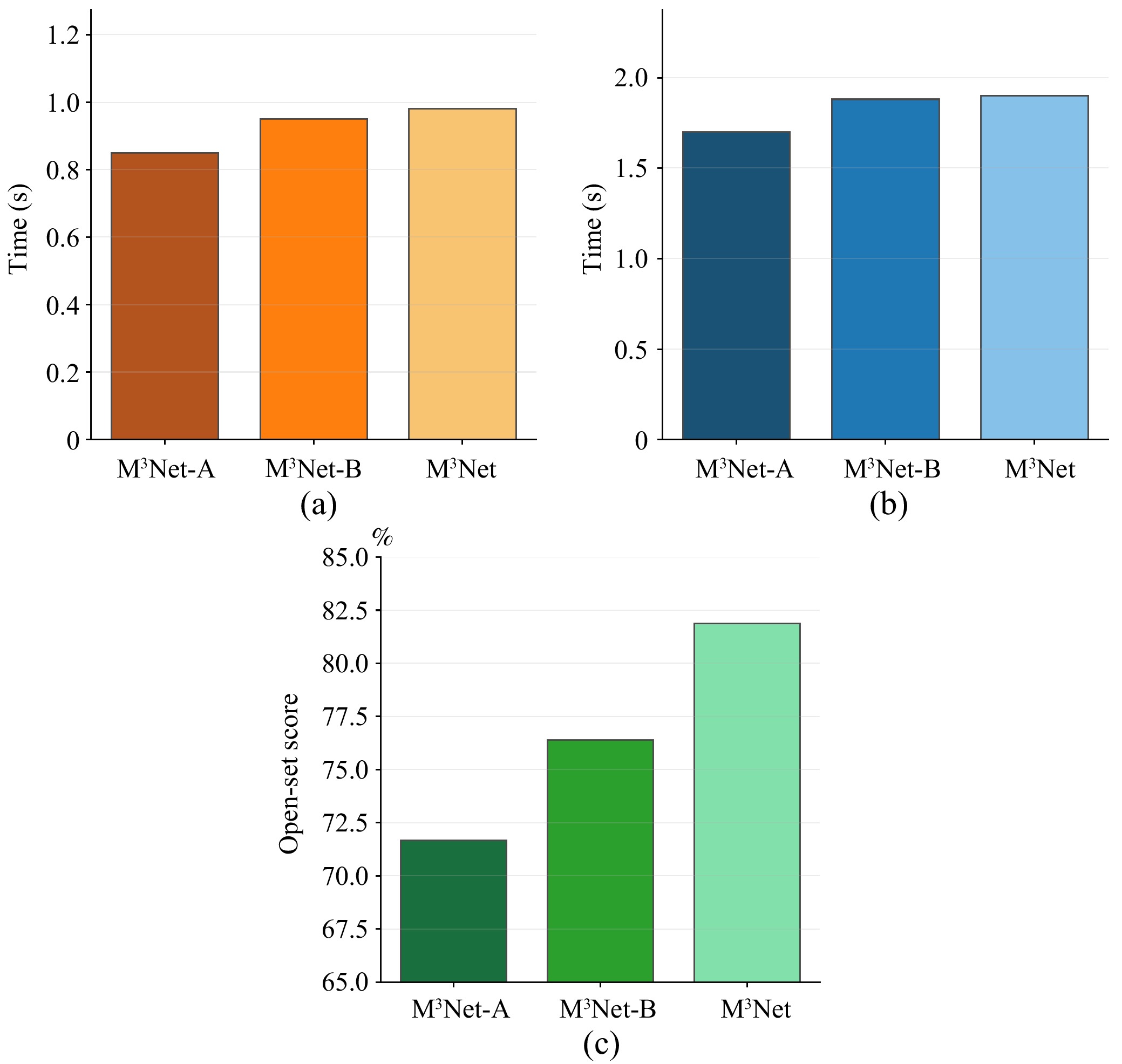
  • Hyperspectral image (HSI) classification models face dual challenges in open-set domain generalization: limited generalization ability due to unseen-domain shifts, and the need for unknown class recognition that breaks the closed-set assumption of traditional models. To address these challenges, we propose the Markov meta-Mamba network (M3Net), which provides a meta-reinforcement learning-based solution for open-set domain generalization of HSI classification model. Specifically, a meta-task construction mechanism is proposed, treating source-domain background pixels as virtual unknown classes to simulate open-set HSI classification tasks during training, thereby providing task support for meta-reinforcement learning. Then, the open-set HSI classification task is reconstructed as a Markov decision process. By leveraging reinforcement learning’s multi-step temporal credit assignment, non-causal factor sensitivity is suppressed, improving the model’s cross-domain generalization performance. Finally, the theoretical linkage between Mamba and meta-learning is established, demonstrating that Mamba inherently operates as a meta-learner when processing task sequences. Building on this, a Mamba-based meta-task embedding framework is designed, where shared meta-parameters and task-specific parameters are jointly optimized to achieve cross-task knowledge induction across open-set HSI classification tasks, thereby enhancing the model’s generalization capability for unseen open-set tasks. Experiments on three cross-domain hyperspectral image datasets show that M3Net has achieved the most competitive performance in the open-set domain generalization.

     

  • loading
  • [1]
    K. Gao, B. Liu, X. Yu, and A. Z. Yu, “Unsupervised meta learning with multiview constraints for hyperspectral image small sample set classification,” IEEE Trans. Image Process., vol. 31, pp. 3449–3462, May 2022. doi: 10.1109/TIP.2022.3169689
    [2]
    M. Zhang, X. Zhao, W. Li, Y. Zhang, R. Tao, and Q. Du, “Cross-scene joint classification of multisource data with multilevel domain adaption network,” IEEE Trans. Neural Netw. Learn. Syst., vol. 35, no. 8, pp. 11514–11526, Aug. 2024. doi: 10.1109/TNNLS.2023.3262599
    [3]
    J. Li, Z. Zhang, R. Song, Y. Li, and Q. Du, “SCFormer: Spectral coordinate transformer for cross-domain few-shot hyperspectral image classification,” IEEE Trans. Image Process., vol. 33, pp. 840–855, Jan. 2024. doi: 10.1109/TIP.2024.3351443
    [4]
    D. Wang, J. Zhang, B. Du, L. Zhang, and D. Tao, “DCN-T: Dual context network with transformer for hyperspectral image classification,” IEEE Trans. Image Process., vol. 32, pp. 2536–2551, Apr. 2023. doi: 10.1109/TIP.2023.3270104
    [5]
    J. Yang, B. Du, and L. Zhang, “From center to surrounding: An interactive learning framework for hyperspectral image classification,” ISPRS J Photogramm. Remote Sens., vol. 197, pp. 145–166, Mar. 2023. doi: 10.1016/j.isprsjprs.2023.01.024
    [6]
    D. Wang, M. Hu, Y. Jin, Y. Miao, J. Yang, and Y. Xu, “HyperSIGMA: Hyperspectral intelligence comprehension foundation model,” IEEE Trans. Pattern Anal. Mach. Intell., vol. 47, no. 8, pp. 6427–6444, Aug. 2025. doi: 10.1109/TPAMI.2025.3557581
    [7]
    Y. Zhang, W. Li, W. Sun, R. Tao, and Q. Du., “Single-source domain expansion network for cross-scene hyperspectral image classification,” IEEE Trans. Image Process., vol. 32, pp. 1498–1512, Feb. 2023. doi: 10.1109/TIP.2023.3243853
    [8]
    B. Qin, S. Feng, C. Zhao, B. Xi, W. Li, and R. Tao, “FDGNet: Frequency disentanglement and data geometry for domain generalization in cross-scene hyperspectral image classification,” IEEE Trans. Neural Netw. Learn. Syst., vol. 36, no. 6, pp. 10297–10310, Jun. 2025. doi: 10.1109/TNNLS.2024.3445136
    [9]
    N. Li, X. Song, Y. Liu, W. Zhu, C. Li, W. Zhang, and Y. Quan, “Semi-supervised graph constraint dual classifier network with unknown class feature learning for hyperspectral image open-set classification,” IEEE Geosci. Remote Sens. Lett., vol. 22, pp. 5504005, Apr. 2025.
    [10]
    Y. Zhang, M. Zhang, W. Li, S. Wang, and R. Tao, “Language-aware domain generalization network for cross-scene hyperspectral image classification,” IEEE Trans. Geosci. Remote Sens., vol. 61, p. 5501312, Jan. 2023. doi: 10.2139/ssrn.4937361
    [11]
    B. Qin, S. Feng, C. Zhao, W. Li, R. Tao, and J. Zhou, “Language-enhanced dual-level contrastive learning network for open-set hyperspectral image classification,” IEEE Trans. Geosci. Remote Sens., vol. 63, pp. 5508114, Mar. 2025.
    [12]
    Y. Du, X. Li, L. Shi, F. Li, and T. Xu, “A prototype network for hyperspectral image open-set classification based on feature invariance and weighted Pearson distance measurement,” IEEE Trans. Geosci. Remote Sens., vol. 62, p. 5506917, Jan. 2024. doi: 10.1109/tgrs.2024.3359311
    [13]
    H. Wang, X. Liu, Z. Qiao, and H. Tao, “Inducing causal meta-knowledge from virtual domain: Causal meta-generalization for hyperspectral domain generalization,” IEEE Trans. Geosci. Remote Sens., vol. 62, pp. 5538416, Nov. 2024.
    [14]
    X. Zhou, X. Zheng, T. Shu, W. Liang, K. I. K. Wang, L. Qi, S. Shimizu, and Q. Jin, “Information theoretic learning-enhanced dual-generative adversarial networks with causal representation for robust OOD generalization,” IEEE Trans, Neural Netw. Learn. Syst., vol. 36, no. 2, pp. 2066–2079, Feb. 2025. doi: 10.1109/TNNLS.2023.3330864
    [15]
    F. Lv, J. Liang, S. Li, B. Zang, C. H. Liu, Z. Wang, and D. Liu, “Causality inspired representation learning for domain generalization,” in Proc IEEE/CVF Conf. Computer Vision and Pattern Recognition, New Orleans, LA, USA, 2022, pp. 8046−8056.
    [16]
    J. Li, Z. Zhang, R. Song, H. Xu, Y. Li, and Q. Du, “Contrastive MLP network based on adjacent coordinates for cross-domain zero-shot hyperspectral image classification,” IEEE Trans. Circuits Syst. Video Technol., vol. 35, no. 8, pp. 8377–8390, Aug. 2025. doi: 10.1109/TCSVT.2025.3549365
    [17]
    X. Wang, S. Wang, X. Liang, D. Zhao, J. Huang, X. Xu, B. Dai, and Q. Miao, “Deep reinforcement learning: A survey,” IEEE Trans. Neural Netw. Learn. Syst., vol. 35, no. 4, pp. 5064–5078, Apr. 2024. doi: 10.1109/TNNLS.2022.3207346
    [18]
    S. Khairy, P. Balaprakash, and L. X. Cai, “A gradient-aware search algorithm for constrained Markov decision processes,” IEEE Trans. Neural Netw. Learn. Syst., vol. 35, no. 12, pp. 18914–18921, Dec. 2024. doi: 10.1109/TNNLS.2023.3315598
    [19]
    T. Zhang, Z. Lin, Y. Wang, D. Ye, Q. Fu, W. Yang, X. Wang, B. Liang, B. Yuan, and X. Li, “Dynamics-adaptive continual reinforcement learning via progressive contextualization,” IEEE Trans. Neural Netw. Learn. Syst., vol. 35, no. 10, pp. 14588–14602, Oct. 2024. doi: 10.1109/TNNLS.2023.3280085
    [20]
    G. Chen, P. Peng, X. Wang, and Y. Tian, “Adversarial reciprocal points learning for open set recognition,” IEEE Trans. Pattern Anal. Mach. Intell., vol. 44, no. 11, pp. 8065–8081, Nov. 2022.
    [21]
    B. Wang, Y. Xu, Z. Wu, S. Zheng, Z. Wei, and J. Chanussot, “Hyperspectral images single-source domain generalization based on nonlinear sample generation,” IEEE Trans. Geosci. Remote Sens., vol. 62, pp. 5516613, Apr. 2024.
    [22]
    Y. Sun, B. Liu, R. Wang, P. Zhang, and M. Dai, “Spectral-spatial MLP-like network with reciprocal points learning for open-set hyperspectral image classification,” IEEE Trans. Geosci. Remote Sens., vol. 61, pp. 5513218, May 2023.
    [23]
    T. Hospedales, A. Antoniou, P. Micaelli, and A. Storkey, “Meta-learning in neural networks: A survey,” IEEE Trans. Pattern Anal. Mach. Intell., vol. 44, no. 9, pp. 5149–5169, Sep. 2022.
    [24]
    A. Gu, and T. Dao, “Mamba: Linear-time sequence modeling with selective state spaces,” arXiv preprint arXiv: 2312.00752, 2024.
    [25]
    B. Zhang, Y. Chen, S. Xiong, and X. Lu, “Hyperspectral image classification via cascaded spatial cross-attention network,” IEEE Trans. Image Process., vol. 34, pp. 899–913, Jan. 2025. doi: 10.1109/TIP.2025.3533205
    [26]
    M. Ahmad, M. Mazzara, S. Distefano, A. M. Khan, M. H. F. Butt, and D. Hong, “PolicyMamba: Localized policy attention with state space model for land cover classification,” IEEE Trans. Neural Netw. Learn. Syst., vol. 36, no. 10, pp. 17814–17825, Oct. 2025. doi: 10.1109/TNNLS.2025.3586836
    [27]
    Y. Shao, W. Wu, X. You, C. Gao, and N. Sang, “Improving the generalization of MAML in few-shot classification via bi-level constraint,” IEEE Trans. Circuits Syst. Video Technol., vol. 33, no. 7, pp. 3284–3295, Jul. 2023. doi: 10.1109/TCSVT.2022.3232717
    [28]
    S. Baik, M. Choi, J. Choi, H. Kim, and K. M. Lee, “Learning to learn task-adaptive hyperparameters for few-shot learning,” IEEE Trans. Pattern Anal. Mach. Intell., vol. 46, no. 3, pp. 1441–1454, Mar. 2024. doi: 10.1109/TPAMI.2023.3261387
    [29]
    P. Tang, X. Luo, and J. Woodcock, “Auto-encoding neural tucker factorization,” IEEE Trans. Knowl. Data Eng., vol. 37, no. 10, pp. 5795–5807, Oct. 2025. doi: 10.1109/TKDE.2025.3590198
    [30]
    X. Luo, H. Wu, and Z. Li, “Neulft: A novel approach to nonlinear canonical polyadic decomposition on high-dimensional incomplete tensors,” IEEE Trans. Knowl. Data Eng., vol. 35, no. 6, pp. 6148–6166, Jun. 2023. doi: 10.1109/tkde.2022.3176466
    [31]
    J. Bai, W. Shi, Z. Xiao, T. A. A. Ali, F. Ye, and L. Jiao, “Achieving better category separability for hyperspectral image classification: A spatial-spectral approach,” IEEE Trans. Neural Netw. Learn. Syst., vol. 35, no. 7, pp. 9621–9635, Jul. 2024. doi: 10.1109/TNNLS.2023.3235711
    [32]
    J. Schulman, F. Wolski, P. Dhariwal, A. Radford, and O. Klimov, “Proximal policy optimization algorithms,” arXiv preprint arXiv: 1707.06347, 2017.
    [33]
    M. S. Ausin, H. Azizsoltani, S. Ju, Y. J. Kim, and M. Chi, “InferNet for delayed reinforcement tasks: Addressing the temporal credit assignment problem,” in Proc. IEEE Int. Conf. Big Data, Orlando, FL, USA, 2021, pp. 1337−1348.
    [34]
    Y. Wu, S. Liao, X. Liu, Z. Li, and R. Lu, “Deep reinforcement learning on autonomous driving policy with auxiliary critic network,” IEEE Trans. Neural Netw. Learn. Syst., vol. 34, no. 7, pp. 3680–3690, Jul. 2023. doi: 10.1109/TNNLS.2021.3116063
    [35]
    M. Zhang, S. Zhang, X. Wu, Z. Shi, X. Deng, E. Wu, and X. Q. Xu, “Efficient reinforcement learning with the novel N-step method and V-network,” IEEE Trans. Cybern., vol. 54, no. 10, pp. 6048–6057, Oct. 2024. doi: 10.1109/TCYB.2024.3401014
    [36]
    A. Bendale and T. E. Boult, “Towards open set deep networks,” in Proc. IEEE Conf. Computer Vision and Pattern Recognition, Las Vegas, NV, USA, 2016, pp. 1563−1572.
    [37]
    Y. Li, Y. Luo, L. Zhang, Z. Wang, and B. Du, “MambaHSI: Spatial-spectral Mamba for hyperspectral image classification,” IEEE Trans. Geosci. Remote Sens., vol. 62, pp. 5524216, Jul. 2024.
    [38]
    X. Yang, W. Cao, Y. Lu, and Y. Zhou, “Hyperspectral image transformer classification networks,” IEEE Trans. Geosci. Remote Sens., vol. 60, pp. 5528715, May 2022.
    [39]
    P. R. M. Júnior, R. M. de Souza, R. de O. Werneck, B. V. Stein, D. V. Pazinato, W. R. de Almeida, O. A. B. Penatti, R. D. S. Torres, and A. Rocha, “Nearest neighbors distance ratio open-set classifier,” Mach. Learn., vol. 106, no. 3, pp. 359–386, Mar. 2017. doi: 10.1007/s10994-016-5610-8
    [40]
    Z. Xie, P. Duan, W. Liu, X. Kang, X. Wei, and S. Li, “Feature consistency-based prototype network for open-set hyperspectral image classification,” IEEE Trans. Neural Netw. Learn. Syst., vol. 35, no. 7, pp. 9286–9296, Jul. 2024. doi: 10.1109/TNNLS.2022.3232225
    [41]
    J. Jang and C. O. Kim, “Collective decision of one-vs-rest networks for open-set recognition,” IEEE Trans. Neural Netw. Learn. Syst., vol. 35, no. 2, pp. 2327–2338, Feb. 2024. doi: 10.1109/TNNLS.2022.3189996
    [42]
    J. Liu, J. Tian, W. Han, Z. Qin, Y. Fan, and J. Shao, “Learning multiple Gaussian prototypes for open-set recognition,” Inf. Sci., vol. 626, pp. 738–753, May 2023. doi: 10.1016/j.ins.2023.01.062

Catalog

    通讯作者: 陈斌, bchen63@163.com
    • 1. 

      沈阳化工大学材料科学与工程学院 沈阳 110142

    1. 本站搜索
    2. 百度学术搜索
    3. 万方数据库搜索
    4. CNKI搜索

    Figures(11)  / Tables(4)

    Article Metrics

    Article views (444) PDF downloads(20) Cited by()

    /

    DownLoad:  Full-Size Img  PowerPoint
    Return
    Return