A journal of IEEE and CAA , publishes high-quality papers in English on original theoretical/experimental research and development in all areas of automation
Volume 13 Issue 1
Jan.  2026

IEEE/CAA Journal of Automatica Sinica

  • JCR Impact Factor: 19.2, Top 1 (SCI Q1)
    CiteScore: 28.2, Top 1% (Q1)
    Google Scholar h5-index: 95, TOP 5
Turn off MathJax
Article Contents
J. Su and Y. Song, “Fault-tolerant control achieving prescribed tracking accuracy within given time for Euler-Lagrange systems under unknown actuation characteristics and fading powering faults,” IEEE/CAA J. Autom. Sinica, vol. 13, no. 1, pp. 72–82, Jan. 2026. doi: 10.1109/JAS.2025.125453
Citation: J. Su and Y. Song, “Fault-tolerant control achieving prescribed tracking accuracy within given time for Euler-Lagrange systems under unknown actuation characteristics and fading powering faults,” IEEE/CAA J. Autom. Sinica, vol. 13, no. 1, pp. 72–82, Jan. 2026. doi: 10.1109/JAS.2025.125453

Fault-Tolerant Control Achieving Prescribed Tracking Accuracy Within Given Time for Euler-Lagrange Systems Under Unknown Actuation Characteristics and Fading Powering Faults

doi: 10.1109/JAS.2025.125453
Funds:  This work was supported in part by the National Natural Science Foundation of China (W2411061, 624B2029), the Graduate Research and Innovation Foundation of Chongqing, China (CYS20069), the Fundamental Research Funds for the Central Universities (2024CDJYXTD-007), and the Natural Science Foundation of Chongqing (CSTB2023NSCQ-LZX0026)
More Information
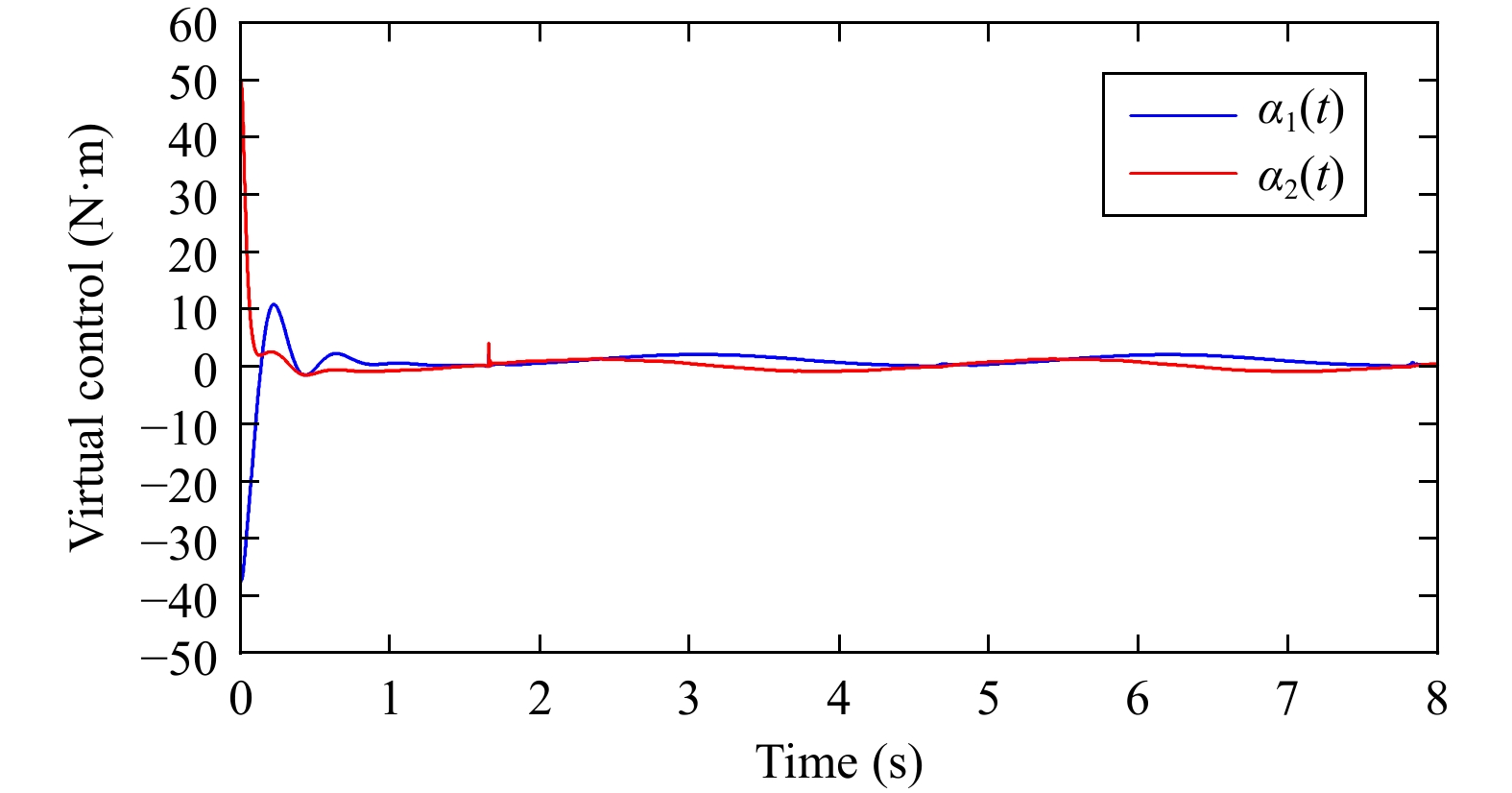
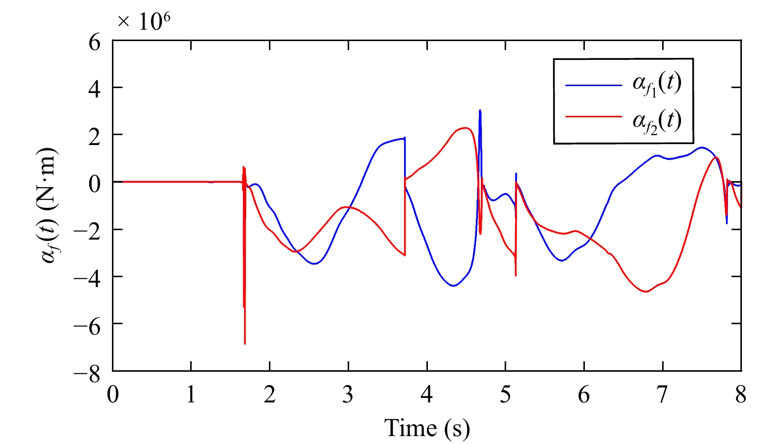
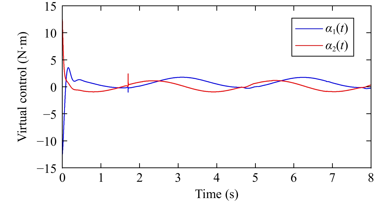
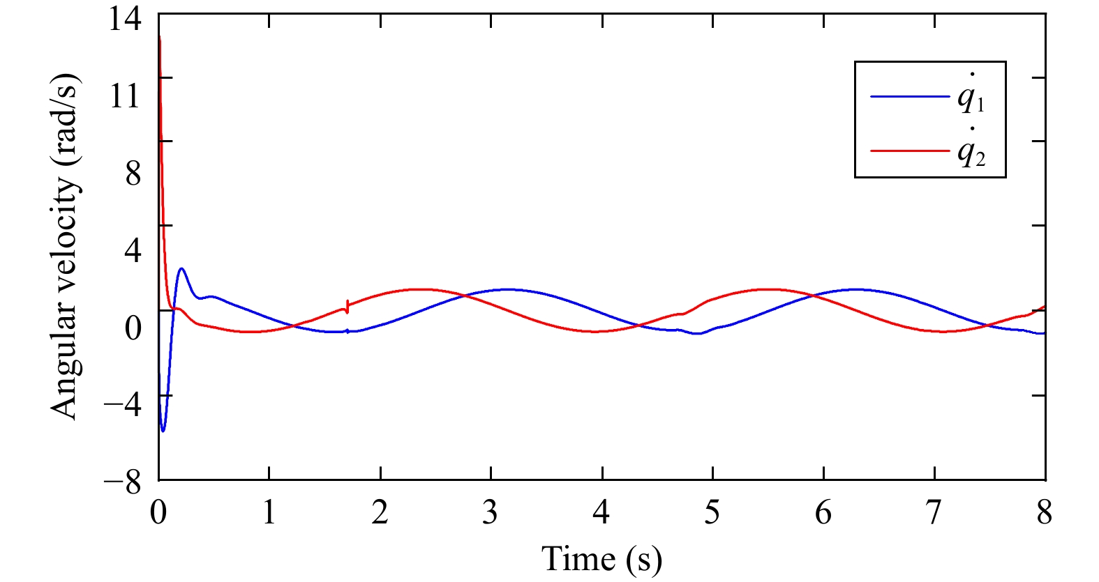
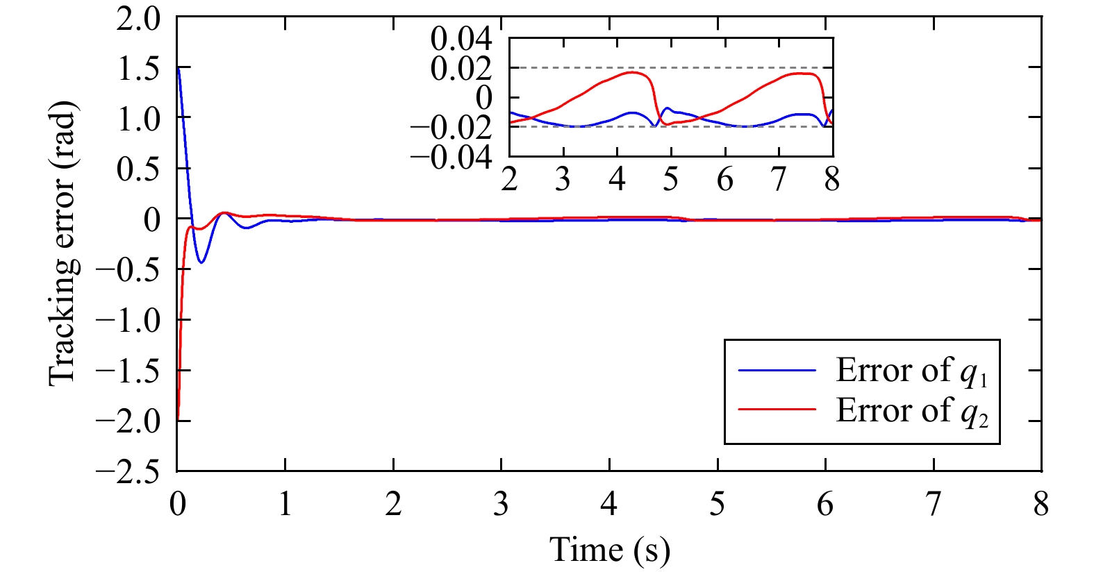
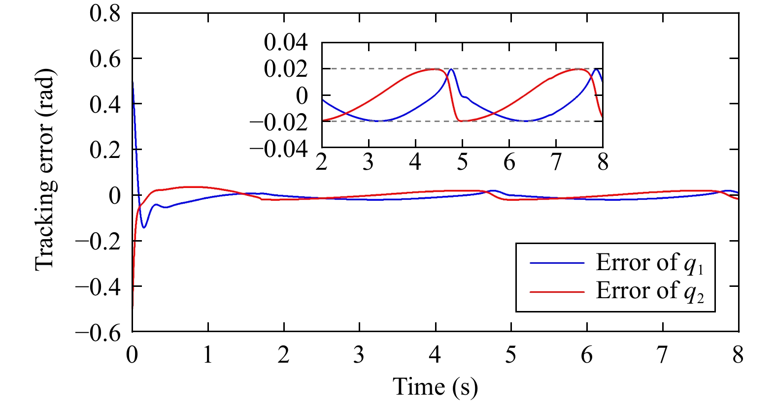
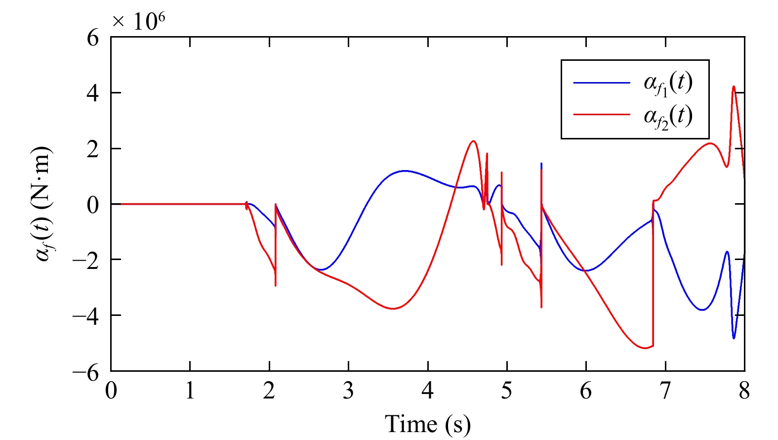
  • This paper proposes a fault-tolerant control scheme for Euler-Lagrange systems that ensures the tracking error decays to a pre-specified accuracy level within a prescribed time period, despite unknown actuation characteristics and potential fading powering faults. By performing deliberately designed coordinate transformations on the tracking error, the complex and demanding problem of “reaching specified precision within a given time” is transformed into a bounded control problem, facilitating the development of the control scheme. To enhance practicality, the design incorporates smooth function fitting and dynamic surface control techniques. Additionally, the proposed control algorithm is robust to faults, effectively handling a combination of fading powering faults and additive actuator faults without requiring additional human intervention. Numerical simulations on a two-link robotic manipulator verify the effectiveness of the proposed control algorithm.

     

  • loading
  • [1]
    A. Loria and H. Nijmeijer, “Bounded output feedback tracking control of fully actuated Euler-Lagrange systems,” Systems and Control Letters, vol. 33, no. 3, pp. 151–161, 1998.
    [2]
    X. Guo, G. Wei, M. Yao, and P. Zhang, “Consensus control for multiple Euler-Lagrange systems based on high-order disturbance observer: An event-triggered approach,” IEEE/CAA J. Autom. Sinica, vol. 9, no. 5, pp. 945–948, 2022. doi: 10.1109/JAS.2022.105584
    [3]
    V. P. Tran, M. A. Mabrok, S. G. Anavatti, M. A. Garratt, and I. R. Petersen, “Robust adaptive fuzzy control for second-order Euler-Lagrange systems with uncertainties and disturbances via nonlinear negative-imaginary systems theory,” IEEE Trans. Cybernetics, vol. 54, no. 9, pp.5102–5114, 2024. doi: 10.1109/TCYB.2024.3365554
    [4]
    C. Qian and W. Lin, “A continuous feedback approach to global strong stabilization of nonlinear systems,” IEEE Trans. Autom. Control, vol. 46, no. 7, pp. 1061–1079, 2001. doi: 10.1109/9.935058
    [5]
    E. Cruz-Zavala, E. Nuño, and J. A. Moreno, “On the finite-time regulation of Euler-Lagrange systems without velocity measurements,” IEEE Trans. Autom. Control, vol. 63, no. 12, pp. 4309–4316, 2018. doi: 10.1109/TAC.2018.2817232
    [6]
    Z. Feng, G. Hu, X. Dong, and J. Lü, “Settling-time estimation for finite-time connectivity-preserving rendezvous of networked uncertain Euler-Lagrange systems,” IEEE Trans. Systems, Man, and Cybernetics: Systems, vol. 54, no. 3, pp. 1527–1540, 2024. doi: 10.1109/TSMC.2023.3327391
    [7]
    Z. Liu, C. Wu, X. Shen, W. Yao, J. Liu, and L. Wu, “Adaptive interval type-2 fuzzy neural network-based novel fixed-time backstepping control for uncertain Euler-Lagrange systems,” IEEE Trans. Fuzzy Systems, vol. 32, no. 5, pp. 2966–2975, 2024. doi: 10.1109/TFUZZ.2024.3365072
    [8]
    T. Xu, Z. Duan, Z. Sun, and G. Chen, “Distributed fixed-time coordination control for networked multiple Euler-Lagrange systems,” IEEE Trans. Cybernetics, vol. 52, no. 6, pp. 4611–4622, 2022. doi: 10.1109/TCYB.2020.3031887
    [9]
    L. Ma and F. Zhu, “Fixed-time-synchronized bipartite time-varying formation tracking control of networked Euler-Lagrange systems,” IEEE Trans. Automation Science and Engineering, vol. 22, pp. 3458−3469, 2025. doi: 10.1109/TASE.2024.3395325
    [10]
    Y. Song, H. Ye, and F. L. Lewis, “Prescribed-time control and its latest developments,” IEEE Trans. Systems, Man, and Cybernetics: Systems, vol. 53, no. 7, pp. 4102–4116, 2023. doi: 10.1109/TSMC.2023.3240751
    [11]
    P. Zarchan, Tactical and Strategic Missile Guidance: An Introduction. Reston, VA, USA: American Institute of Aeronautics and Astronautics, 7th ed., 2019.
    [12]
    Y. Song, Y. Wang, J. Holloway, and M. Krstic, “Time-varying feedback for regulation of normal-form nonlinear systems in prescribed finite time,” Automatica, vol. 83, pp. 243–251, 2017. doi: 10.1016/j.automatica.2017.06.008
    [13]
    W. Li and M. Krstic, “Prescribed-time mean-nonovershooting control under finite-time vanishing noise,” SIAM J. Control and Optimization, vol. 61, no. 3, pp. 1187–1212, 2023. doi: 10.1137/22M1471171
    [14]
    J. Zhang, C. Hua, X. Luo, and P. Ning, “An output feedback approach for 3-D prescribed time stabilization control of unmanned underwater vehicles,” IEEE Trans. Industrial Electronics, vol. 71, no. 8, pp. 9580–9589, 2024. doi: 10.1109/TIE.2023.3327518
    [15]
    Y. Lei, Y.-W. Wang, X.-K. Liu, and W. Yang, “Prescribed-time stabilization of singularly perturbed systems,” IEEE/CAA J. Autom. Sinica, vol. 10, no. 2, pp. 569–571, 2023. doi: 10.1109/JAS.2023.123246
    [16]
    D. Efimov and Y. Orlov, “Discretization of prescribed-time observers in the presence of noises and perturbations,” Systems and Control Letters, vol. 188, p. 105820, 2024.
    [17]
    C. Liu and Y. Liu, “Conditions and synthesis of adaptive prescribed-time controllers,” IEEE Trans. Autom. Control, vol. 68, no. 12, pp. 8005–8012, 2023. doi: 10.1109/TAC.2023.3254371
    [18]
    L. Xue, J. Ye, Y. Wu, J. Liu, and D. C. Wunsch, “Prescribed-time Nash equilibrium seeking for pursuit-evasion game,” IEEE/CAA J. Autom. Sinica, vol. 11, no. 6, pp. 1518–1520, 2024. doi: 10.1109/JAS.2023.124077
    [19]
    L.-J. Chen, B. Xiao, T. Han, and H. Yan, “Multiple time-varying formation tracking of multiple heterogeneous Euler-Lagrange systems via prescribed-time hierarchical control algorithms in task space,” Nonlinear Dynamics, vol. 112, pp. 3643–3659, 2024. doi: 10.1007/s11071-023-09212-0
    [20]
    A. Shakouri and N. Assadian, “Prescribed-time control for perturbed Euler-Lagrange systems with obstacle avoidance,” IEEE Trans. Autom. Control, vol. 67, no. 7, pp. 3754–3761, 2022. doi: 10.1109/TAC.2021.3106882
    [21]
    J. Pan, T. Han, B. Xiao, and H. Yan, “Hierarchical prescribed-time bipartite consensus for multiple Euler-Lagrange systems with input-to-output redundancy and directed matrix-weighted signed graph,” ISA Transactions, vol. 143, pp. 349–359, 2023. doi: 10.1016/j.isatra.2023.09.031
    [22]
    P. Krishnamurthy, F. Khorrami, and M. Krstic, “A dynamic high-gain design for prescribed-time regulation of nonlinear systems,” Automatica, vol. 115, p. 108860, 2020. doi: 10.1016/j.automatica.2020.108860
    [23]
    R. Aldana-López, R. Seeber, H. Haimovich, and D. Gómez-Gutiérrez, “On inherent limitations in robustness and performance for a class of prescribed-time algorithms,” Automatica, vol. 158, p. 111284, 2023. doi: 10.1016/j.automatica.2023.111284
    [24]
    Y. Cao, J. Cao, and Y. Song, “Practical prescribed time tracking control over infinite time interval involving mismatched uncertainties and non-vanishing disturbances,” Automatica, vol. 136, p. 110050, 2022. doi: 10.1016/j.automatica.2021.110050
    [25]
    K. Zhang, B. Zhou, M. Hou, and G.-R. Duan, “Practical prescribed-time stabilization of a class of nonlinear systems by event-triggered and self-triggered control,” IEEE Trans. Autom. Control, vol. 69, no. 5, pp. 3426–3433, 2024. doi: 10.1109/TAC.2023.3338749
    [26]
    D. Luo, Y. Wang, and Y. Song, “Practical prescribed time tracking control with bounded time-varying gain under non-vanishing uncertainties,” IEEE/CAA J. Autom. Sinica, vol. 11, no. 1, pp. 219–230, 2024. doi: 10.1109/JAS.2023.123738
    [27]
    Y. Cao, J. Cao, and Y. Song, “Practical prescribed time control of Euler-Lagrange systems with partial/full state constraints: A settling time regulator-based approach,” IEEE Trans. Cybernetics, vol. 52, no. 12, pp. 13096–13105, 2022. doi: 10.1109/TCYB.2021.3100764
    [28]
    Q. Cui, H. Cao, Y. Wang, and Y. Song, “Prescribed time tracking control of constrained Euler-Lagrange systems: An adaptive proportional-integral solution,” Int. J. Robust and Nonlinear Control, vol. 32, no. 18, pp. 9723–9741, 2022. doi: 10.1002/rnc.5542
    [29]
    G. Zhu and J. Du, “Robust adaptive neural practical fixed-time tracking control for uncertain Euler-Lagrange systems under input saturations,” Neurocomputing, vol. 412, pp. 502–513, 2020. doi: 10.1016/j.neucom.2020.05.057
    [30]
    K. Shao, R. Tang, F. Xu, X. Wang, and J. Zheng, “Adaptive sliding mode control for uncertain Euler-Lagrange systems with input saturation,” J. Franklin Institute, vol. 358, no. 16, pp. 8356–8376, 2021. doi: 10.1016/j.jfranklin.2021.08.027
    [31]
    G. Shao, X.-F. Wang, and R. Wang, “A distributed strategy for games in Euler-Lagrange systems with actuator dead zone,” Neurocomputing, vol. 560, p. 126844, 2023. doi: 10.1016/j.neucom.2023.126844
    [32]
    C. Li, L. Chen, Y. Guo, and G. Ma, “Formation-containment control for networked Euler-Lagrange systems with input saturation,” Nonlinear Dynamics, vol. 91, pp. 1307–1320, 2018. doi: 10.1007/s11071-017-3946-7
    [33]
    Y. Hu, H. Yan, M. Wang, X. Hu, and Z. Li, “Fuzzy observer-based input/output event-triggered control for Euler-Lagrange systems with guaranteed performance and input saturation,” IEEE Trans. Fuzzy Systems, vol. 32, no. 4, pp. 2077–2088, 2024. doi: 10.1109/TFUZZ.2023.3338466
    [34]
    M. Wang, S. Zhu, M. Shen, X. Liu, and S. Wen, “Fault-tolerant synchronization for memristive neural networks with multiple actuator failures,” IEEE Trans. Cybernetics, vol. 54, no. 9, pp.5092–5101, 2024. doi: 10.1109/TCYB.2024.3363470
    [35]
    G. Tao, S. Chen, and S. M. Joshi, “An adaptive control scheme for systems with unknown actuator failures,” Automatica, vol. 38, no. 6, pp. 1027–1034, 2002. doi: 10.1016/S0005-1098(02)00018-3
    [36]
    G. Chen, Y. Song, and F. L. Lewis, “Distributed fault-tolerant control of networked uncertain Euler-Lagrange systems under actuator faults,” IEEE Trans. Cybernetics, vol. 47, no. 7, pp. 1706–1718, 2017. doi: 10.1109/TCYB.2016.2555339
    [37]
    J.-X. Zhang and G.-H. Yang, “Fault-tolerant output-constrained control of unknown Euler-Lagrange systems with prescribed tracking accuracy,” Automatica, vol. 111, p. 108606, 2020. doi: 10.1016/j.automatica.2019.108606
    [38]
    Y. Hu, H. Yan, Y. Zhang, H. Zhang, and Y. Chang, “Event-triggered prescribed performance fuzzy fault-tolerant control for unknown Euler-Lagrange systems with any bounded initial values,” IEEE Trans. Fuzzy Systems, vol. 31, no. 6, pp. 2065–2075, 2023. doi: 10.1109/TFUZZ.2022.3218847
    [39]
    Z. Gao and Y. Wang, “Neuroadaptive fault-tolerant control with guaranteed performance for Euler-Lagrange systems under dying power faults,” IEEE Trans. Neural Networks and Learning Systems, vol. 34, no. 12, pp. 10447–10457, 2023. doi: 10.1109/TNNLS.2022.3166963
    [40]
    C. Wen, J. Zhou, Z. Liu, and H. Su, “Robust adaptive control of uncertain nonlinear systems in the presence of input saturation and external disturbance,” IEEE Trans. Autom. Control, vol. 56, no. 7, pp. 1672–1678, 2011. doi: 10.1109/TAC.2011.2122730
    [41]
    Y. Song, J. Guo, and X. Huang, “Smooth neuroadaptive PI tracking control of nonlinear systems with unknown and nonsmooth actuation characteristics,” IEEE Trans. Neural Networks and Learning Systems, vol. 28, no. 9, pp. 2183–2195, 2017.
    [42]
    Y. Song, Z. Shen, L. He, and X. Huang, “Neuroadaptive control of strict feedback systems with full-state constraints and unknown actuation characteristics: An inexpensive solution,” IEEE Trans. Cybernetics, vol. 48, no. 11, pp. 3126–3134, 2018. doi: 10.1109/TCYB.2017.2759498
    [43]
    H. K. Khalil, Nonlinear Systems. Upper Saddle River, New Jersey, USA: Prentice Hall, 3rd ed., 2002.

Catalog

    通讯作者: 陈斌, bchen63@163.com
    • 1. 

      沈阳化工大学材料科学与工程学院 沈阳 110142

    1. 本站搜索
    2. 百度学术搜索
    3. 万方数据库搜索
    4. CNKI搜索

    Figures(16)

    Article Metrics

    Article views (454) PDF downloads(54) Cited by()

    /

    DownLoad:  Full-Size Img  PowerPoint
    Return
    Return