A journal of IEEE and CAA , publishes high-quality papers in English on original theoretical/experimental research and development in all areas of automation

Vol. 13,  No. 1, 2026

Display Method:
PERSPECTIVE
Increasing the Response Speed Without Redesigning the System: A Reference Input Scheduling Approach
Zongli Lin
2026, 13(1): 1-2. doi: 10.1109/JAS.2026.125813
Abstract(1195) HTML (219) PDF(129)
Abstract:
REVIEWS
Networked Predictive Control: A Survey
Zhong-Hua Pang, Tong Mu, Yi Yu, Haibin Guo, Guo-Ping Liu, Qing-Long Han
2026, 13(1): 3-20. doi: 10.1109/JAS.2025.125234
Abstract(1365) HTML (243) PDF(132)
Abstract:
Networked predictive control (NPC) has gained significant attention in recent years for its ability to effectively and actively address communication constraints in networked control systems (NCSs), such as network-induced delays, packet dropouts, and packet disorders. Despite significant advancements, the increasing complexity and dynamism of network environments, along with the growing complexity of systems, pose new challenges for NPC. These challenges include difficulties in system modeling, cyber attacks, component faults, limited network bandwidth, and the necessity for distributed collaboration. This survey aims to provide a comprehensive review of NPC strategies. It begins with a summary of the primary challenges faced by NCSs, followed by an introduction to the control structure and core concepts of NPC. The survey then discusses several typical NPC schemes and examines their extensions in the areas of secure control, fault-tolerant control, distributed coordinated control, and event-triggered control. Moreover, it reviews notable works that have implemented these schemes. Finally, the survey concludes by exploring typical applications of NPC schemes and highlighting several challenging issues that could guide future research efforts.
Deep Learning for Video Summarization: Systematic Review, Challenges and Opportunities
Qinghao Yu, Zidong Wang, Guoliang Wei, Hui Yu
2026, 13(1): 21-42. doi: 10.1109/JAS.2025.125864
Abstract(1625) HTML (271) PDF(143)
Abstract:
The exponential growth of video content has driven significant advancements in video summarization techniques in recent years. Breakthroughs in deep learning have been particularly transformative, enabling more effective detection of key information and creating new possibilities for video synopsis. To summarize recent progress and accelerate research in this field, this paper provides a comprehensive review of deep learning-based video summarization methods developed over the past decade. We begin by examining the research landscape of video abstraction technologies and identifying core challenges in video summarization. Subsequently, we systematically analyze prevailing deep learning frameworks and methodologies employed in current video summarization systems, offering researchers a clear roadmap of the field’s evolution. Unlike previous review works, we first classify research papers based on the structural hierarchy of the video (from frame-level to shot-level to video-level), then further categorize them according to the summary backbone model (feature extraction and spatiotemporal modeling). This approach provides a more systematic and hierarchical organization of the documents. Following this comprehensive review, we summarize the benchmark datasets and evaluation metrics commonly employed in the field. Finally, we analyze persistent challenges and propose insightful directions for future research, providing a forward-looking perspective on video summarization technologies. This systematic literature review is of great reference value to new researchers exploring the fields of deep learning and video summarization.
PAPERS
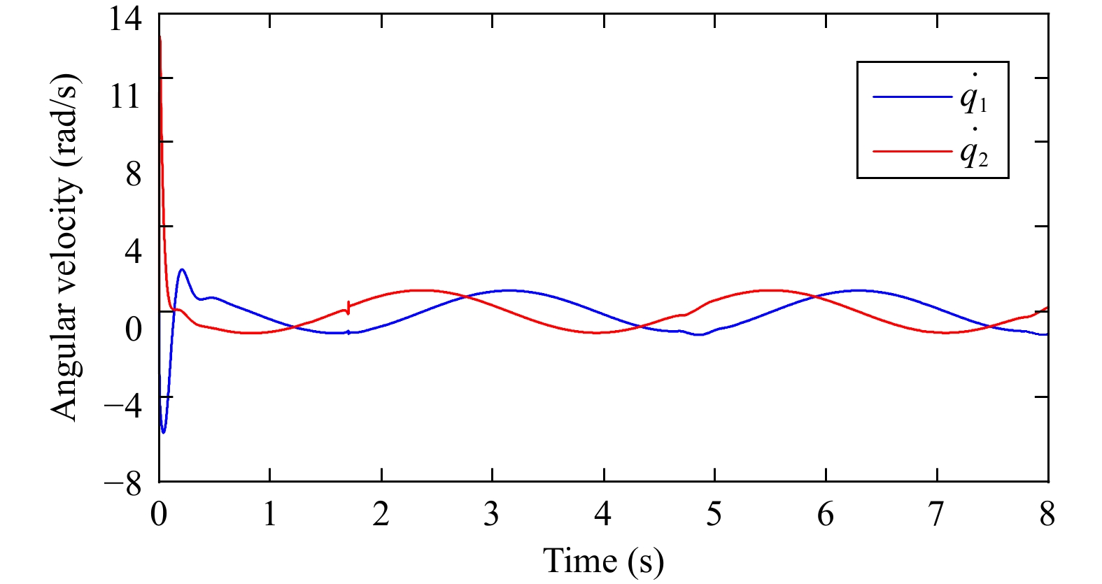
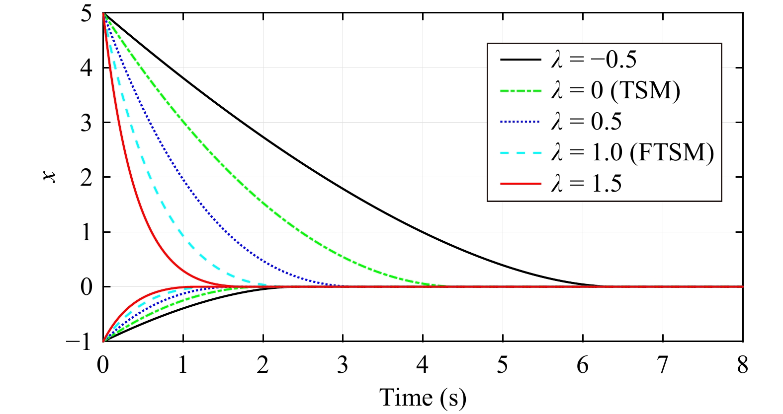
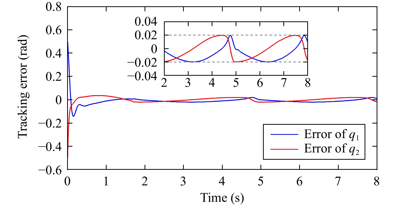
A Further Study on Terminal Sliding Mode Control for Nonlinear Systems
Zhe Sun, Zhipeng Li, Bo Chen, Yuan Zhou, Jinchuan Zheng, Zhihong Man
2026, 13(1): 43-56. doi: 10.1109/JAS.2025.125240
Abstract(1569) HTML (262) PDF(147)
Abstract:
In this paper, a unified terminal sliding mode (UTSM) control method is proposed for second-order nonlinear systems with uncertainties and disturbances. It is seen that the newly defined terminal sliding surface is integrated with both conventional and fast terminal sliding mode and exhibits design advantages such as a variable exponent, adjustable sliding mode parameters, and chattering-alleviation effect. The inherent dynamic properties of the closed-loop systems with the UTSM control are discussed in detail via the phase plane and Lyapunov stability theory. Both numerical simulations and experimental results show the flexible sliding manifold design, strong robustness against uncertain dynamics, and effective attenuation of chattering phenomenon.
Offline Generalized Actor-Critic With Distance Regularization
Huanting Feng, Yuhu Cheng, Xuesong Wang
2026, 13(1): 57-71. doi: 10.1109/JAS.2025.125633
Abstract(831) HTML (240) PDF(37)
Abstract:
In order to address the issue of overly conservative offline reinforcement learning (RL) methods that limit the generalization of policy in the out-of-distribution (OOD) region, this article designs a surrogate target for OOD value function based on dataset distance and proposes a novel generalized Q-learning mechanism with distance regularization (GQDR). In theory, we not only prove the convergence of GQDR, but also ensure that the difference between the Q-value learned by GQDR and its true value is bounded. Furthermore, an offline generalized actor-critic method with distance regularization (OGACDR) is proposed by combining GQDR with actor-critic learning framework. Two implementations of OGACDR, OGACDR-EXP and OGACDR-SQR, are introduced according to exponential (EXP) and open-square (SQR) distance weight functions, and it has been theoretically proved that OGACDR provides a safe policy improvement. Experimental results on Gym-MuJoCo continuous control tasks show that OGACDR can not only alleviate the overestimation and overconservatism of Q-value function, but also outperform conservative offline RL baselines.
Fault-Tolerant Control Achieving Prescribed Tracking Accuracy Within Given Time for Euler-Lagrange Systems Under Unknown Actuation Characteristics and Fading Powering Faults
Jie Su, Yongduan Song
2026, 13(1): 72-82. doi: 10.1109/JAS.2025.125453
Abstract(812) HTML (255) PDF(76)
Abstract:
This paper proposes a fault-tolerant control scheme for Euler-Lagrange systems that ensures the tracking error decays to a pre-specified accuracy level within a prescribed time period, despite unknown actuation characteristics and potential fading powering faults. By performing deliberately designed coordinate transformations on the tracking error, the complex and demanding problem of “reaching specified precision within a given time” is transformed into a bounded control problem, facilitating the development of the control scheme. To enhance practicality, the design incorporates smooth function fitting and dynamic surface control techniques. Additionally, the proposed control algorithm is robust to faults, effectively handling a combination of fading powering faults and additive actuator faults without requiring additional human intervention. Numerical simulations on a two-link robotic manipulator verify the effectiveness of the proposed control algorithm.
Indefinite Linear-Quadratic Mean-Field Game of Regime-Switching System
Tian Chen, Kai Du, Zhen Wu
2026, 13(1): 83-97. doi: 10.1109/JAS.2025.125456
Abstract(833) HTML (225) PDF(25)
Abstract:
This paper studies an indefinite mean-field game with Markov jump parameters, where all agents’ diffusion terms depend on control variables and both state and control average terms ($ x^{(N)}_{\cdot} $, $ u^{(N)}_{\cdot} $) are considered. One notable aspect is the relaxation of the assumption regarding the positivity or non-negativity of weight matrices within costs, allowing for zero or even negative values. By virtue of mean-field methods and decomposition techniques, we have derived decentralized strategies presented by Hamiltonian systems and a new type of consistency condition system. These systems consist of fully coupled regime-switching forward-backward stochastic differential equations that do not conform to the Monotonicity condition. The well-posedness of these strategies is established by employing a relaxed compensator method with an easily verifiable Condition (RC) and the decomposition technique. Furthermore, we demonstrate that the resulting decentralized strategies achieve an ϵ-Nash equilibrium in the indefinite case without any assumptions on admissible control sets using novel estimates of the disturbed state and cost function. Finally, our theoretical results are applied to resolve a class of mean-variance portfolio selection problems. We provide corresponding numerical simulation results and economic explanations.
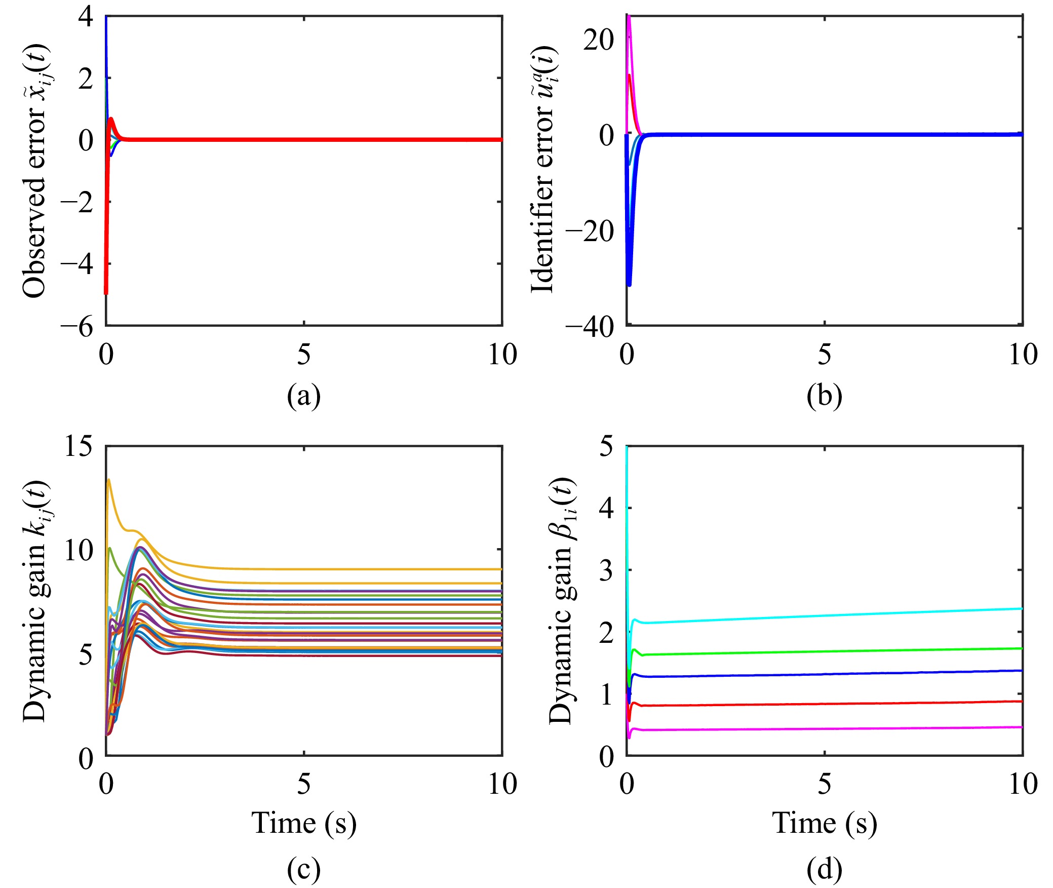
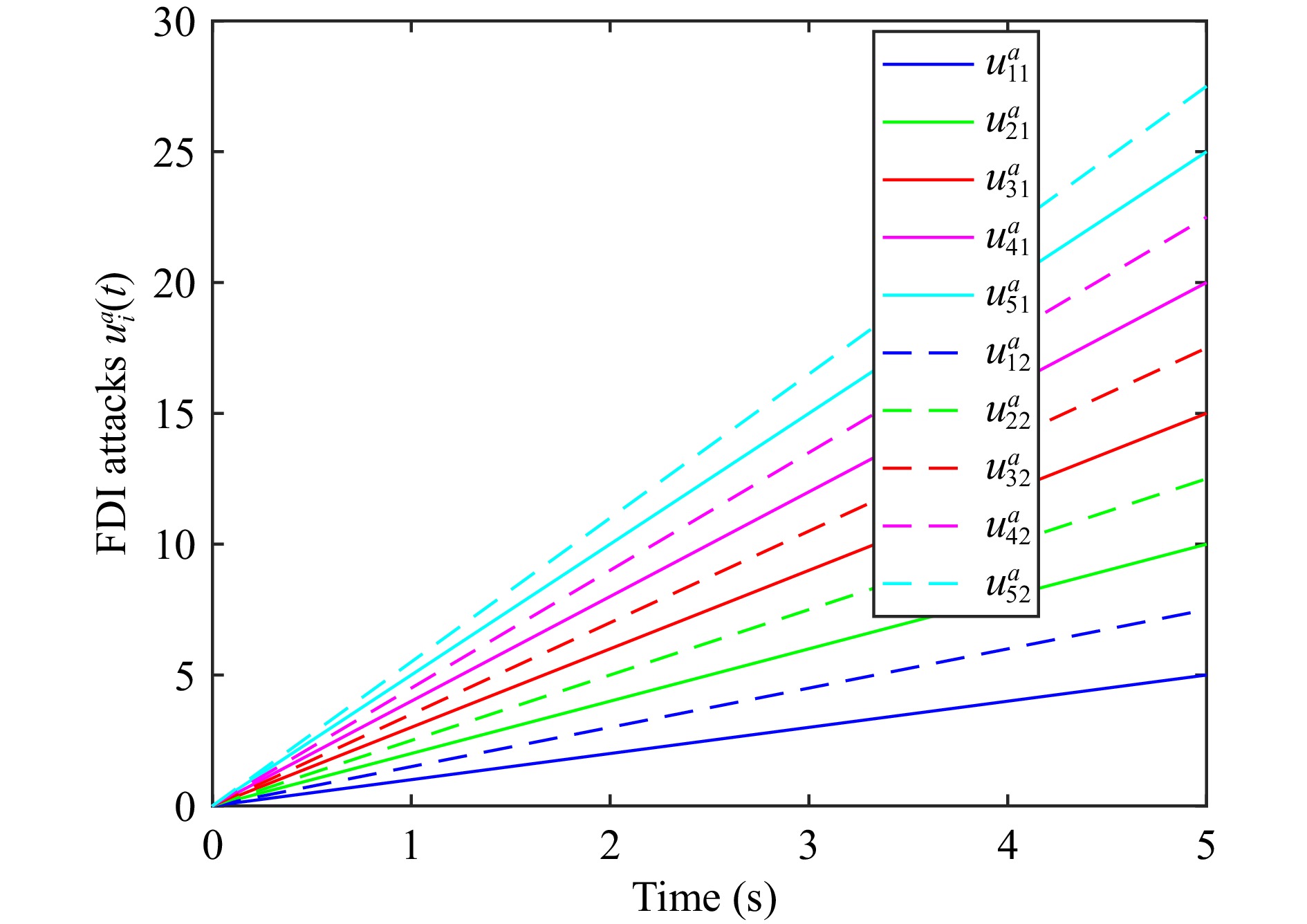
Attack-Resilient Distributed Nash Equilibrium Seeking for Networked Games Under Unbounded FDI Attacks: Theory and Experiment
Zhi Feng, Zhexin Shi, Xiwang Dong, Guoqiang Hu, Jinhu Lv
2026, 13(1): 98-109. doi: 10.1109/JAS.2025.125486
Abstract(1663) HTML (249) PDF(149)
Abstract:
An attack-resilient distributed Nash equilibrium (NE) seeking problem is addressed for noncooperative games of networked systems under malicious cyber-attacks, i.e., false data injection (FDI) attacks. Different from many existing distributed NE seeking works, it is practical and challenging to get resilient adaptively distributed NE seeking under unknown and unbounded FDI attacks. An attack-resilient NE seeking algorithm that is distributed (i.e., independent of global information on the graph’s algebraic connectivity, Lipschitz and monotone constants of pseudo-gradients, or number of players), is presented by means of incorporating the consensus-based gradient play with a distributed attack identifier so as to achieve simultaneous NE seeking and attack identification asymptotically. Another key characteristic is that FDI attacks are allowed to be unknown and unbounded. By exploiting nonsmooth analysis and stability theory, the global asymptotic convergence of the developed algorithm to the NE is ensured. Moreover, we extend this design to further consider the attack-resilient NE seeking of double-integrator players. Lastly, numerical simulation and practical experiment results are presented to validate the developed algorithms’ effectiveness.
Global Adaptive Event-Triggered Designated-Time Stabilization of Uncertain Nonlinear Systems
Jiao-Jiao Li, Zong-Yao Sun, Changyun Wen, Chih-Chiang Chen
2026, 13(1): 110-122. doi: 10.1109/JAS.2025.125558
Abstract(616) HTML (181) PDF(57)
Abstract:
This paper explores the adaptive exponentially designated-time stabilization issue via event-triggered feedback for a kind of uncertain high-order nonlinear systems. The motivation mainly comes from the following two challenges: the undesired singularity problem arising from infinite control gains at the prescribed-time instant, the effective trade-off between the control amplitude and the triggering duration. The goal is to build an event-triggered mechanism comprising a skillful triggered rule alongside a time-dependent threshold. Utilizing the designed control strategy, the solutions’ existence and the prevention of Zeno phenomenon are successfully guaranteed by using a new transformation equipped with a time-varying function and redesigning the continuous state-feedback dominance approach with an array of integral functions involving embedded sign functions. Better than existing prescribed-time methods, our approach not only ensures that state variables converge to a small compact set before a designated time and stay there henceforth, and converge to the origin exponentially, but also ensures that the controller continuously works on the whole-time horizon. Two illustrative examples are given to show the effectiveness of the devised scheme.
Novel Finite-Time Adaptive Fuzzy Fault-Tolerant Control for Fractional-Order Nonlinear Systems and Its Applications
Xingxing You, Songyi Dian, Bin Guo, Quan Xiao, Yuqi Zhu, Kai Liu
2026, 13(1): 123-136. doi: 10.1109/JAS.2025.125852
Abstract(831) HTML (213) PDF(35)
Abstract:
To address the finite-time tracking control problem for fractional-order nonlinear systems (FONSs) with actuator faults and external disturbance, a novel strategy of the finite-time adaptive fuzzy fault-tolerant controller is presented in this paper by utilizing the finite-time stability theory and fractional-order dynamic surface control scheme combined with backstepping method. A new lemma is developed for analyzing the finite-time stability of FONSs in terms of fractional differential inequality, which modifies some existing results. Fuzzy logic systems are adopted to identify unknown nonlinear characteristics in FONS. In order to compensate for the influence of unknown external disturbance and estimation error for fuzzy logic systems, an auxiliary function is employed to estimate the upper bound of parameters online. Furthermore, a global coordinate transformation is first introduced initially to decouple the fractional-order dynamic system of a specific class of underactuated single-link flexible manipulator systems, thereby transforming it into lower triangular systems. Simulation analyses and experimental results verify the feasibility and effectiveness of finite-time tracking control algorithm.
Switching-Like Sliding Mode Security Control Against DoS Attacks: A Novel Attack-Related Adaptive Event-Triggered Scheme
Jiancun Wu, Zhiru Cao, Engang Tian, Chen Peng
2026, 13(1): 137-148. doi: 10.1109/JAS.2025.125189
Abstract(1132) HTML (268) PDF(114)
Abstract:
In this paper, a security defense issue is investigated for networked control systems susceptible to stochastic denial of service (DoS) attacks by using the sliding mode control method. To utilize network communication resources more effectively, a novel adaptive event-triggered (AET) mechanism is introduced, whose triggering coefficient can be adaptively adjusted according to the evolution trend of system states. Differing from existing event-triggered (ET) mechanisms, the proposed one demonstrates exceptional relevance and flexibility. It is closely related to attack probability, and its triggering coefficient dynamically adjusts depending on the presence or absence of an attack. To leverage attacker information more effectively, a switching-like sliding mode security controller is designed, which can autonomously select different controller gains based on the sliding function representing the attack situation. Sufficient conditions for the existence of the switching-like sliding mode secure controller are presented to ensure the stochastic stability of the system and the reachability of the sliding surface. Compared with existing time-invariant control strategies within the triggered interval, more resilient defense performance can be expected since the correlation with attack information is established in both the proposed AET scheme and the control strategy. Finally, a simulation example is conducted to verify the effectiveness and feasibility of the proposed security control method.
Neural Adaptive Sliding-Mode Control of Vehicular Cyber-Physical Systems With Uniformly Quantized Communication Data and Disturbances
Yuan Zhao, Mengchao Li, Zhongchang Liu, Lichuan Liu, Shixi Wen, Lei Ding
2026, 13(1): 149-160. doi: 10.1109/JAS.2025.125186
Abstract(1429) HTML (227) PDF(87)
Abstract:
This paper investigates the platoon control of heterogeneous vehicular cyber-physical systems (VCPSs) subject to external disturbances by using neural network and uniformly quantized communication data. To reduce the adverse effects of quantization errors on system performance, a coupling sliding mode surface is established for each following vehicle. The radial basis function (RBF) neural networks are employed to approximate the unknown external disturbances. Then, a novel platoon control law is proposed for cooperative tracking in which each following vehicle only uses the uniformly quantized data of the neighboring vehicles. And the designed controllers in this paper are fully distributed due to the fact that the selection of each vehicle’s controller parameters is independent of the entire communication topology. The string stability of VCPSs in the entire control process is ensured rather than only ensuring the string stability after the sliding mode surface converges to zero. Compared with the existing controller design methods and quantization mechanisms, the neural adaptive sliding-mode platoon controller proposed in this paper is superior in performances including tracking errors, driving comfort and fuel economy. Numerical simulations illustrate the effectiveness and superiority of the designed control strategy.
LMAdam: Enhancing Adam via Linear Multistep Discretization
Liangming Chen, Longbang Wang, Long Jin, Jun Wang
2026, 13(1): 161-169. doi: 10.1109/JAS.2025.125834
Abstract(686) HTML (199) PDF(24)
Abstract:
In this paper, we propose a learning algorithm termed linear multistep adaptive moment (LMAdam) to enhance the adaptive moment (Adam) algorithm for machine learning. Considering Adam as a single-step discretization of its continuous counterpart, we develop the LMAdam algorithm based on a linear multistep discretization scheme. We design a feedforward neural network for learning the coefficients of the multistep terms with ensured consistency and select the coefficients to ensure zero stability of the multistep terms. We experimentally demonstrate the superiority of the LMAdam via extensive experimentation on benchmark datasets for training various deep neural networks in three applications.
Learning Laws for Deep Convolutional Neural Networks With Guaranteed Convergence
Sitan Li, Chien Chern Cheah
2026, 13(1): 170-185. doi: 10.1109/JAS.2025.125171
Abstract(1662) HTML (260) PDF(68)
Abstract:
Convolutional neural networks (CNNs) have shown remarkable success across numerous tasks such as image classification, yet the theoretical understanding of their convergence remains underdeveloped compared to their empirical achievements. In this paper, the first filter learning framework with convergence-guaranteed learning laws for end-to-end learning of deep CNNs is proposed. Novel update laws with convergence analysis are formulated based on the mathematical representation of each layer in convolutional neural networks. The proposed learning laws enable concurrent updates of weights across all layers of the deep convolutional neural network and the analysis shows that the training errors converge to certain bounds which are dependent on the approximation errors. Case studies are conducted on benchmark datasets and the results show that the proposed concurrent filter learning framework guarantees the convergence and offers more consistent and reliable results during training with a trade-off in performance compared to stochastic gradient descent methods. This framework represents a significant step towards enhancing the reliability and effectiveness of deep convolutional neural network by developing a theoretical analysis which allows practical implementation of the learning laws with automatic tuning of the learning rate to guarantee the convergence during training.
On the Use of the Nelder-Mead Simplex Method in Control Design and Systems Theory
Laura Menini, Corrado Possieri, Antonio Tornambe
2026, 13(1): 186-204. doi: 10.1109/JAS.2025.125759
Abstract(731) HTML (244) PDF(33)
Abstract:
The Nelder-Mead simplex method is a well-known algorithm enabling the minimization of functions that are not available in closed-form and that need not be differentiable or convex. Furthermore, it is particularly parsimonious on the number of function evaluations, thus making it preferable to convex optimization paradigms in the case, common when dealing with control design problems, that the objective function of the optimization problem is non-differentiable, non-convex, and its closed-form is not available or difficult to be computed analytically. The main goal of this paper is to show how the joint use of the Nelder-Mead simplex method and the Morrison algorithm can be successfully used to solve relevant and challenging control problems that cannot be easily solved using analytic methods. In particular, it is shown how the problems of strong stabilization, static output feedback stabilization, and design of robust controllers having fixed structure can be framed as optimization problems, which, in turn, can be efficiently solved by coupling the two above mentioned algorithms. The performance of this procedure is compared with state-of-the-art techniques on dozens of static output feedback benchmark case studies, and its effectiveness is demonstrated by several examples.
ADAPT: A Model-Free Adaptive Optimal Control for Continuum Robots
Haiyang Fang, Sishen Yuan, Hongliang Ren, Shuping He, Shing Shin Cheng
2026, 13(1): 205-217. doi: 10.1109/JAS.2025.125183
Abstract(1962) HTML (244) PDF(140)
Abstract:
Realizing optimal control performance for continuum robots (CRs) poses huge challenges on traditional model-based optimal control approaches due to their high degrees of freedom, complex nonlinear dynamics and soft continuum morphologies which are difficult to explicitly model. This paper proposes a model-free adaptive optimal control algorithm (ADAPT) for CRs. In our strategy, we consider CRs as a class of nonlinear continuous-time dynamical systems in the state space, wherein the position of the end-effector is considered as the state and the input torque is mapped as the control input. Then, the optimized Hamilton-Jacobi-Bellman (HJB) equation is derived by optimal control principles, and subsequently solved by the proposed ADAPT algorithm without requiring knowledge of the original system dynamics. Under some mild assumptions, the global stability and convergence of the closed-loop control approach are guaranteed. Several simulation experiments are conducted on a magnetic CR (MCR) to demonstrate the practicality and effectiveness of the ADAPT algorithm.
LETTERS
Motion Planning of an Autonomous Underwater Vehicle via the Integrated Design of Detection, Communication and Control
Tianyi Guo, Jing Yan, Xian Yang, Tianyi Zhang, Xinping Guan
2026, 13(1): 218-220. doi: 10.1109/JAS.2025.125543
Abstract(883) HTML (218) PDF(29)
Abstract:
Dual Channel Graph Convolutional Networks via Personalized PageRank
Longlong Lin, Xin Luo
2026, 13(1): 221-223. doi: 10.1109/JAS.2025.125492
Abstract(809) HTML (237) PDF(48)
Abstract:
Efficient Dataset Generation for Stacked Meat Products Instance Segmentation in Food Automation
Hoang Minh Pham, Anh Dong Le, Pablo Malvido-Fresnillo, Saigopal Vasudevan, José L. Martínez Lastra
2026, 13(1): 224-226. doi: 10.1109/JAS.2025.125798
Abstract(1458) HTML (235) PDF(13)
Abstract:
Tensor Low-Rank Orthogonal Compression for Convolutional Neural Networks
Yaping He, Xin Luo
2026, 13(1): 227-229. doi: 10.1109/JAS.2025.125213
Abstract(692) HTML (143) PDF(17)
Abstract:
A Novel Distributed Controller Design for Robust Global Coordination of MASs With Heterogeneous Saturation
Xiaoling Wang, Shengnan Zhu
2026, 13(1): 230-232. doi: 10.1109/JAS.2025.125663
Abstract(631) HTML (175) PDF(18)
Abstract:
Single-Dimensional Encryption Against Stealthy Attacks on Stochastic Event-Based Estimation
Jun Shang, Di Zhao, Hanwen Zhang, Dawei Shi
2026, 13(1): 233-235. doi: 10.1109/JAS.2025.125381
Abstract(603) HTML (212) PDF(21)
Abstract:
Interpretable and Reliable Soft Sensor Development in Industry 5.0
Liang Cao, Jianping Su, Fan Yang, Yankai Cao, Bhushan Gopaluni
2026, 13(1): 236-238. doi: 10.1109/JAS.2025.125420
Abstract(1277) HTML (173) PDF(34)
Abstract: