A journal of IEEE and CAA , publishes high-quality papers in English on original theoretical/experimental research and development in all areas of automation

Current Issue

Vol. 13,  No. 4, 2026

Display Method:
REVIEWS
Support Vector Clustering Uncovered: Insights, Challenges, and Future Outlook
M. Tanveer, Mohammad Tabish, Anuradha Kumari, Ashwani Kumar Malik, Weiping Ding
2026, 13(4): 749-775. doi: 10.1109/JAS.2026.125804
Abstract(353) HTML (109) PDF(51)
Abstract:
Support vector clustering (SVC) has emerged as a powerful unsupervised learning technique, derived from support vector machines (SVMs), offering a robust solution to a wide range of complex clustering challenges. Its unique ability to handle noise, outliers, and clusters of diverse, irregular shapes sets it apart from traditional clustering methods. SVC’s distinct advantage lies in its capacity to autonomously determine the optimal number of clusters without prior topological knowledge of the data. SVC maps data to a higher-dimensional space, encloses it in a minimal sphere, and identifies clusters when mapped back, supporting complex shapes and ensuring optimality through kernel functions. This review paper provides a comprehensive analysis of the SVC algorithms, exploring their variants such as robust, sparse, and fuzzy-based models and adaptations for large-scale data. Moreover, we analyze the potential of twin support vector clustering (TWSVC), with an emphasis on the use of various loss functions. Finally, the paper explores emerging trends and outlines promising future research directions for both SVC and twin SVC. These include advancements in feature engineering, extension to semi-supervised and weakly supervised learning, and the integration of multi-view and multi-modal data. Our work aims to deepen the understanding of SVC, fostering advancements that address the evolving needs of clustering in real-world scenarios.
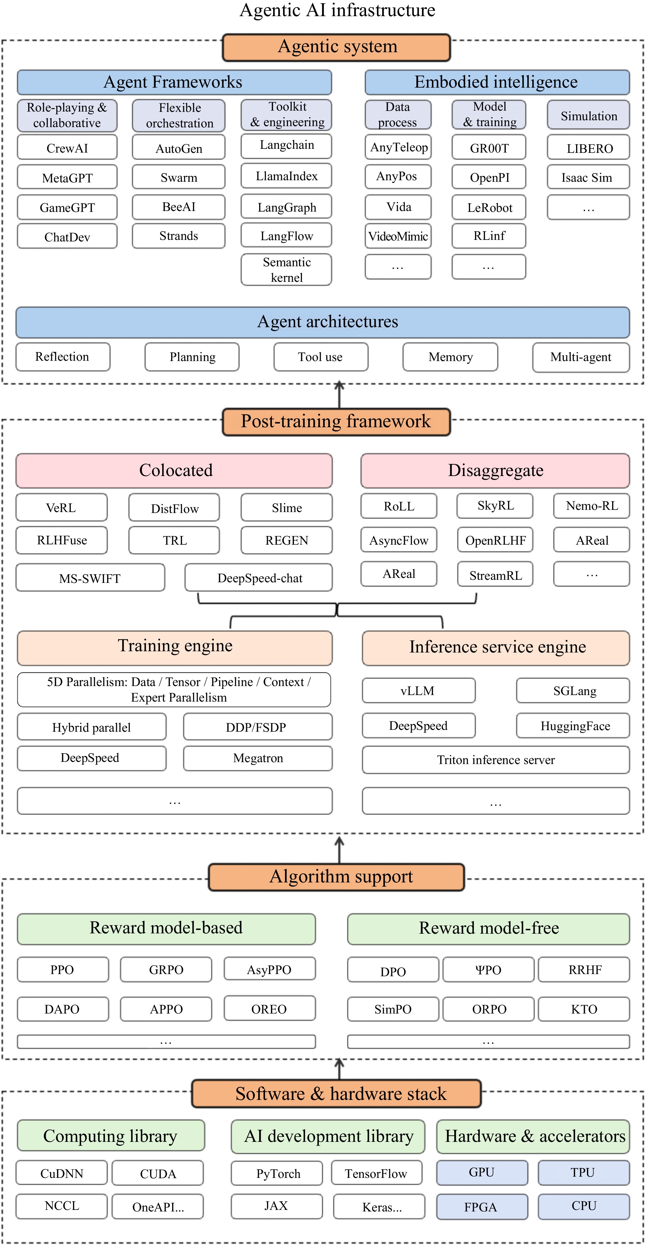
Understanding Agentic AI: Algorithms and Infrastructure
Wanlun Ma, Yongjian Guo, Qing-Long Han, Wei Zhou, Xiaogang Zhu, Junwu Xiong, Sheng Wen, Yang Xiang
2026, 13(4): 776-795. doi: 10.1109/JAS.2026.125993
Abstract(381) HTML (131) PDF(37)
Abstract:
The rapid evolution of large language models (LLMs) towards autonomous Agentic artificial intelligence (AI) necessitates a systemic overhaul across algorithms, infrastructure, and architectures. This paper presents a unified view of the “Agentic AI Infrastructure,” connecting research threads often studied in isolation. First, post-training algorithms are reviewed, contrasting traditional reinforcement learning (RL) with emerging reasoning-centric methods and test-time scaling strategies. Next, the transition of RL training frameworks is analyzed from monolithic, colocated designs to disaggregated, asynchronous architectures tailored for the extreme variance of agentic rollouts. Furthermore, progress in agent construction is synthesized, covering reflection, planning, tool use, and multi-agent collaboration. By integrating these layers, the paper elucidates how agentic AI systems impose unique demands on underlying training systems. Finally, open challenges are outlined by covering capability scaling, efficiency, safety, privacy, and governance for reliable real-world agentic AI deployment.
PAPERS
Low-Light Imaging: A Novel Industrial Endoscope With Adaptive Analog Gain for Blast Furnaces
Zunhui Yi, Lei He, Ming Lu, Chaoyang Chen, Zhaohui Jiang, Weihua Gui
2026, 13(4): 796-809. doi: 10.1109/JAS.2025.125690
Abstract(293) HTML (137) PDF(30)
Abstract:
The burden surface topography of a blast furnace is the main basis for judging the furnace conditions and plays an important role in adjusting the charging system and ensuring the stable progress of the ironmaking process. Visible light imaging technology has the potential to capture real-time high-resolution images of the burden surface, providing a wealth of burden surface topography information. However, capturing high-quality burden surface videos in a sealed environment with extremely uneven light distribution remains an urgent problem to be solved. To this end, this paper develops a novel type of industrial endoscope with an adaptive analog gain to obtain information-rich burden surface images under complex lighting conditions. Firstly, a signal conversion model of the burden surface imaging process is constructed to analyze the impact of lighting on imaging. Based on the analysis, an imaging optical system with a large relative aperture and a long optical path imaging structure is developed to address the problem of weak illumination in the burden surface area. On this basis, an automatic exposure control system with an adaptive analog gain is designed to suppress the interference of dynamic strong light on imaging. Finally, experimental and application results demonstrate that the developed industrial endoscope can significantly enhance the effect of burden surface imaging and increase the amount of burden surface topography information obtained.
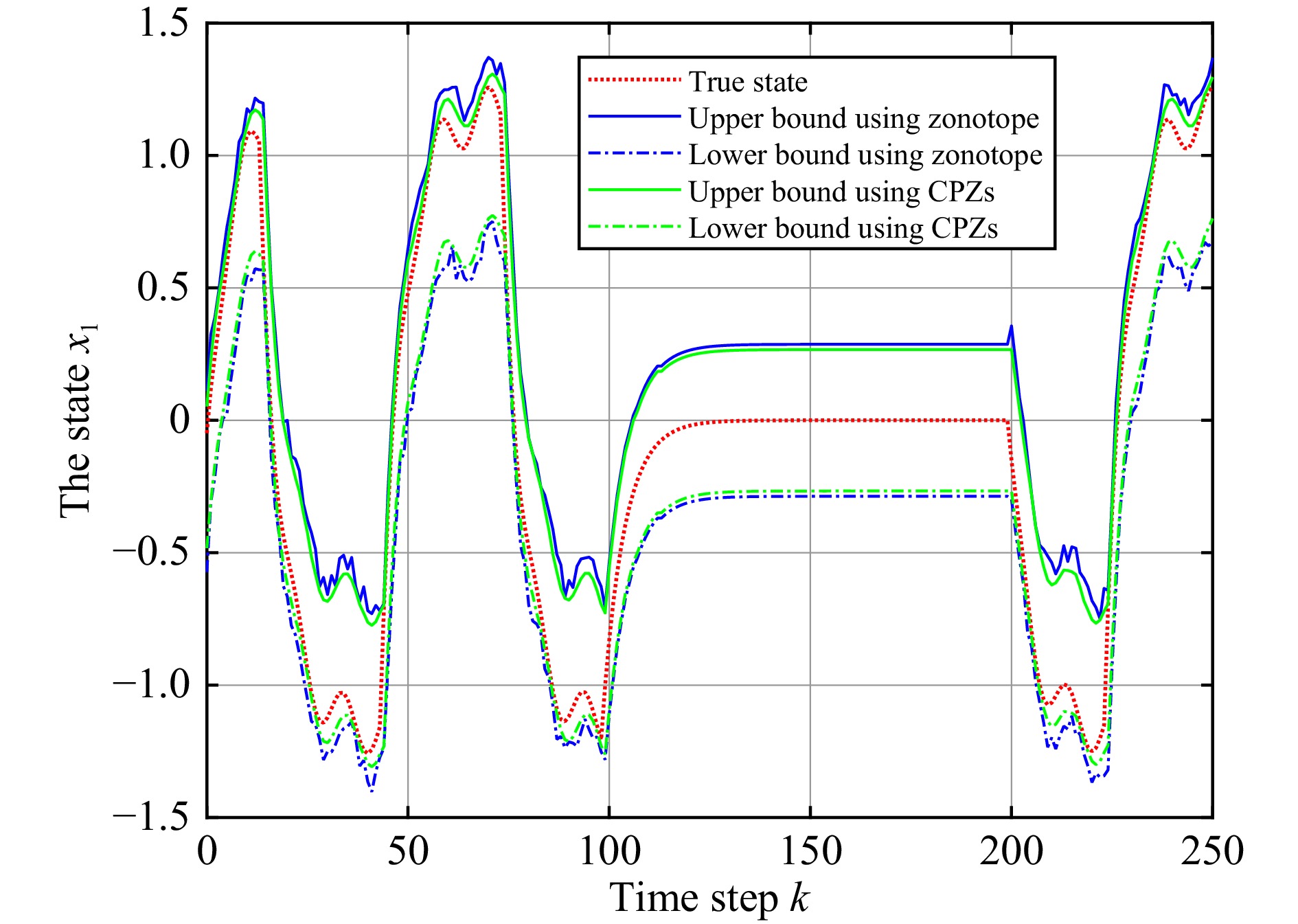
PSSE: Private Set-Valued State Estimation of Cyber-Physical Systems
Hao Liu, Yuzhe Li, Ben Niu
2026, 13(4): 810-821. doi: 10.1109/JAS.2025.125390
Abstract(265) HTML (111) PDF(19)
Abstract:
This paper investigates set-valued state estimation of cyber-physical systems (CPSs) with unknown-but-bounded (UBB) noises. Note that constrained polynomial zonotopes (CPZs) are utilized to characterize both convex and non-convex sets of noises. However, privacy issues should be taken into account since outsourcing the set-valued operations to the cloud-based node is required when collecting measurements from distributed sensors. In order to address this issue, two different set-valued estimation protocols employing partially homomorphic encryption (PHE) are proposed to guarantee the corresponding privacy. Furthermore, it is proved that the proposed protocols can ensure privacy against sensor coalition, cloud coalition, and user coalition, respectively. Finally, numerical examples are provided to show the advantages and effectiveness of our results.
MFAINet: Multi-Receptive Field Feature Fusion With Attention-Integrated for Polyp Segmentation
Guangzu Lv, Bin Wang, Cunlu Xu, Weiping Ding, Jun Liu
2026, 13(4): 822-836. doi: 10.1109/JAS.2025.125408
Abstract(1364) HTML (87) PDF(70)
Abstract:
Colorectal cancer has become a global public health concern. Removing polyps before they become malignant can effectively prevent the onset of colorectal cancer. Currently, multi-receptive field feature extraction and attention mechanisms have achieved significant success in polyp segmentation. However, how to effectively fuse these mechanisms and fully leverage their respective strengths remains an open problem. In this paper, we propose a polyp segmentation network, MFAINet. We design an attention-integrated multi-receptive field feature extraction module (AMFE), which uses layering and multiple weightings to fuse the multi-receptive field feature extraction and attention mechanisms, maximizing the extraction of both global and detailed information from the image. To ensure that the input to AMFE contains richer target feature information, we introduce a multi-layer progressive fusion module (MPF). MPF progressively merges features at each layer, fully integrating contextual information. Finally, we employ the selective fusion module (SFM) to combine the high-level features produced by AMFE, resulting in an accurate polyp segmentation map. To evaluate the learning and generalization capabilities of MFAINet, we conduct experiments on five widely-used public polyp datasets using four evaluation metrics. Notably, our model achieves the best results in nearly all cases.
Cyber-Physical Coordinated Bi-Level Active Power Control for Active Distribution Network Considering Transmission Congestion
Bo Zhang, Dong Yue, Chunxia Dou, Dongmei Yuan, Lei Xu, Houjun Li
2026, 13(4): 837-853. doi: 10.1109/JAS.2025.125555
Abstract(214) HTML (104) PDF(20)
Abstract:
The degree of active power fluctuation is a key indicator for assessing the stability of active distribution networks. However, with the increasing clustering of distributed resources within these networks and the deepening integration of cyber-physical systems, uncertainties arising from cyber and physical domains, e.g., load variations and transmission congestion, will compound and exacerbate power fluctuations. Unlike existing methods that use cyber-physical cut-off control or firewall-based passive defenses, this paper proposes a bi-level active power control method based on a cyber-physical cooperation perspective to address these issues. At the upper level, which encompasses source-grid-storage clusters: in the physical layer, an active power support approach is proposed, which incorporates multi-factor matching while considering flow constraints to achieve multi-objective optimization regulation. In the cyber layer, we propose data sensitivity calculations along with demand-driven path planning techniques to ensure that planned paths align with regulatory requirements. At the lower level, focusing on in-cluster resources: in the physical layer, a multi-resource distributed control method based on fault-tolerance principles and a virtual leader-following consensus algorithm is proposed, which enables flexible responses to cluster commands while defending against light congestion interference. In the cyber layer, an event-triggered path reconstruction method is proposed to defend against heavy congestion interference. The proposed methodology effectively harnesses the aggregation control capabilities of massive resources and facilitates an active defense against network congestion issues. Case studies show that these methods can generate optimal control commands for aggregators and internal resources within seconds to mitigate power fluctuations while ensuring reliable network performance in both planning and operational dimensions.
Model-Free Variable Impedance Control of Redundant Manipulators for Soft Tissue Puncture
Hongde Liao, Xin Wang, Zhijun Zhang, Ning Tan
2026, 13(4): 854-863. doi: 10.1109/JAS.2025.125693
Abstract(568) HTML (107) PDF(37)
Abstract:
Robotic-assisted medical technology has long been a key area of research in modern surgical medicine. Robotic-assisted puncture techniques, both theoretically and practically, hold significant potential to improve puncture precision and overall surgical outcomes in clinical practice. This paper presents a model-free variable impedance control (MFVIC) method for robotic soft tissue puncture tasks, enabling high-precision puncture of soft tissues using variable impedance control without requiring model information. Conventional position- or force-based control methods often fail to ensure the precision of puncture or maintain an appropriate puncture force, both of which are critical for the task. The proposed variable impedance control approach allows for accurate puncture to the desired location while maintaining low puncture force throughout the puncture process, thus effectively meeting the demands of the puncture task. Additionally, a Jacobian matrix estimator is designed to estimate the Jacobian matrix of the redundant robotic arm in real-time during operation. This enables precise robot control using sensor data, without the need for prior knowledge of the robot model.
A Novel Phase-Aware Neural Network Framework for Fault Detection in Multiphase Processes via Feature Augmentation and Phase Discrimination
Yimeng He, Zidong Wang, Weibo Liu, Jingzhong Fang, Linwei Chen, Zhihuan Song
2026, 13(4): 864-876. doi: 10.1109/JAS.2025.125708
Abstract(353) HTML (104) PDF(21)
Abstract:
The dynamic nature of multiphase processes presents significant challenges to industrial fault detection. Most existing fault detection methods for multiphase processes, which have been developed to focus on creating a local fault detector for each phase, are hindered by two key challenges. Firstly, accurately matching test samples to their respective phases proves difficult, which leads to what is known as the phase matching problem. Secondly, constructing a reliable fault detector becomes challenging when limited data is available for specific phases. To overcome these challenges, a novel phase-aware neural network (PANN) is proposed in this paper for multiphase fault detection. The PANN is composed of a feature augmentation module, an encoder, a phase discriminator, and a decoder. Multiscale convolutional neural networks are employed to construct the feature augmentation module, which is used to extract multiscale features from the input data. The pseudo labels, which capture knowledge of the multiphase process, are used during the training of the phase discriminator to address the phase matching issue. A joint loss function is designed to train the entire PANN by integrating the loss terms for phase discrimination and future sample prediction. Validation of the proposed PANN is carried out using a numerical example. To further assess its practical application, the PANN is tested on a penicillin fermentation process dataset. Experimental results demonstrate that the proposed PANN achieves higher fault detection rates compared to several popular models currently used for fault detection in multiphase processes.
A Distributed Braking Scheme for Heavy-Haul Trains Using Coupler Force Compensation
Jilie Zhang, Zhiyong Chen, Ge Guo
2026, 13(4): 877-887. doi: 10.1109/JAS.2025.125870
Abstract(274) HTML (102) PDF(13)
Abstract:
In this paper, a novel distributed braking scheme is proposed for automatic heavy-haul trains equipped with an electronically controlled pneumatic (ECP) braking system. The scheme consists of a coupler force compensator and a cooperative controller. The compensator is designed to counteract the coupler force acting on each car, i.e., the forces from its front and rear adjacent cars. With this compensation, the braking control problem is transformed into a platooning problem of multiple vehicles. The cooperative controller then regulates the velocity and position of adjacent cars. Numerical studies using MATLAB and the Universal Mechanism simulator are conducted to verify the effectiveness and superiority of the proposed scheme.
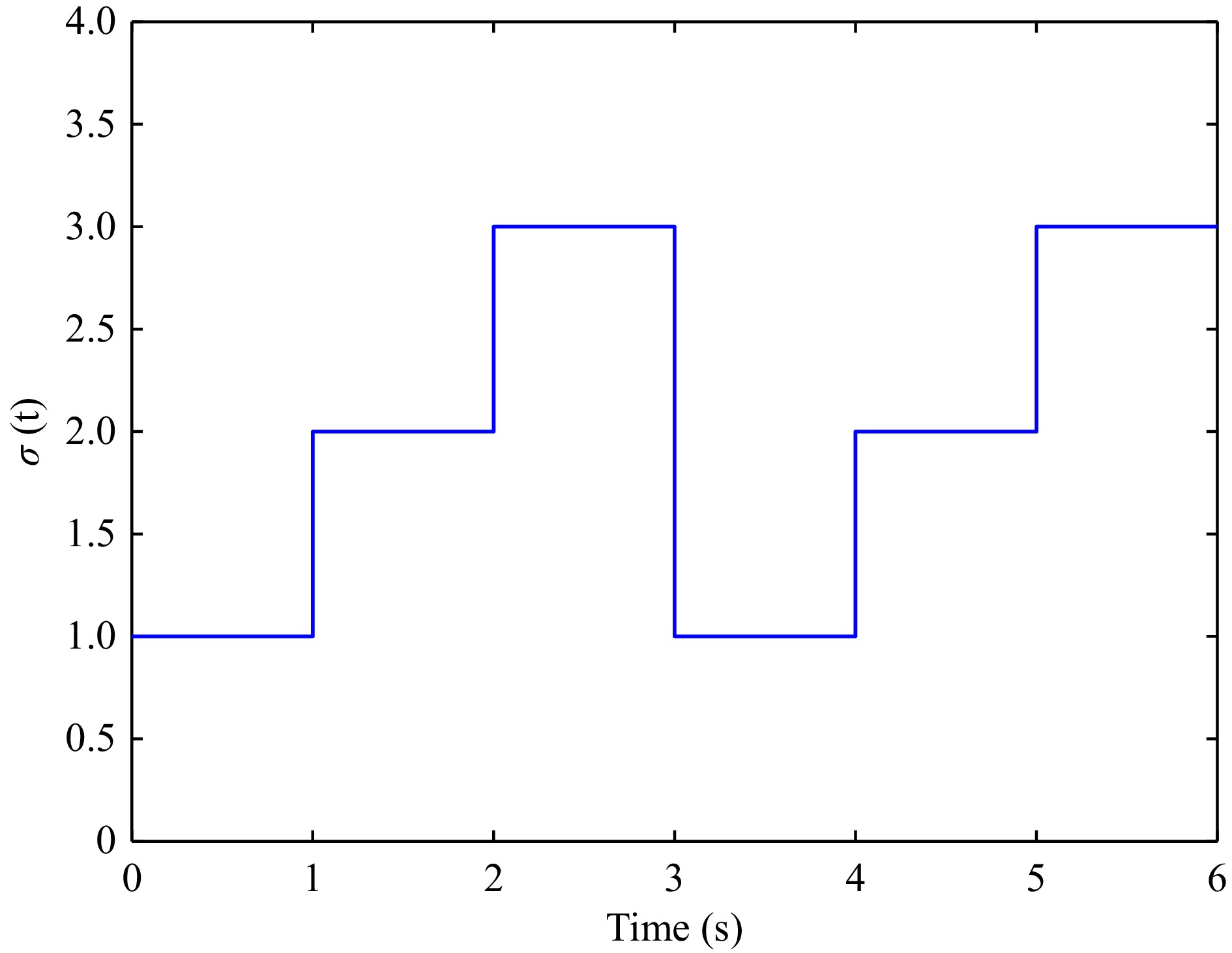
Distributed Gain Scheduling Dynamic Event-Triggered Semi-Global Leader-Following Consensus of Input Constrained MASs Under Fixed/Switching Topologies
Meilin Li, Tieshan Li, Hongjing Liang
2026, 13(4): 888-902. doi: 10.1109/JAS.2025.125417
Abstract(1096) HTML (106) PDF(69)
Abstract:
In this paper, the semi-global leader-following consensus issue of multi-agent systems with constrained input under fixed and switching topologies is investigated via a distributed gain scheduling dynamic event-triggered method. First, a novel distributed gain scheduling consensus protocol is proposed under fixed topology, which integrates time-varying gain and distributed parameter schedulers. This approach enhances the transient performance of consensus tracking by enlarging the gain parameter through the scheduler, while the reliance of the scheduler on global state information is eliminated via a distributed design method. Subsequently, a distributed dynamic event-triggered mechanism is introduced to reduce the controller updates, while the expression of the inter-event times mitigates its explicit reliance on the system matrix. Additionally, to eliminate the need for real-time monitoring of neighboring agents’ states and continuous communication, a distributed dynamic self-triggered mechanism is developed. Next, our approaches are extended to solve the semi-global leader-following consensus problem under switching topologies. The average dwell time technique is employed to alleviate the limitations on the switching rate among multiple topologies. Finally, the theoretical analysis is validated through simulation results.
Bounded Control Gain Based Prescribed-Time Consensus of General Linear Multi-Agent Systems With Controllable Agent Dynamics
Hongpeng Li, Xinchun Jia, Xiaobo Chi, Yanpeng Guan
2026, 13(4): 903-912. doi: 10.1109/JAS.2025.125909
Abstract(291) HTML (104) PDF(29)
Abstract:
In this paper, the bounded control gain based prescribed-time (Pre-T) consensus problem for general linear multi-agent systems (MASs) with controllable agent dynamics is addressed. First, an observer with Pre-T performance is designed for each agent to estimate the leader’s state within a prescribed time. Then, based on the estimated states, a Pre-T switching controller integrating a bounded control gain is developed by employing a special coordinate transformation in combination with the backstepping technique, under the assumption that the agents’ system matrix pair is controllable. It is shown that the proposed controller enables general linear MASs to achieve the Pre-T consensus independently of the agents’ initial conditions and control parameters. Notably, the controller eliminates the numerical implementation problem associated with unbounded control gains, without compromising the consensus performance. The proposed approach is further applied to high-order single-input MASs to demonstrate its broader applicability. Finally, a simulation example validates the effectiveness of both the proposed observer and the Pre-T switching controller.
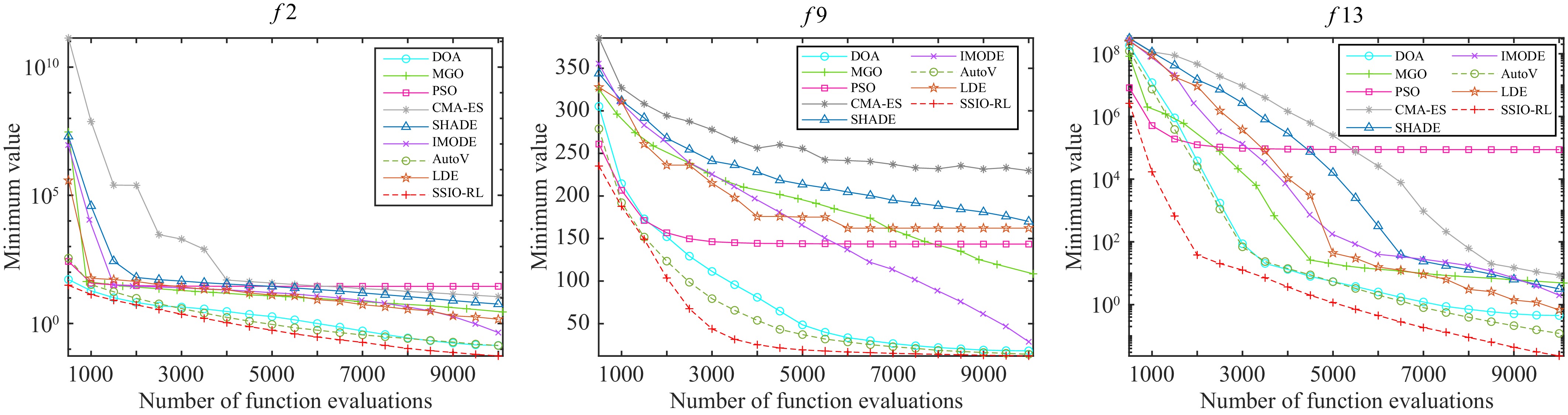
Deep Reinforcement Learning Based on Search Space Independent Operators for Black-Box Continuous Optimization
Ye Tian, Yisai Liu, Shangshang Yang, Xingyi Zhang
2026, 13(4): 913-925. doi: 10.1109/JAS.2025.125444
Abstract(311) HTML (84) PDF(17)
Abstract:
Deep reinforcement learning (DRL) has demonstrated exceptional capabilities in combinatorial optimization, which automatically devises policies for solution construction and optimizer refinement. DRL is particularly adept in generating training samples by itself, thereby providing the flexibility to solve a variety of combinatorial optimization problems without supervision. While DRL takes actions according to states extracted from problem-specific information, it cannot be directly applied to black-box continuous optimization lacking explicit information. To address this issue, this paper proposes a search space independent operator based DRL method for black-box continuous optimization. It conceptualizes the optimization process driven by search space independent operators as a Markov decision process, wherein actions are defined as operators and states are extracted from solutions generated by operators. In contrast to other DRL-assisted metaheuristics, the proposed method does not rely on any existing metaheuristic. Instead, it innovates by creating totally new operators, able to surpass the performance boundaries of existing metaheuristics. Compared with state-of-the-art metaheuristics and DRL methods, the proposed method shows significantly faster convergence speed on challenging continuous optimization problems.
Improving Cyclic Positioning Strategy Accuracy of UWB System in Complex Underground Environments
Bo Cao, Mingrui Jiang, Shibo Wang, Menglan Li, Linghua Cui, Biyong Xu
2026, 13(4): 926-938. doi: 10.1109/JAS.2025.125585
Abstract(240) HTML (101) PDF(8)
Abstract:
The high-precision automatic positioning technology of the shearer is crucial for the automated and unmanned mining. However, the existing localization approaches commonly deliver inaccurate, unsatisfactory and unreliable results. In response to this challenge, we propose a novel cyclic positioning strategy to automatically migrate the anchor nodes group (ANG) after the completion of the current cutting operation, thereby achieving long-term period positioning. Meanwhile, we design an innovative technique that appropriately incorporates the shrinkage estimation method based on the minimum mean square error criterion (MMSEC), the improved diversity-guided quantum particle swarm optimization (QPSO), and the extended Kalman filter (EKF) to enhance the localization accuracy of the ultra-wideband (UWB) system in each cycle positioning. Firstly, the cycle positioning strategy and the calculation method of the ANG coordinate position are proposed at the end of fully mechanized mining face. Secondly, the MMSEC method is developed by taking into account of the large measurement noise in the underground environments, and the improved diversity-guided QPSO method is implemented to optimize the result of MMSEC approach. Subsequently, the EKF is executed to suppress the influence of distance residuals on the positioning accuracy and further refine the final estimation accuracy. Lastly, the experimental investigation is performed to evaluate the effectiveness of the proposed cyclic positioning strategy. The experimental results sufficiently demonstrate that the developed MMSEC-QPSO-EKF technique significantly enhances localization accuracy and substantially outperforms the conventional methods, which is capable of achieving better estimation accuracy in each cycle positioning. The proposed cyclic positioning strategy can be successfully implemented, and the achieved accuracies are less than 0.2 m as the ANG is migrated three times, showcasing outstanding localization performance and robustness.
Robust Brain Tumor Segmentation With Incomplete MRI Modalities Using Hölder Divergence and Mutual Information-Enhanced Knowledge Transfer
Runze Cheng, Xihang Qiu, Ming Li, Ye Zhang, Fei Richard Yu, Chun Li
2026, 13(4): 939-954. doi: 10.1109/JAS.2025.125609
Abstract(320) HTML (97) PDF(7)
Abstract:
Multimodal MRI (magnetic resonance imaging) provides critical complementary information for accurate brain tumor segmentation. However, conventional methods struggle when certain modalities are missing due to issues like image quality, protocol inconsistencies, patient allergies, or financial constraints. To address this, we propose a robust single-modality parallel processing framework that achieves high segmentation accuracy even with incomplete modalities. Leveraging Hölder divergence and mutual information, our model maintains modality-specific features while dynamically adjusting network parameters based on available inputs. By using these divergence and information-based loss functions, the framework effectively quantifies discrepancies between predictions and ground-truth labels, resulting in consistently accurate segmentation. Extensive evaluations on the BraTS 2018 and BraTS 2020 datasets demonstrate superior performance over existing methods in handling missing modalities, with ablation studies validating each component’s contribution to the framework.
An Approach Integrating Data-Driven and Mechanistic Models for Predicting and Optimizing Heating Flue Temperature of Coke Ovens
Yuan Shan, Hongxin Dong, Zhongyang Han, Jun Zhao, Hong Liu
2026, 13(4): 955-965. doi: 10.1109/JAS.2025.125771
Abstract(165) HTML (101) PDF(8)
Abstract:
As one of the most important parameters for coke oven of steel industry, heating flue temperature plays a pivotal role in obtaining quality-guaranteed final product. While the complexity such as nonlinearity, time-delay, and coupling relationship with its heating fuel, in particular, blast furnace gas (BFG), brings about challenges for heating flue temperature prediction and optimization. As such, a data-mechanism combined driven systematic approach considering both internal and external influencing factors of coke oven is proposed in this study. To provide a solid dataset, a density-based spatial clustering of applications with noise (DBSCAN) based outlier detection algorithm is designed at first for preprocessing, which accommodates the data characteristics in practice. Then, taking full consideration of the periodic and trend features of flue temperature data, a neural network (NN) based multi-channel prediction model is constructed for temperature forecasting. In order to establish dynamic rather than static constraints for the following temperature optimization, a mechanism based controllable region assessment method is proposed. Finally, the flue temperature is optimized via a well-designed fuzzy-based approach along with swarm and evolutionary algorithms for parameter determination. Based on the real data, the simulation results demonstrate the superiority of the proposed systematic approach compared with other partially applied methods, so as to manifest its benefits for the operational optimization of coke oven in steel industry.
A Continuous-Time Framework of Model-Free Adaptive Control for Nonlinear Plants
Hao Yu, Wangjiang Li, Linxin Che, Dawei Shi, Zhongsheng Hou
2026, 13(4): 966-982. doi: 10.1109/JAS.2025.125789
Abstract(360) HTML (150) PDF(26)
Abstract:
Continuous-time model-free adaptive control frameworks are proposed in this paper for solving tracking problems of unknown nonlinear plants described by high-order differential equations. To tackle situations where no form or structural information of plant models is present, the first step involves introducing continuous-time dynamic linearization techniques to create data models. Based on different ways for generating control inputs, two kinds of dynamic linearization processes for continuous-time nonlinear plants are established for the first time, where the nonlinear plants are parameterized by a time-varying linear data model. In the first dynamic linearization model (DLM), the control input is calculated by designating its derivative while the second one gives directly control inputs. Then, after acquiring different dynamic linearization models, based on traditional backstepping methods, adaptive laws are proposed to learn the time-varying parameters in DLMs and the corresponding model-free adaptive controllers are designed. The conditions on designable parameters for the proposed controllers are provided to ensure semi-global practical stabilization and arbitrarily desirable ultimate tracking accuracy. Moreover, to eliminate the effects of unknown equilibrium points on tracking accuracy, a continuous-time model-free adaptive controller with pure integral terms is proposed under the second dynamic linearization model. Finally, several practical and numerical examples are simulated to illustrate the feasibility and efficiency of the proposed results.
LETTERS
Vision-Guided Robotic System for Automatic Fish Quality Grading and Packaging
Mohamed Lamine Mekhalfi, Saigopal Vasudevan, Jorge S. Calado, Anh Dong Le, Pablo Malvido Fresnillo, Jose Ferreira, Pedro Garcia, Carla Macieira, Paul Ian Chippendale, Ricardo Jardim-Gonçalves, Jose L. Martinez Lastra, Fabio Poiesi
2026, 13(4): 983-985. doi: 10.1109/JAS.2025.125801
Abstract(286) HTML (109) PDF(11)
Abstract:
Multi-Aspect Self-Attending Neural Tucker Factorization for Spatiotemporal Representation Learning
Yikai Hou, Peng Tang, Xin Luo
2026, 13(4): 986-988. doi: 10.1109/JAS.2025.125723
Abstract(481) HTML (318) PDF(18)
Abstract:
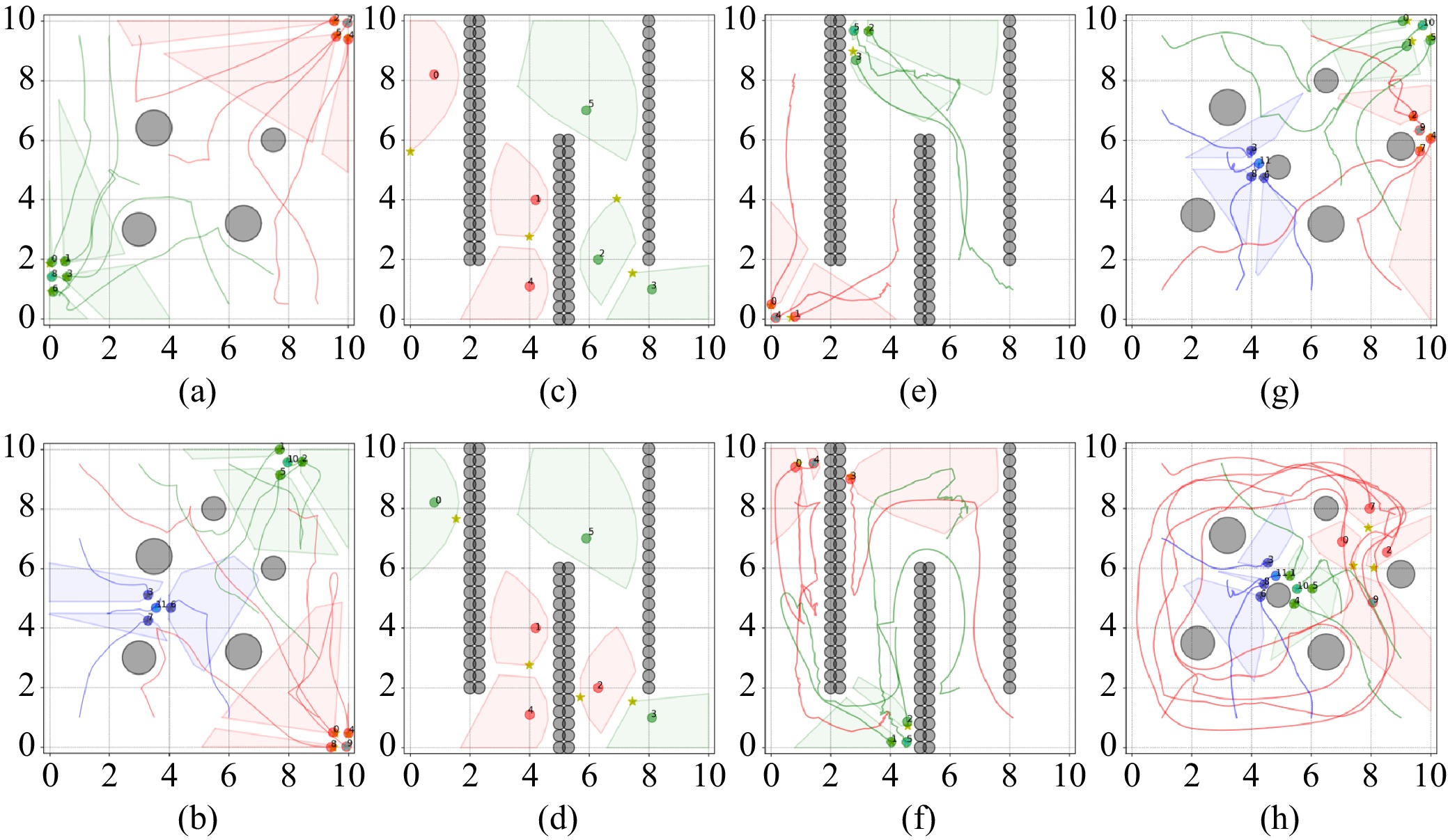
Dynamic Robust Pursuit of Multiple Evaders Under State Measurement Uncertainty in Obstacle Environments
Kai Rao, Huaicheng Yan, Zhihao Huang, Tiantian Xu, Penghui Yang, Yunkai Lv
2026, 13(4): 989-991. doi: 10.1109/JAS.2025.125684
Abstract(338) HTML (69) PDF(40)
Abstract:
Shape Your Body Within Intelligent Vehicles: Smart Exercising Services with Agentic AI
Shuliang Liu, Yonglin Tian, Yuhang Liu, Juanjuan Li, Rui Qin, Xiaolong Liang
2026, 13(4): 992-994. doi: 10.1109/JAS.2026.125981
Abstract(205) HTML (198) PDF(11)
Abstract:
Distribution Network Partitioning for Voltage Regulation Using Heterogeneous Graph Neural Networks Considering Cyber-Attacks Risk
Lei Xu, Bo Zhang, Chunxia Dou, Dong Yue
2026, 13(4): 995-997. doi: 10.1109/JAS.2026.125795
Abstract(790) HTML (133) PDF(38)
Abstract:
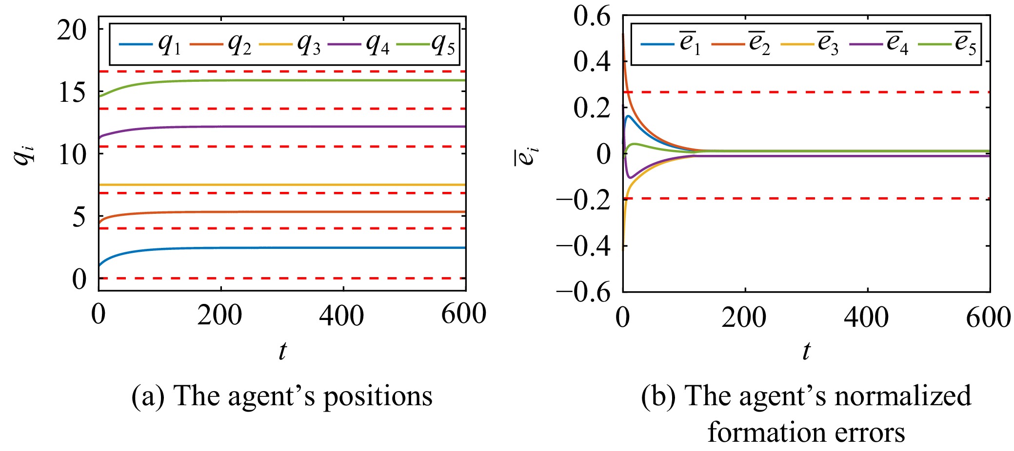
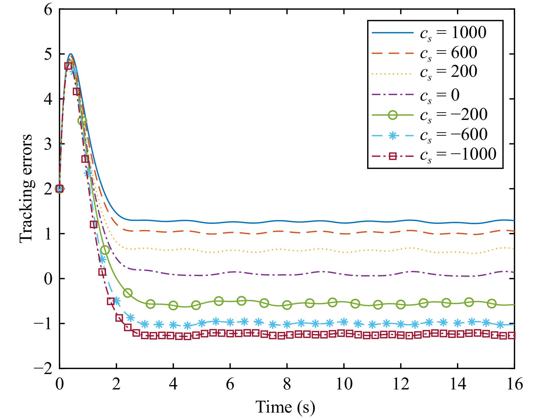
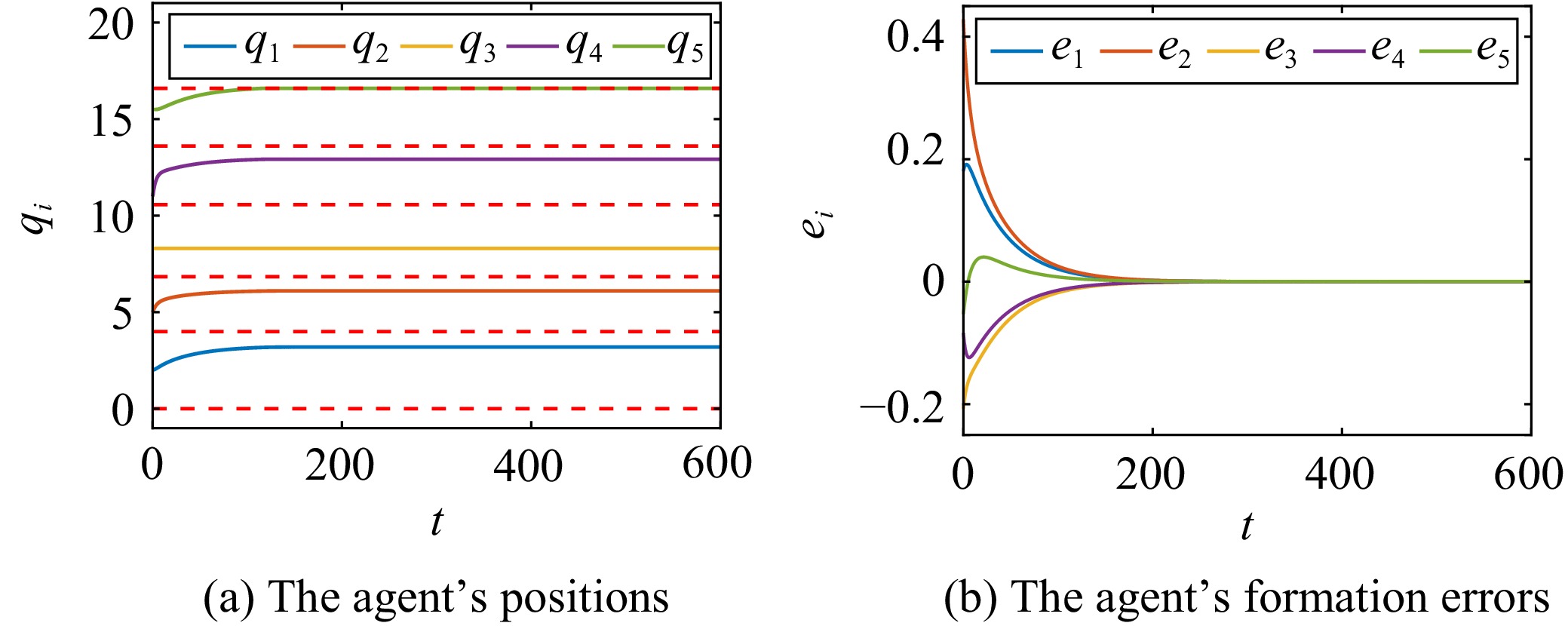
Dynamic Event-Triggered Optimized Formation Control for ASVs With Prescribed Performance
Sibo Yao, Zhiguang Feng, Haiping Du
2026, 13(4): 998-1000. doi: 10.1109/JAS.2025.125681
Abstract(330) HTML (132) PDF(25)
Abstract:
Diversity-Driven Contrastive Value Ensembles With Categorical Constraints for Goal-Conditioned Robotic Control
Zhiyi Shi, Ruihao Zhu, Shuai Wu, Wei Tong, Guangyu Zhu, Edmond Q. Wu
2026, 13(4): 1001-1003. doi: 10.1109/JAS.2025.125885
Abstract(383) HTML (167) PDF(14)
Abstract:
Formation Control of Multi-Agent Systems With Position Constraints on a Closed Curve
Cheng Song, Yongqin He, Jianbin Qiu, Shengyuan Xu
2026, 13(4): 1004-1006. doi: 10.1109/JAS.2025.125219
Abstract(485) HTML (99) PDF(37)
Abstract: