A journal of IEEE and CAA , publishes high-quality papers in English on original theoretical/experimental research and development in all areas of automation

Vol. 13,  No. 3, 2026

Display Method:
REVIEWS
Datasets, Metrics, Benchmarks and Future Research in Autonomous Driving: A Review
Yuchen Li, Siyu Teng, Zizhang Wu, Junhui Wang, Mingyu Liu, Zhe Xuanyuan, Long Chen
2026, 13(3): 501-520. doi: 10.1109/JAS.2025.125957
Abstract(1288) HTML (207) PDF(137)
Abstract:
Data-driven autonomous driving is a hot topic in academic and industry research due to its impressive performance, flexible mobility, and reduced human intervention. However, the development of this technology relies heavily on large datasets that contain accurately annotated data, obtained through artificial or semi-automated strategies. Consequently, datasets play a crucial role in autonomous driving, and their characteristics significantly impact the effectiveness of algorithms. Currently, there are several diverse datasets available, such as KITTI and CityScape, that cover various tasks. However, researchers often overlook the unique features, similarities, and specificities of these datasets. Furthermore, to the best of our knowledge, there is a lack of survey articles focusing on special metrics and benchmark performance on different datasets in autonomous driving. Therefore, the purpose of this article is to analyze autonomous driving datasets, guide researchers on collecting and utilizing relevant datasets, summarize evaluation strategies, analyze benchmark performance, and provide future research points to enrich the autonomous driving community. We believe that this work will assist researchers in evaluating their data using suitable metrics and offer a fresh perspective on autonomous driving.
A Survey on Rough Feature Selection: Recent Advances and Challenges
Keyu Liu, Xibei Yang, Weiping Ding, Hengrong Ju, Tianrui Li, Jie Wang, Tengyu Yin
2026, 13(3): 521-542. doi: 10.1109/JAS.2025.125231
Abstract(2776) HTML (131) PDF(421)
Abstract:
Advances in data acquisition and accumulation on a massive scale are fueling “the curse of dimensionality” which may deteriorate the generalization performance of machine learning models. Such a dilemma gives birth to the technique of feature selection excelling in the presence of high-dimensional data. As a specific method based on rough set theory, rough feature selection (RFS) has been widely concerned and fruitfully applied. In this survey, we provide a comprehensive review of RFS algorithms that have proliferated in recent years. Firstly, we briefly introduce some typical rough set models especially neighborhood rough set and fuzzy rough set, as well as representative rough feature evaluation criteria. We then systematically discuss several emerging topics of RFS including accelerated, ensemble, incremental, label ambiguous, weakly-supervised, and multi-granularity RFS. Additionally, we illuminate the regular performance validation scheme of RFS and conduct a number of experiments to present benchmarking results of state-of-the-art RFS algorithms. Finally, we summarize the pros and cons of existing research efforts and outline the open challenges and opportunities of class imbalance, multi-modal scenario, causality inference, and high-level representation for RFS. By providing in-depth knowledge of RFS, we anticipate this survey will: 1) serve as a guidebook for newcomers intending to delve into RFS and a stepping-stone for researchers and practitioners to solve domain-specific problems; 2) gain insights into the state-of-the-art published findings, triggering a series of breakthroughs in RFS; 3) underscore some challenges ahead of RFS, directing future efforts toward punctuating advances beyond questions currently pursued.
PAPERS
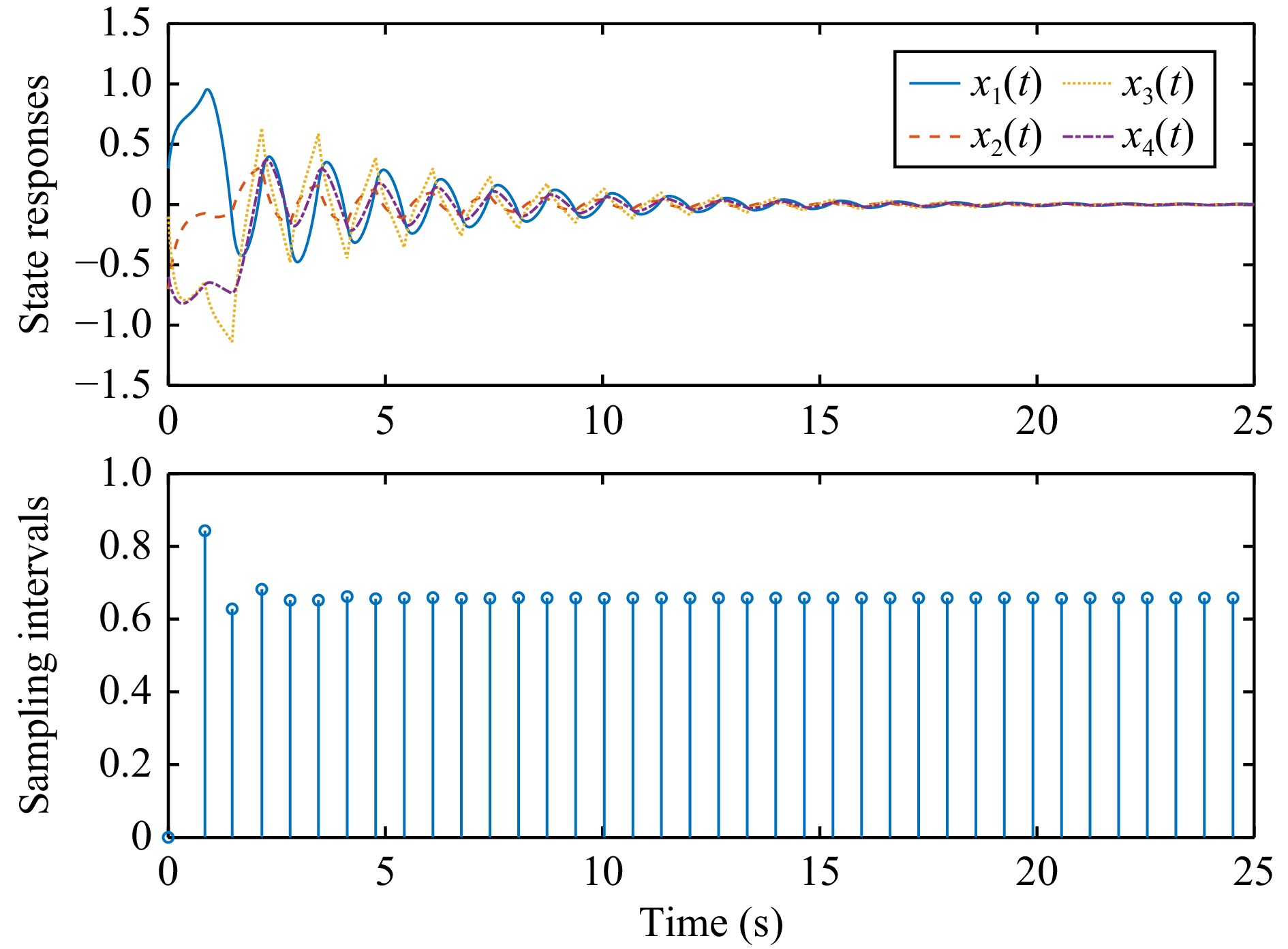
Data-Driven Event-Triggered Control Dealing With Noisy Data
Xian-Ming Zhang, Qing-Long Han, Xiaohua Ge
2026, 13(3): 543-554. doi: 10.1109/JAS.2026.125867
Abstract(861) HTML (180) PDF(130)
Abstract:
This paper is concerned with event-triggered control that deals with noisy data for both discrete-time and continuous-time linear systems with unknown system matrices. First, based on a sufficiently rich finite set of noisy data collected in an experiment, the pair of system matrices is represented as a data-based nominal matrix plus an uncertain matrix with a bounded norm. This formulation enables classical robust control techniques to be applied to tackle the robust control problem. Second, for discrete-time systems, a novel event-triggering condition is proposed, by which an event is triggered if the sum of the squares of the weighted error exceeds the square of the weighted state from the previous event. For continuous-time systems, the event-triggering condition is devised as a monotonically increasing function that starts with a negative value and triggers an event when it reaches zero. This condition can exclude the so-called Zeno behaviour due to its monotonic increase property. Third, by employing a looped functional method, several criteria are derived to co-design suitable state feedback controllers and event-triggering parameters for the systems under study. Finally, the effectiveness of the proposed method is demonstrated through a case study involving a batch reactor system.
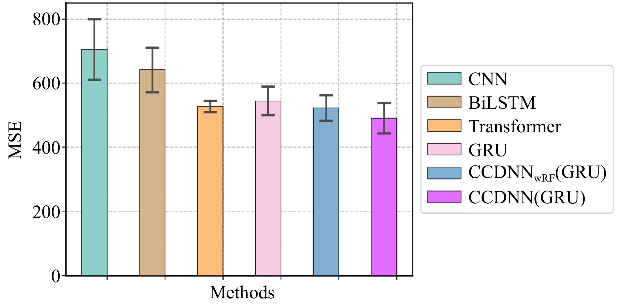
CCDNN: A Novel Deep Learning Architecture for Multi-Source Data Fusion
Zhiwen Chen, Siwen Mo, Haobin Ke, Steven X. Ding, Zhaohui Jiang, Chunhua Yang, Weihua Gui
2026, 13(3): 555-567. doi: 10.1109/JAS.2025.125411
Abstract(820) HTML (293) PDF(71)
Abstract:
With the rapid development of Industrial 4.0 and Industrial Internet of Things, the data collection with multi-source has significantly improved. How to effectively fuse these data for various engineering applications is still an open and challenge issue. To this end, we propose the canonical correlation guided deep neural network (CCDNN), a novel deep learning architecture, to learn a correlated representation for multi-source data fusion. Unlike the linear canonical correlation analysis (CCA), kernel CCA and deep CCA, in the proposed method, the optimization formulation is not restricted to maximize correlation, instead we make canonical correlation as a constraint, which preserves the correlated representation learning ability and focuses more on the engineering tasks endowed by optimization formulation, such as reconstruction, classification and prediction. Furthermore, to reduce the redundancy induced by correlation, a redundancy filter is designed. We illustrate its data fusion ability via correlated representation learning and superior performance on various engineering tasks. In experiments on MNIST dataset, the results show that CCDNN has better reconstruction performance in terms of mean squared error and mean absolute error than deep CCA and deep canonically correlated autoencoders (DCCAE). Also, we present the application of the proposed network to industrial fault diagnosis and remaining useful life cases for the classification and prediction tasks accordingly. The proposed method demonstrates approving performance in both tasks when compared to existing methods. Extension of CCDNN to much more deeper with the aid of residual connection is also presented in Appendix.
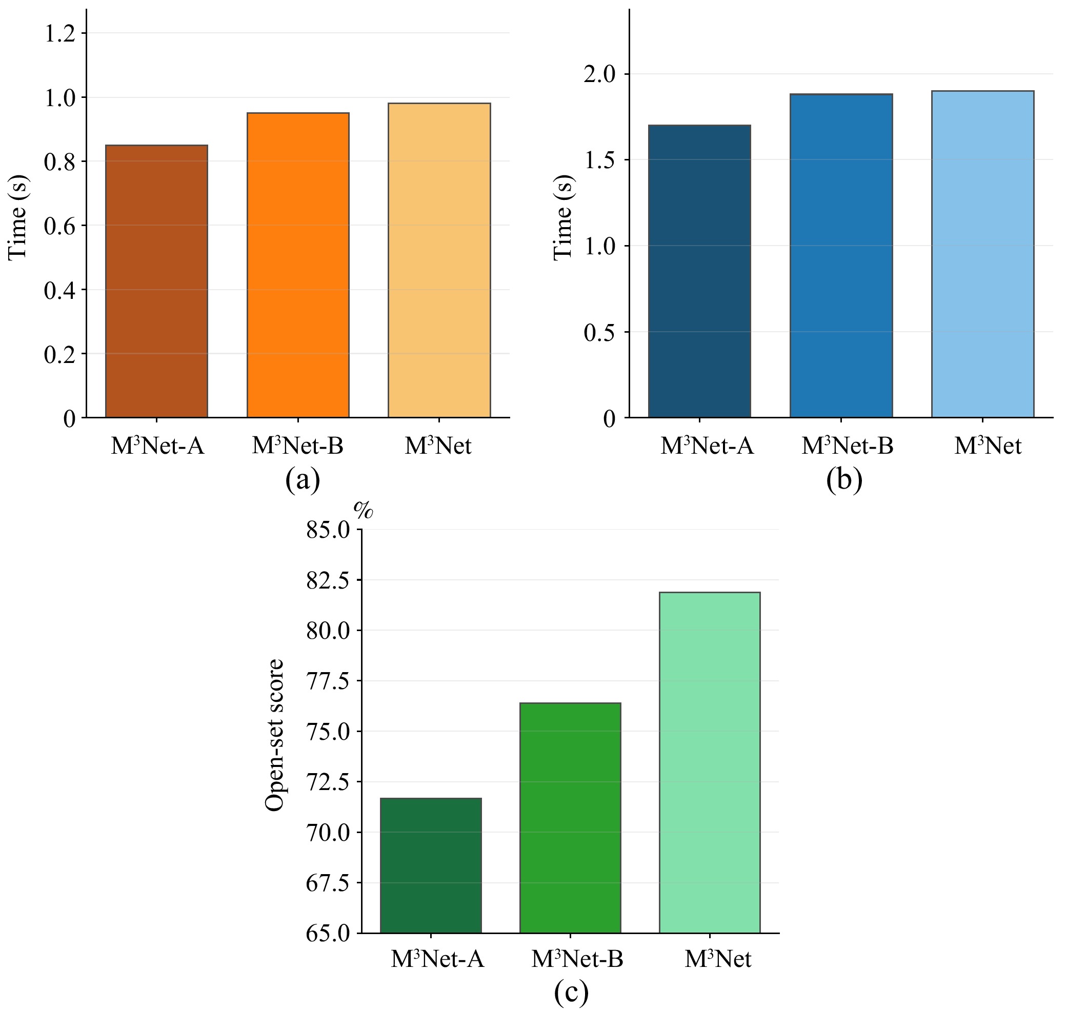
M3Net: Meta-Reinforcement Learning-Based Open-Set Domain Generalization of Hyperspectral Image Classification Model
Yuhu Cheng, Wei Zhang, C. L. Philip Chen, Xuesong Wang
2026, 13(3): 568-585. doi: 10.1109/JAS.2025.125981
Abstract(651) HTML (203) PDF(36)
Abstract:
Hyperspectral image (HSI) classification models face dual challenges in open-set domain generalization: limited generalization ability due to unseen-domain shifts, and the need for unknown class recognition that breaks the closed-set assumption of traditional models. To address these challenges, we propose the Markov meta-Mamba network (M3Net), which provides a meta-reinforcement learning-based solution for open-set domain generalization of HSI classification model. Specifically, a meta-task construction mechanism is proposed, treating source-domain background pixels as virtual unknown classes to simulate open-set HSI classification tasks during training, thereby providing task support for meta-reinforcement learning. Then, the open-set HSI classification task is reconstructed as a Markov decision process. By leveraging reinforcement learning’s multi-step temporal credit assignment, non-causal factor sensitivity is suppressed, improving the model’s cross-domain generalization performance. Finally, the theoretical linkage between Mamba and meta-learning is established, demonstrating that Mamba inherently operates as a meta-learner when processing task sequences. Building on this, a Mamba-based meta-task embedding framework is designed, where shared meta-parameters and task-specific parameters are jointly optimized to achieve cross-task knowledge induction across open-set HSI classification tasks, thereby enhancing the model’s generalization capability for unseen open-set tasks. Experiments on three cross-domain hyperspectral image datasets show that M3Net has achieved the most competitive performance in the open-set domain generalization.
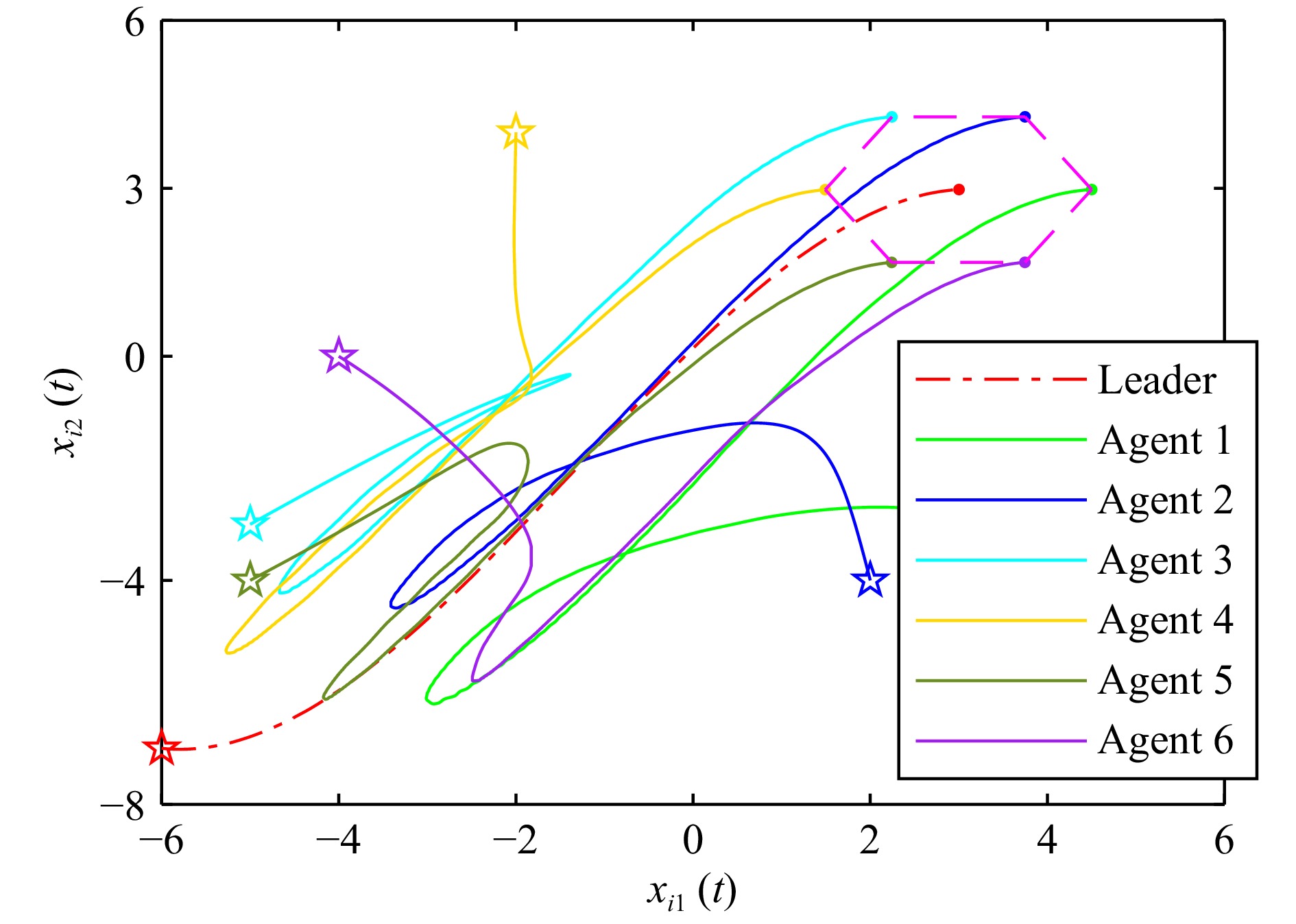
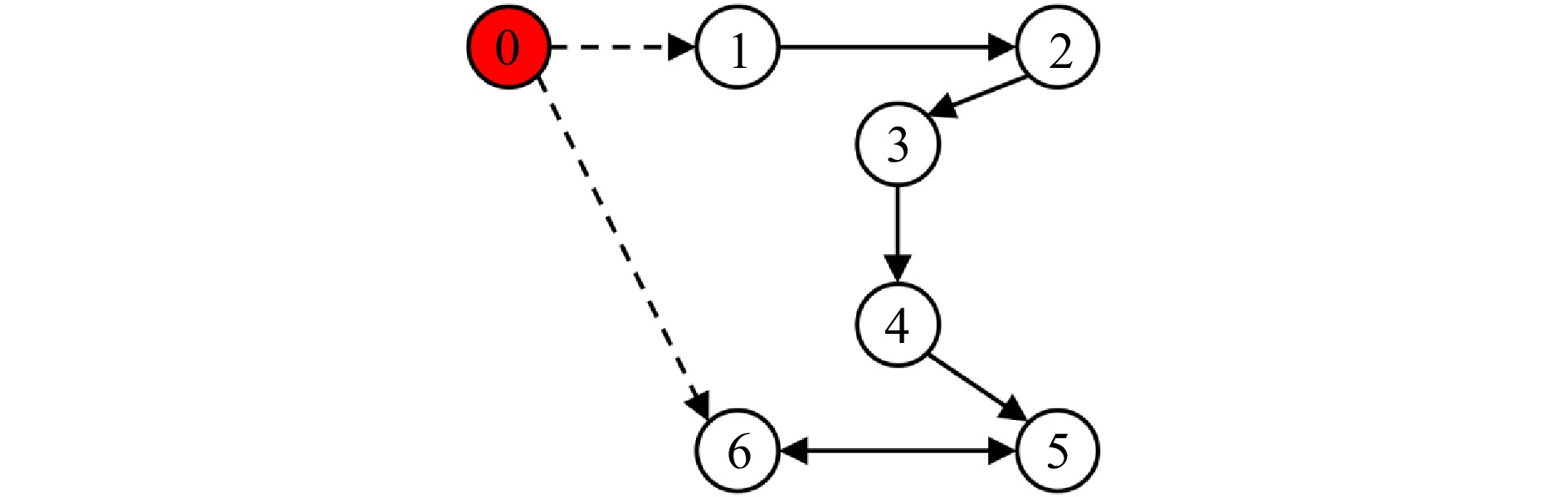
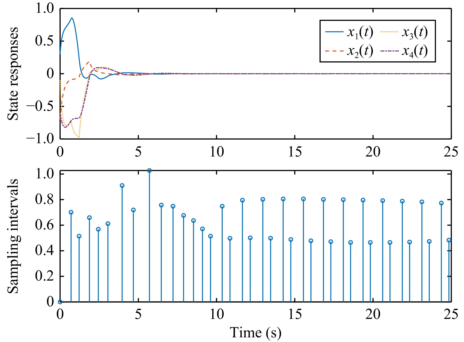
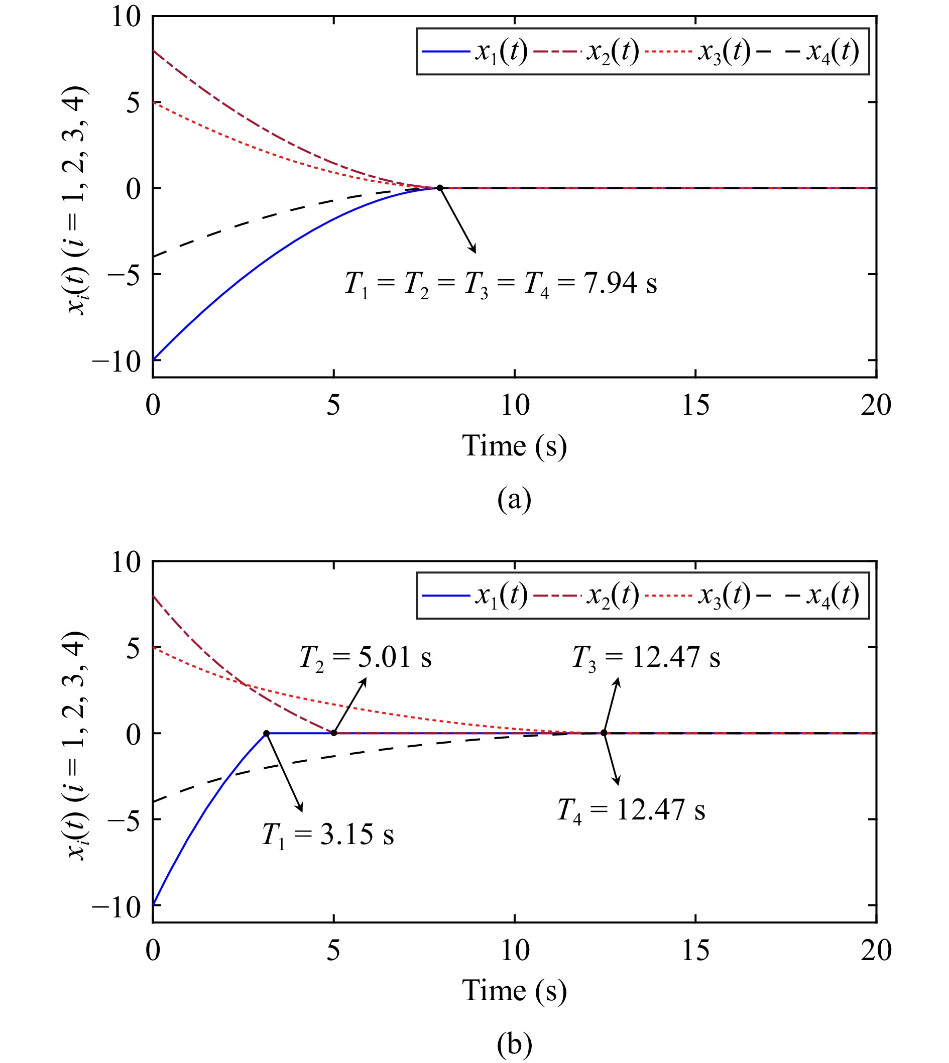
Prescribed-Time Formation Control for Multi-Agent Systems With Uncertain Nonlinear Dynamics and Non-Vanishing Random Disturbances
Jie Su, Yongduan Song
2026, 13(3): 586-596. doi: 10.1109/JAS.2026.125714
Abstract(1026) HTML (174) PDF(120)
Abstract:
This paper investigates the problem of prescribed-time formation control for multi-agent systems with directed communication topology, uncertain nonlinear dynamics, and non-vanishing random disturbances. To drive the formation error to zero within a prescribed time, a novel prescribed-time control lemma is developed. A distributed observer is designed to allow each follower to accurately estimate the leader’s states within the prescribed time. Building on this, an observer-based prescribed-time formation control algorithm is proposed. The algorithm ensures that a disordered group of autonomous agents achieves the desired formation with zero error within the prescribed time, despite the presence of uncertain nonlinear dynamics and non-vanishing random disturbances. The prescribed time is arbitrarily predetermined a priori and independent of the agents’ initial configurations and any other control parameters. Mathematically, the stability of the proposed control scheme is rigorously proven, where all observer and closed-loop system signals are bounded. Numerical simulations confirm the effectiveness of the proposed formation scheme.
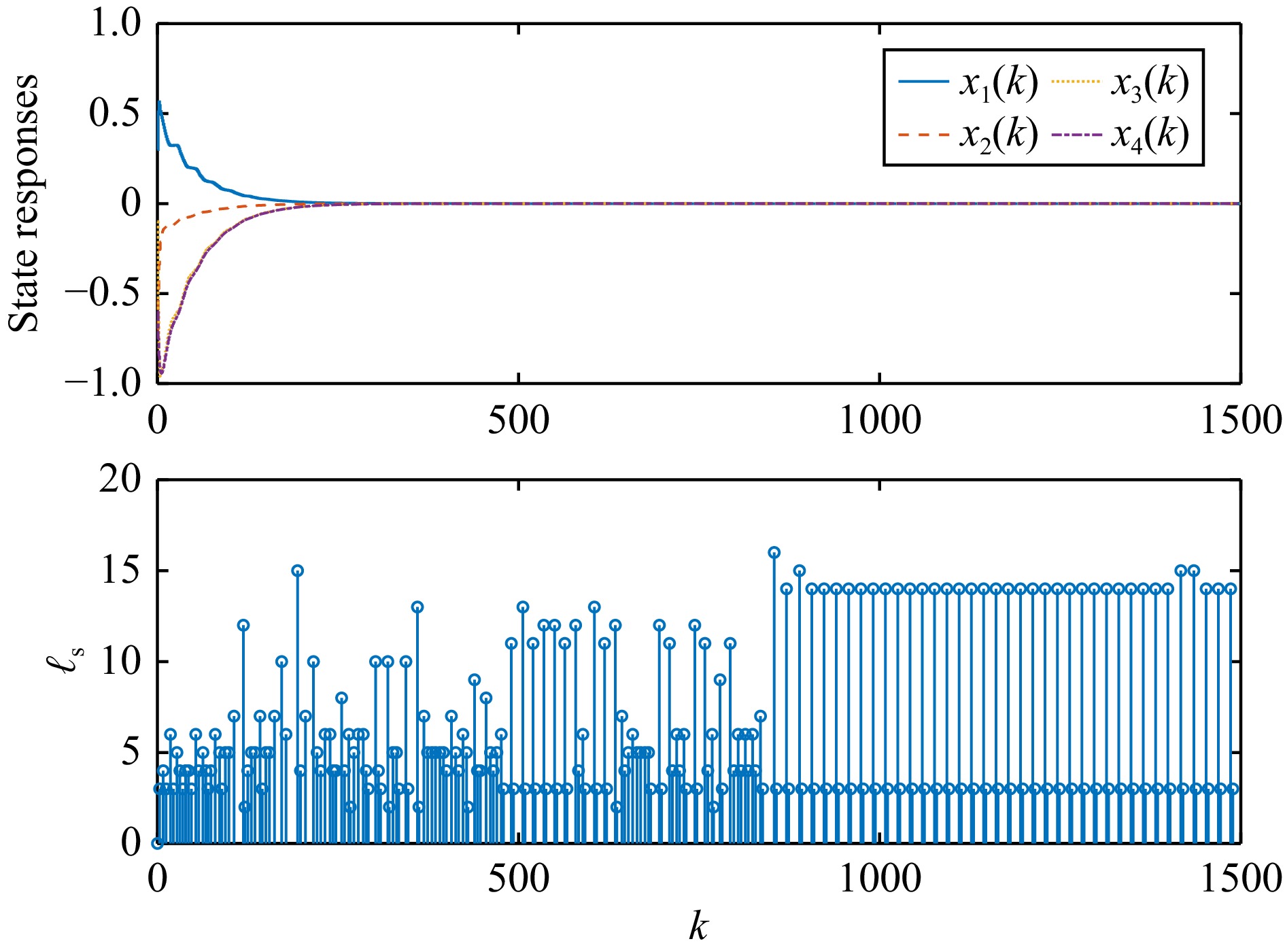
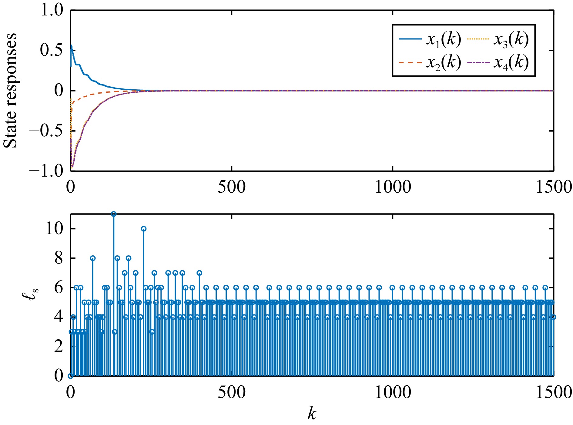
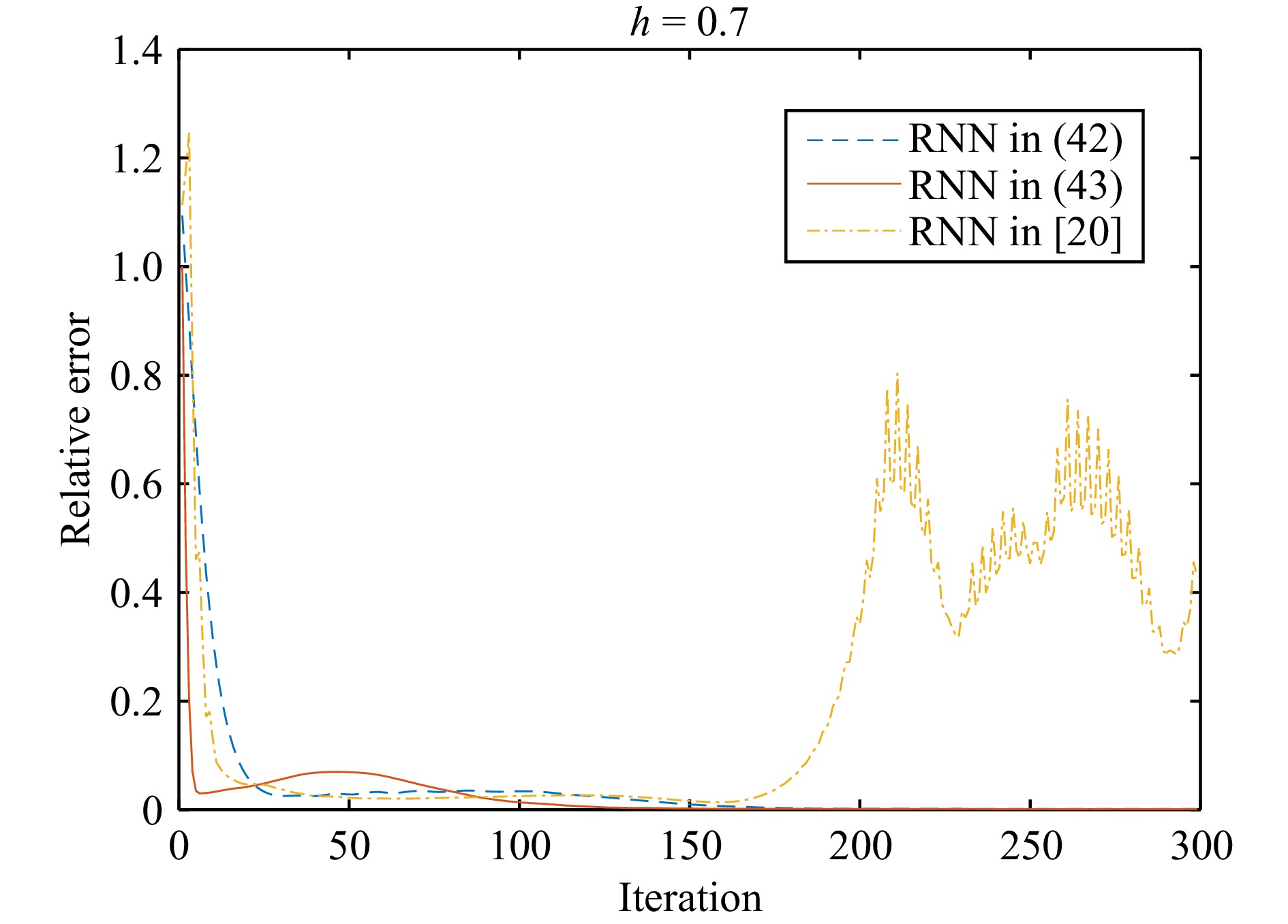
Analysis and Application of a Discrete-Time Neurodynamic Approach for Fast Constrained l1-Norm Minimization
Youshen Xia, Jun Wang, Changyin Sun
2026, 13(3): 597-610. doi: 10.1109/JAS.2026.125729
Abstract(438) HTML (124) PDF(47)
Abstract:
Discrete-time neurodynamic approaches (also called recurrent neural networks (RNNs)) are easily implemented on software and simulated on digital circuits. First, this paper proposes two modified discrete-time RNNs for quickly dealing with constrained $l_1$-norm minimization problems. Next, the two modified discrete-time RNNs are proven to be globally convergent to an optimal solution under a large step size. Finally, we apply the obtained results for image recovery. Two convergent discrete-time RNN based algorithms for non-blind image restoration are presented. Due to having a low complexity, the two discrete-time RNNs are more computationally efficient than the existing discrete-time RNN for image restoration. Computed results with application examples show that the two discrete-time RNN-based algorithms are indeed superior to the existing discrete-time RNN-based algorithms with regards to computation time.
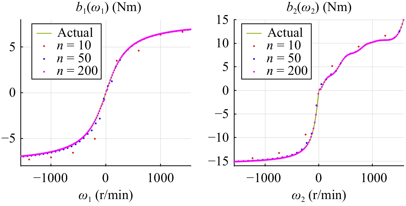
Nonlinear Frictions Identification in Time-Variant Automotive Systems
Davide Tebaldi, Roberto Zanasi
2026, 13(3): 611-619. doi: 10.1109/JAS.2025.125294
Abstract(796) HTML (195) PDF(42)
Abstract:
In this paper, the problem of nonlinear frictions identification in a class of nonlinear systems embedding different automotive case studies is addressed. The power-oriented modeling of the system dynamics is first addressed. Next, the identification of the nonlinear friction coefficients representing the system losses, which can have different symmetric or asymmetric characteristics, is addressed using a parabolic interpolation. To show the versatility of the procedure, two automotive physical systems composing the vehicle powertrain are considered as case studies for the identification, namely a Full Toroidal Variator and a Gearbox. The novelty of this work consists of the proposal of a general approach to model nonlinear frictions in a wide class of automotive systems, and in their identification using the proposed least-square-based algorithm. With reference to the latter, we also provide a necessary condition to avoid the rank deficiency problem and considerations about how to increase the identification accuracy.
Crafting Physical Adversarial Examples by Combining Differentiable and Physically Based Renders
Yuqiu Liu, Huanqian Yan, Xiaopei Zhu, Xiaolin Hu, Liang Tang, Hang Su, Chen Lv
2026, 13(3): 620-632. doi: 10.1109/JAS.2025.125438
Abstract(559) HTML (175) PDF(29)
Abstract:
Recently, we have witnessed progress in hiding road vehicles against object detectors through adversarial camouflage in the digital world. The extension of this technique to the physical world is crucial for testing the robustness of autonomous driving systems. However, existing methods do not show good performances when applied to the physical world. This is partly due to insufficient photorealism in training examples, and lack of proper physical realization methods for camouflage. To generate a robust adversarial camouflage suitable for real vehicles, we propose a novel method called physical adversarial vehicle camouflage (PAV-Camou). We propose to adjust the mapping from the coordinates in the 2D map to those of corresponding 3D model. This process is critical for mitigating texture distortion and ensuring the camouflage’s effectiveness when applied in the real world. Then we combine two renderers with different characteristics to obtain adversarial examples that are photorealistic and closely mimic real-world lighting and texture properties. The method ensures that the generated textures remain effective under diverse environmental conditions. Our adversarial camouflage can be optimized and printed in the form of 2D patterns, allowing for direct application on real vehicles. Extensive experiments demonstrated that our proposed method achieved good performance in both the digital world and the physical world.
Deep Fuzzy C-Means Clustering in a Federated Heterogeneous Scenario
Longmei Li, Wei Lu, Witold Pedrycz
2026, 13(3): 633-646. doi: 10.1109/JAS.2025.125561
Abstract(904) HTML (205) PDF(37)
Abstract:
In federated deep Fuzzy C-Means (FCM) clustering, conventional federated averaging (FedAvg) struggles with non-independent and identically distributed (non-IID) data and dynamic device participation, leading to model drift and performance degradation during global aggregation. To address this challenge, we propose FedFCD, a federated deep FCM clustering method featuring a novel aggregation mechanism. FedFCD equips each client with a hybrid architecture comprising a contrastive autoencoder (CtAE) and an FCM network (FCMNet), which collaboratively learn stable low-dimensional embeddings and refine soft clustering assignments iteratively. At the server side, we design a two-phase aggregation strategy integrating Bayesian ensemble learning and knowledge distillation (KD). First, the Bayesian aggregation mechanism probabilistically fuses heterogeneous local models’ inferences into a consensus assignment by treating each client’s model as a candidate hypothesis, thereby constructing a posterior distribution over the global model space through iterative evidence accumulation. Subsequently, dual-source distillation harmonizes pseudo-labels derived from the Bayesian consensus with ground-truth labels from limited shared data, enabling the global model to align its predictions with both semantic anchors and aggregated soft assignments while preserving privacy through distillation loss. Comparative experiments on benchmark datasets demonstrate that FedFCD outperforms baseline methods in clustering accuracy and exhibits enhanced stability under varying conditions, including data heterogeneity, device numbers, and device dropout.
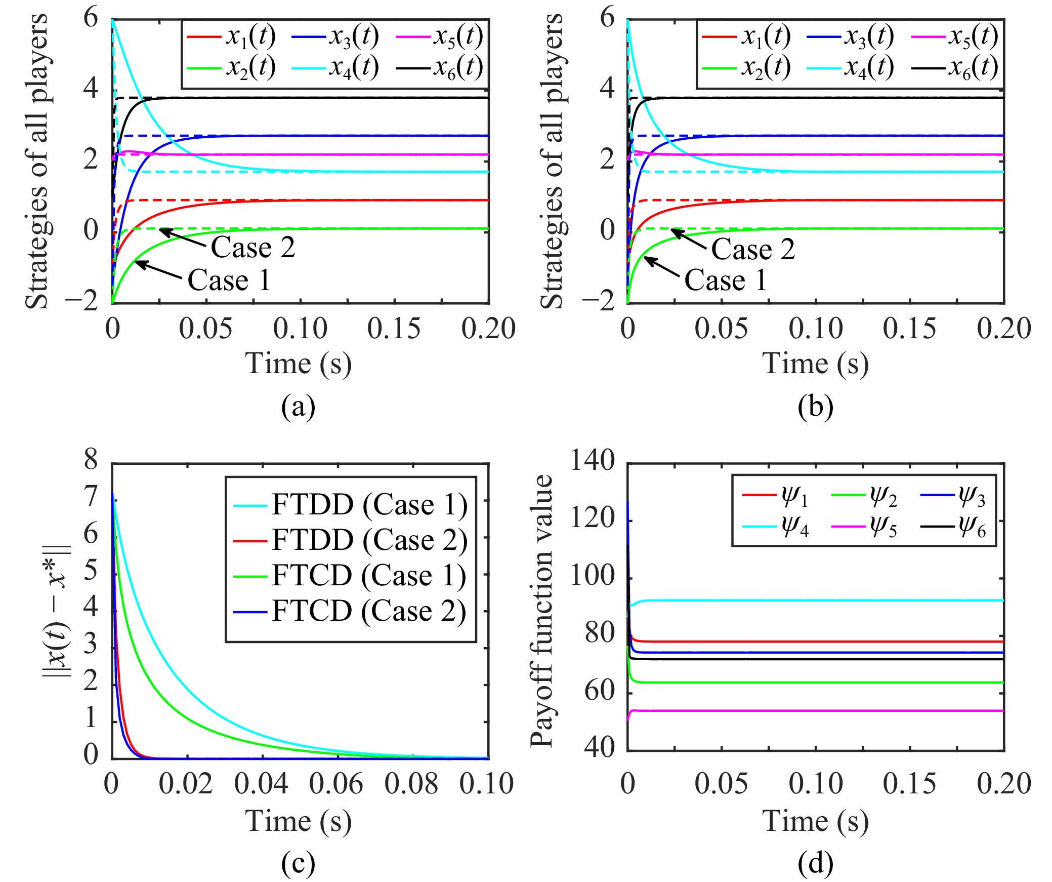
Distributed Generalized Distributionally Robust Equilibrium Seeking for Dynamical Games Under Unknown Time-Varying Interference
Longcheng Liu, Shuai Liu, Yiguang Hong, Lihua Xie, Guangchen Wang
2026, 13(3): 647-664. doi: 10.1109/JAS.2025.125462
Abstract(587) HTML (118) PDF(52)
Abstract:
This paper investigates a distributed generalized Nash equilibrium-seeking problem in stochastic dynamical systems, focusing on two key challenges: 1) nonlinear coupled constraints and nonlinear dynamics, and 2) nonconvex objectives influenced by disturbances with unknown time-varying distributions. To address these challenges, a distributionally robust game framework with an exact penalty is proposed. We introduce a first-order equilibrium concept suitable for nonconvex-nonsmooth settings and ensure finite-sample guarantees. Furthermore, a distributed zeroth-order feedback algorithm is proposed to solve the problem. This algorithm utilizes gradient estimators for the objective functions and subgradient estimators for the exact penalty terms. We provide a detailed analysis of the relationship between communication errors and the dynamic energy of the system, along with an expected upper bound for the zeroth-order gradient estimation. Our findings indicate that the expectation of the time-accumulated regret grows at a sublinear rate. Furthermore, as the distribution stabilizes, we show that the empirical distribution converges with ${\boldsymbol{O(1)}}$ sampling complexity.
An Interpretable Temporal Convolutional Framework for Granger Causality Analysis
Aoxiang Dong, Andrew Starr, Yifan Zhao
2026, 13(3): 665-679. doi: 10.1109/JAS.2025.125396
Abstract(1532) HTML (194) PDF(89)
Abstract:
Most existing parametric approaches for detecting linear or nonlinear Granger causality (GC) face challenges in estimating appropriate time delays, a critical factor for accurate GC detection. This issue becomes particularly pronounced in nonlinear complex systems, which are often opaque and consist of numerous components or variables. In this paper, we propose a novel temporal convolutional network (TCN)-based end-to-end GC detection approach called the interpretable temporal convolutional framework (ITCF). Unlike conventional deep learning models, which act like a “black box” and are difficult to analyse the interactions between variables, the proposed ITCF is able to detect both linear and nonlinear GC and automatically estimate time delay during the multivariant time series prediction. Specifically, GC is obtained by employing the least absolute shrinkage and selection operator (Lasso) regression during the prediction of multivariate time series using TCN. Then, time delays can be estimated by interpreting the TCN kernels. We propose a convolutional hierarchical group Lasso (cHGL), a hierarchical regularisation approach to effectively utilise temporal information within each TCN channel for enhanced GC detection. Additionally, as far as we are concerned, this paper is the first to integrate the Iterative Soft-Thresholding Algorithm into the backpropagation of TCN to optimise the proposed cHGL, which enables causal channel selection and induces sparsity within each TCN channel to remove redundant temporal information, ultimately creating an end-to-end GC detection framework. The testing results of four experiments, involving two simulations and two real data, demonstrate that the proposed ITCF, in comparison with state-of-the-art, offers a more reliable estimation of GC relationships in complex systems featuring intricate dynamics, limited data lengths, or numerous variables.
Flexible Federated Learning in Machinery Fault Diagnostics With Light Communication
Xiang Li, Weipeng Fan, Shaojie Yang, Wei Zhang, Xu Li
2026, 13(3): 680-691. doi: 10.1109/JAS.2025.125414
Abstract(710) HTML (187) PDF(31)
Abstract:
While data-driven fault diagnosis methods have been successfully developed in the past years, large amounts of high-quality condition monitoring data are generally required to ensure model performance. Due to the high economic and labor costs in data collection, it is difficult for a single user to build an effective database, and exploring data of multiple users for better training becomes a promising solution. However, data privacy is of great importance in the real industries due to conflicts of interest, and direct data aggregation from different users is hardly feasible. To address this issue, a flexible federated learning method is proposed in this paper. Different from most existing methods with identical models under the federation, different customized individual deep neural network models can be used at different clients. Public data are exploited for knowledge transfer. Only the scores on public data are communicated between clients and server, rather than the whole model parameters. That significantly reduces the communication and computational burden. Experiments are carried out on two real-world machinery fault diagnosis datasets, and the results show the proposed method is promising for data privacy-preserving federated learning with flexible models and light communications.
Two-Dimensional Model-Free Off-Policy Optimal Iterative Learning Control for Time-Varying Batch Systems
Jianan Liu, Zike Zhou, Jinglin Huang, Wenjing Hong, Jia Shi
2026, 13(3): 692-703. doi: 10.1109/JAS.2025.125399
Abstract(1462) HTML (182) PDF(90)
Abstract:
Although iterative learning control (ILC) has been widely used in batch processes, designing an optimal iterative learning control scheme for batch systems with unknown dynamics and time-varying parameters remains an open problem. In this paper, we propose a novel two-dimensional model-free off-policy optimal iterative learning control to achieve optimal control performance for linear time-varying batch systems. First, the one-dimensional state space is expanded to the two-dimensional state space by integrating time and batch information. Then, based on dynamic programming and a recursive algorithm, the framework of two-dimensional model-based optimal iterative learning control is established. Based on this framework, two-dimensional model-free optimal iterative learning control is further developed using model-free Q-learning reinforcement learning. The optimal iterative learning control policy is obtained through online off-policy iteration using historical and online operation data. Meanwhile, a rigorous convergence proof of the model-free optimal iterative learning control law is presented. Finally, the simulation results in the injection molding batch process demonstrate the proposed control scheme’s effectiveness, feasibility, and significant improvement in control performance.
Neurodynamic Optimization Approaches With Fixed-Time Convergence for Nash Equilibrium Seeking: Theory and Hardware Experiment
Xingxing Ju, Xinsong Yang, Chuandong Li, Gang Feng, Daniel W. C. Ho
2026, 13(3): 704-714. doi: 10.1109/JAS.2025.125780
Abstract(848) HTML (217) PDF(32)
Abstract:
The convergence rate is one of the key performance measures for Nash equilibrium (NE) seeking strategies. In this work, we present several novel fast decoupled/coupled time-varying neurodynamic optimization approaches with fixed-time (FT) convergence to Nash equilibrium seeking in non-cooperative games. The dynamics trajectories are demonstrated to converge to the NE solution within a fixed time from any initial states. The proposed neurodynamic networks exhibit a faster convergence rate with appropriately selected time-varying coefficients. Additionally, the upper bounds of the convergence time of the proposed NE seeking networks are smaller than those for strategies with constant coefficients. The robustness of the proposed NE seeking neurodynamic approaches under bounded perturbations is further studied. The efficacy and practicality of the proposed NE seeking approaches are validated through simulations and field-programmable gate array (FPGA) experiments on duopoly market games.
State Estimation With Model Uncertainty Using Structure Variational Bayesian and Transfer Learning
Shuang Gao, Xiaoli Luan, Biao Huang, Shunyi Zhao, Fei Liu
2026, 13(3): 715-727. doi: 10.1109/JAS.2025.125825
Abstract(847) HTML (187) PDF(34)
Abstract:
This paper proposes a novel approach to address parameter uncertainties for state estimation in Markovian jump linear systems by leveraging transfer learning. Assume that the source domain model is available and reliable, and the target domain model has significant model parameter uncertainties. To enhance estimation performance in the target domain, the proposed method transfers model knowledge from the source domain and adjusts it using a tuning factor before incorporating it into the target domain estimator. More specifically, this approach involves transferring the modified probability density functions of state prediction from the source domain to the target domain and determining the tuning factor via structure variational Bayesian inference using measurements in the target domain. Using numerical examples and a 1-DOF torsion system, we showcase the competitiveness of the proposed state estimator compared to the existing robust state estimation methods when dealing with parameter uncertainties. The results highlight its capability to improve estimation accuracy in practical scenarios, showcasing its potential for real-world applications.
LETTERS
QuadQ: Quadratic-Based Value Decomposition for Cooperative Policy Optimization in Multi-Agent Reinforcement Learning
Siying Wang, Ruoning Zhang, Yang Zhou, Jinliang Shao, Yuhua Cheng
2026, 13(3): 728-730. doi: 10.1109/JAS.2025.125666
Abstract(617) HTML (324) PDF(26)
Abstract:
Adaptive Multimodal Servoing Control for Unmanned Aerial Manipulator Perching
Yitian Zhang, Bo Cai, Dongyang Li, Ye Li
2026, 13(3): 731-733. doi: 10.1109/JAS.2025.125672
Abstract(667) HTML (113) PDF(36)
Abstract:
An Operator-Theoretic Approach to Repetitive Control of Uncertain Robot Manipulators
Geun Il Song, Jung Hoon Kim
2026, 13(3): 734-736. doi: 10.1109/JAS.2026.125780
Abstract(658) HTML (223) PDF(21)
Abstract:
Modularized Graph Convolutional Network
Tiantian He, Zhixuan Duan, Xin Luo
2026, 13(3): 737-739. doi: 10.1109/JAS.2025.125336
Abstract(633) HTML (235) PDF(17)
Abstract:
Finite-Time Sliding-Mode Control for Semi-Markov Systems With Delayed Impulses
Fangmin Ren, Xiaoping Wang, Yangmin Li, Zhigang Zeng
2026, 13(3): 740-742. doi: 10.1109/JAS.2024.125004
Abstract(926) HTML (128) PDF(84)
Abstract:
Synchronization Control Based on Sequential Convergence
Huan Li, Shuangsi Xue, Hui Cao, Dongyu Li
2026, 13(3): 743-745. doi: 10.1109/JAS.2025.125330
Abstract(488) HTML (237) PDF(19)
Abstract:
A Novel Finite-Time Stability Criterion for Nonlinear Systems Involving Flexible Delayed Impulses
Shuchen Wu, Xiaodi Li, Shiji Song
2026, 13(3): 746-748. doi: 10.1109/JAS.2025.125630
Abstract(1128) HTML (190) PDF(89)
Abstract: