A journal of IEEE and CAA , publishes high-quality papers in English on original theoretical/experimental research and development in all areas of automation
Volume 13 Issue 4
Apr.  2026

IEEE/CAA Journal of Automatica Sinica

  • JCR Impact Factor: 19.2, Top 1 (SCI Q1)
    CiteScore: 28.2, Top 1% (Q1)
    Google Scholar h5-index: 95, TOP 5
Turn off MathJax
Article Contents
H. Liu, Y. Li, and B. Niu, “PSSE: Private set-valued state estimation of cyber-physical systems,” IEEE/CAA J. Autom. Sinica, vol. 13, no. 4, pp. 810–821, Apr. 2026. doi: 10.1109/JAS.2025.125390
Citation: H. Liu, Y. Li, and B. Niu, “PSSE: Private set-valued state estimation of cyber-physical systems,” IEEE/CAA J. Autom. Sinica, vol. 13, no. 4, pp. 810–821, Apr. 2026. doi: 10.1109/JAS.2025.125390

PSSE: Private Set-Valued State Estimation of Cyber-Physical Systems

doi: 10.1109/JAS.2025.125390
Funds:  This work was partially supported by the National Natural Science Foundation of China (61703286)
More Information
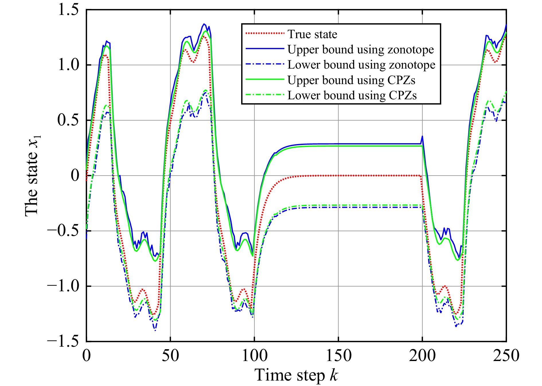
  • This paper investigates set-valued state estimation of cyber-physical systems (CPSs) with unknown-but-bounded (UBB) noises. Note that constrained polynomial zonotopes (CPZs) are utilized to characterize both convex and non-convex sets of noises. However, privacy issues should be taken into account since outsourcing the set-valued operations to the cloud-based node is required when collecting measurements from distributed sensors. In order to address this issue, two different set-valued estimation protocols employing partially homomorphic encryption (PHE) are proposed to guarantee the corresponding privacy. Furthermore, it is proved that the proposed protocols can ensure privacy against sensor coalition, cloud coalition, and user coalition, respectively. Finally, numerical examples are provided to show the advantages and effectiveness of our results.

     

  • loading
  • [1]
    V. T. H. Le, C. Stoica, T. Alamo, E. F. Camacho, and D. Dumur, “Zonotope-based set-membership estimation for multi-output uncertain systems,” in Proc. IEEE Int. Symposium on Intelligent Control, pp. 212–217, 2013.
    [2]
    C. Combastel, “Zonotopes and Kalman observers: Gain optimality under distinct uncertainty paradigms and robust convergence,” Automatica, vol. 55, pp. 265–273, 2015. doi: 10.1016/j.automatica.2015.03.008
    [3]
    Y. Wang, V. Puig, and G. Cembrano, “Set-membership approach and Kalman observer based on zonotopes for discrete-time descriptor systems,” Automatica, vol. 93, pp. 435–443, 2018. doi: 10.1016/j.automatica.2018.03.082
    [4]
    T. Alamo, J. M. Bravo, and E. F. Camacho, “Guaranteed state estimation by zonotopes,” Automatica, vol. 41, pp. 1035–1043, 2005. doi: 10.1016/j.automatica.2004.12.008
    [5]
    M. Althoff and J. J. Rath, “Comparison of guaranteed state estimators for linear time-invariant systems,” Automatica, vol. 130, Art. no. 109662, 2021. doi: 10.1016/j.automatica.2021.109662
    [6]
    T. Alamo, J. M. Bravo, M. J. Redondo, and E. F. Camacho, “A set-membership state estimation algorithm based on DC programming,” Automatica, vol. 44, pp. 216–224, 2008. doi: 10.1016/j.automatica.2007.05.008
    [7]
    B. S. Rego, G. V. Raffo, J. K. Scott, and D. M. Raimondo, “Guaranteed methods based on constrained zonotopes for set-valued state estimation of nonlinear discrete-time systems,” Automatica, vol. 111, Art. no. 108614, 2020. doi: 10.1016/j.automatica.2019.108614
    [8]
    B. S. Rego, J. K. Scott, D. M. Raimondo, and G. V. Raffo, “Set-valued state estimation of nonlinear discrete-time systems with nonlinear invariants based on constrained zonotopes,” Automatica, vol. 129, Art. no. 109638, 2021. doi: 10.1016/j.automatica.2021.109638
    [9]
    A. Alanwar, H. Said, and M. Althoff, “Distributed secure state estimation using diffusion Kalman filters and reachability analysis,” IEEE Conf. Decision and Control, pp. 4133–4139, 2019.
    [10]
    A. Alanwar, J. J. Rath, H. Said, K. H. Johansson, and M. Althoff, “Distributed set-based observers using diffusion strategies,” J. Franklin Institute, vol. 360, pp. 6976–6993, 2023. doi: 10.1016/j.jfranklin.2023.03.025
    [11]
    F. Oliva-Palomo, A. Sanchez-Orta, H. Alazki, P. Castillo, and A.-J. Muñoz-Vázquez, “Robust global observer position-yaw control based on ellipsoid method for quadrotors,” Mechanical Systems and Signal Processing, vol. 158, Art. no. 107721, 2021. doi: 10.1016/j.ymssp.2021.107721
    [12]
    E. Mousavinejad, X. Ge, Q.-L. Han, T. J. Lim, and L. Vlacic, “An ellipsoidal set-membership approach to distributed joint state and sensor fault estimation of autonomous ground vehicles,” IEEE/CAA J. Autom. Sinica, vol. 8, no. 6, pp. 1107–1118, 2021. doi: 10.1109/JAS.2021.1004015
    [13]
    J. R. Spletzer and C. J. Taylor, “A bounded uncertainty approach to multi-robot localization,” in Proc. IEEE/RSJ Int. Conf. Intelligent Robots and Systems, vol. 2, pp. 1258–1265, 2003.
    [14]
    M. D. Sikirić and V. Grishukhin, “Zonotopes and parallelotopes,” Southeast Asian Bulletin of Mathematics, vol. 41, pp. 197–207, 2017.
    [15]
    S. Ifqir, V. Puig, D. Ichalal, N. Ait-Oufroukh, and S. Mammar, “Zonotopic set-membership estimation for switched systems based on Wi-radius minimization: Vehicle application,” in Proc. 21st IFAC World Congress, pp. 1–6, 2020.
    [16]
    C. Trapiello and V. Puig, “A zonotopic-based watermarking design to detect replay attacks,” IEEE/CAA J. Autom. Sinica, vol. 9, no. 11, pp. 1924–1938, 2022. doi: 10.1109/JAS.2022.105944
    [17]
    N. Kochdumper and M. Althoff, “Sparse polynomial zonotopes: A novel set representation for reachability analysis,” IEEE Trans. Autom. Control, vol. 66, no. 9, pp. 4043–4058, 2021. doi: 10.1109/TAC.2020.3024348
    [18]
    B. S. Rego, D. Locatelli, D. M. Raimondo, and G. V. Raffo, “Joint state and parameter estimation based on constrained zonotopes,” Automatica, vol. 142, Art. no. 110425, 2022. doi: 10.1016/j.automatica.2022.110425
    [19]
    N. Kochdumper and M. Althoff, “Constrained polynomial zonotopes,” Acta Informatica, vol. 60, no. 3, pp. 279–316, 2023.
    [20]
    H. Guo, J. Sun, and Z.-H. Pang, “Residual-based false data injection attacks against multi-sensor estimation systems,” IEEE/CAA J. Autom. Sinica, vol. 10, no. 5, pp. 1181–1191, 2023. doi: 10.1109/JAS.2023.123441
    [21]
    J. Shang, M. Chen, and T. Chen, “Optimal linear encryption against stealthy attacks on remote state estimation,” IEEE Trans. Autom. Control, vol. 66, no. 8, pp. 3592–3607, 2021. doi: 10.1109/TAC.2020.3024143
    [22]
    W. Duo, M. C. Zhou, and A. Abusorrah, “A survey of cyber attacks on cyber physical systems: Recent advances and challenges,” IEEE/CAA J. Autom. Sinica, vol. 9, no. 5, pp. 784–800, 2022. doi: 10.1109/JAS.2022.105548
    [23]
    K. Teranishi, T. Sadamoto, and K. Kogiso, “Input-output history feedback controller for encrypted control with leveled fully homomorphic encryption,” IEEE Trans. Control of Network Systems, vol. 11, no. 1, pp. 271–283, 2024.
    [24]
    A. B. Alexandru, K. Gatsis, Y. Shoukry, S. A. Seshia, P. Tabuada, and G. J. Pappas, “Cloud-based quadratic optimization with partially homomorphic encryption,” IEEE Trans. Autom. Control, vol. 66, no. 5, pp. 2357–2364, 2021. doi: 10.1109/TAC.2020.3005920
    [25]
    S. Kosieradzki, X. Zhao, H. Kawase, Y. Qiu, K. Kogiso, and J. Ueda, “Secure teleoperation control using somewhat homomorphic encryption,” IFAC-PapersOnLine, vol. 55, no. 37, pp. 593–600, 2022. doi: 10.1016/j.ifacol.2022.11.247
    [26]
    T. Zhu, G. Li, W. Zhou, and P. S. Yu, “Differentially private data publishing and analysis: A survey,” IEEE Trans. Knowledge and Data Engineering, vol. 29, no. 8, pp. 1619–1638, 2017. doi: 10.1109/TKDE.2017.2697856
    [27]
    A. Alanwar, V. Gaßmann, X. He, H. Said, H. Sandberg, K. H. Johansson, and M. Althoff, “Privacy-preserving set-based estimation using partially homomorphic encryption,” European J. Control, vol. 71, Art. no. 100786, 2023. doi: 10.1016/j.ejcon.2023.100786
    [28]
    M. S. Darup, A. Redder, and D. E. Quevedo, “Encrypted cooperative control based on structured feedback,” IEEE Control Systems Letters, vol. 3, no. 1, pp. 37–42, 2019. doi: 10.1109/LCSYS.2018.2851152
    [29]
    Y. Ni, J. Wu, L. Li, and L. Shi, “Multi-party dynamic state estimation that preserves data and model privacy,” IEEE Trans. Information Forensics and Security, vol. 16, pp. 2288–2299, 2021. doi: 10.1109/TIFS.2021.3050621
    [30]
    C. Ying, N. Zheng, Y. Wu, M. Xu, and W.-A Zhang, “Privacy-preserving adaptive resilient consensus for multiagent systems under cyberattacks,” IEEE Trans. Industrial Informatics, vol. 20, no. 2, pp. 1630–1640, 2024. doi: 10.1109/TII.2023.3280318
    [31]
    X. Su, K. Fan, and W. Shi, “Privacy-preserving distributed data fusion based on attribute protection,” IEEE Trans. Industrial Informatics, vol. 15, no. 10, pp. 5765–5777, 2019. doi: 10.1109/TII.2019.2912175
    [32]
    R. L. Rivest, A. Shamir, and L. Adleman, “A method for obtaining digital signatures and public-key cryptosystem,” Communications of the ACM, vol. 21, no. 2, pp. 120–126, 1978. doi: 10.1145/359340.359342
    [33]
    K. Kogiso and T. Fujita, “Cyber-security enhancement of networked control systems using homomorphic encryption,” in Proc. 54th Conf. Decision and Control, 2015, pp. 6836–6843.
    [34]
    K. Yuan, P. Sang, J. Ge, B. Zhou, and C. Jia, “A timed-release e-voting scheme based on Paillier homomorphic encryption,” IEEE Trans. Sustainable Computing, vol. 9, no. 5, pp. 740–753, 2024.
    [35]
    O. Goldreich, Foundations of Cryptography: Volume 1, Basic Tools, Cambridge, UK: Cambridge University Press, 2007.
    [36]
    J. K. Scott, D. M. Raimondo, G. R. Marseglia, and R. D. Braatz, “Constrained zonotopes: A new tool for set-based estimation and fault detection,” Automatica, vol. 69, pp. 126–136, 2016. doi: 10.1016/j.automatica.2016.02.036
    [37]
    X. Yang and J. K. Scott, “A comparison of zonotope order reduction techniques,” Automatica, vol. 95, pp. 378–384, 2018. doi: 10.1016/j.automatica.2018.06.006
    [38]
    F. Farokhi, I. Shames, and N. Batterham, “Secure and private control using semi-homomorphic encryption,” Control Engineering Practice, vol. 67, pp. 13–20, 2017. doi: 10.1016/j.conengprac.2017.07.004
    [39]
    Z. Pan, B. Huang, and F. Liu, “Moving horizon estimation for bounded noises based on the set-membership approach,” J. Process Control, vol. 119, pp. 25–33, 2022. doi: 10.1016/j.jprocont.2022.08.015

Catalog

    通讯作者: 陈斌, bchen63@163.com
    • 1. 

      沈阳化工大学材料科学与工程学院 沈阳 110142

    1. 本站搜索
    2. 百度学术搜索
    3. 万方数据库搜索
    4. CNKI搜索

    Figures(8)

    Article Metrics

    Article views (265) PDF downloads(19) Cited by()

    /

    DownLoad:  Full-Size Img  PowerPoint
    Return
    Return