A journal of IEEE and CAA , publishes high-quality papers in English on original theoretical/experimental research and development in all areas of automation
Volume 13 Issue 4
Apr.  2026

IEEE/CAA Journal of Automatica Sinica

  • JCR Impact Factor: 19.2, Top 1 (SCI Q1)
    CiteScore: 28.2, Top 1% (Q1)
    Google Scholar h5-index: 95, TOP 5
Turn off MathJax
Article Contents
H. Yu, W. Li, L. Che, D. Shi, and Z. Hou, “A continuous-time framework of model-free adaptive control for nonlinear plants,” IEEE/CAA J. Autom. Sinica, vol. 13, no. 4, pp. 966–982, Apr. 2026. doi: 10.1109/JAS.2025.125789
Citation: H. Yu, W. Li, L. Che, D. Shi, and Z. Hou, “A continuous-time framework of model-free adaptive control for nonlinear plants,” IEEE/CAA J. Autom. Sinica, vol. 13, no. 4, pp. 966–982, Apr. 2026. doi: 10.1109/JAS.2025.125789

A Continuous-Time Framework of Model-Free Adaptive Control for Nonlinear Plants

doi: 10.1109/JAS.2025.125789
Funds:  This work was supported by the National Science Foundation of China (62403049, 62373206, 62261160575) and the National Key Research and Development Program of China (2023YFE0204100)
More Information
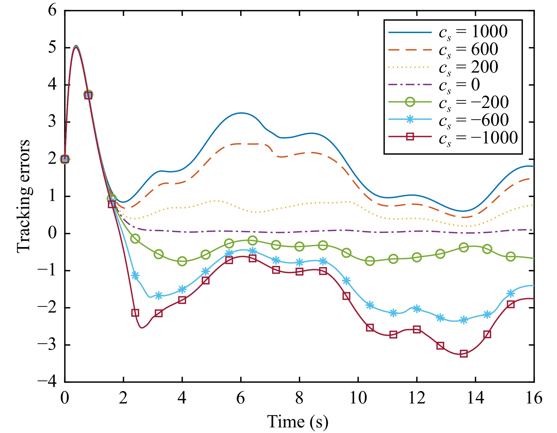
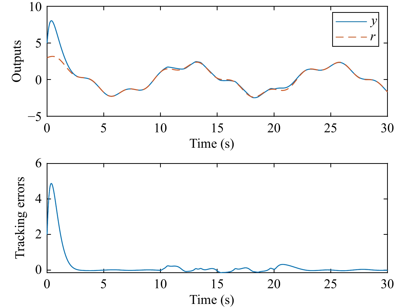
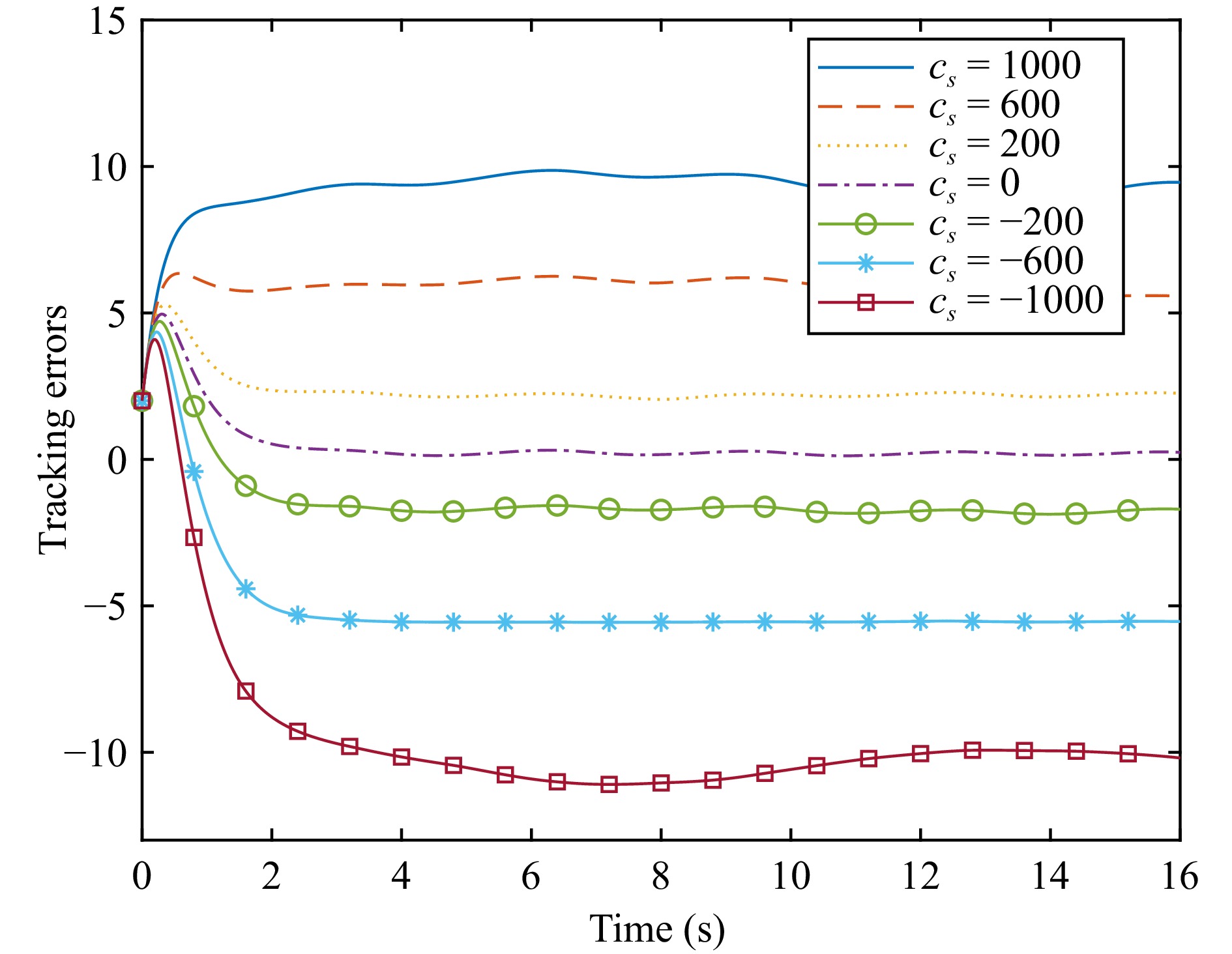
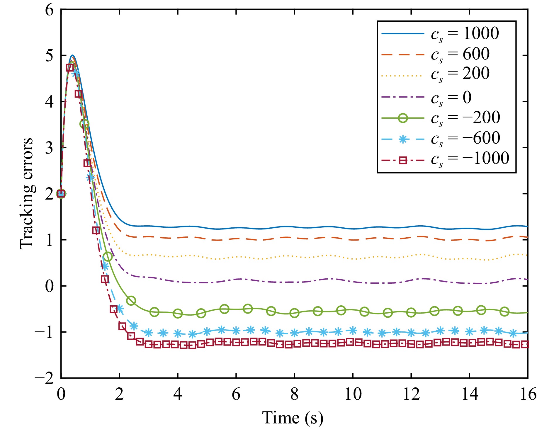
  • Continuous-time model-free adaptive control frameworks are proposed in this paper for solving tracking problems of unknown nonlinear plants described by high-order differential equations. To tackle situations where no form or structural information of plant models is present, the first step involves introducing continuous-time dynamic linearization techniques to create data models. Based on different ways for generating control inputs, two kinds of dynamic linearization processes for continuous-time nonlinear plants are established for the first time, where the nonlinear plants are parameterized by a time-varying linear data model. In the first dynamic linearization model (DLM), the control input is calculated by designating its derivative while the second one gives directly control inputs. Then, after acquiring different dynamic linearization models, based on traditional backstepping methods, adaptive laws are proposed to learn the time-varying parameters in DLMs and the corresponding model-free adaptive controllers are designed. The conditions on designable parameters for the proposed controllers are provided to ensure semi-global practical stabilization and arbitrarily desirable ultimate tracking accuracy. Moreover, to eliminate the effects of unknown equilibrium points on tracking accuracy, a continuous-time model-free adaptive controller with pure integral terms is proposed under the second dynamic linearization model. Finally, several practical and numerical examples are simulated to illustrate the feasibility and efficiency of the proposed results.

     

  • loading
  • 1 In this paper, the term, practical stability, denotes the ultimate boundedness stability defined in Section 4.8 in [30].
  • [1]
    Z. Hou and S. Jin, Model Free Adaptive Control: Theory and Applications. Boca Raton, USA: CRC Press, 2013.
    [2]
    T. Yamamoto, K. Takao, and T. Yamada, “Design of a data-driven PID controller,” IEEE Trans. Control Syst. Technol., vol. 17, no. 1, pp. 29–39, Jan. 2009. doi: 10.1109/TCST.2008.921808
    [3]
    R. C. Roman, R. E. Precup, S. Preitl, A. I. Szedlak-Stinean, C. A. Bojan-Dragos, Elena-Lorena-Hedrea, and E. M. Petriu, “PI controller tuning via data-driven algorithms for shape memory alloy systems,” IFAC-PapersOnLine, vol. 55, no. 40, pp. 181−186, 2022.
    [4]
    R. C. Roman, R. E. Precup, E. M. Petriu, and A. I. Borlea, “Hybrid data-driven active disturbance rejection sliding mode control with tower crane systems validation,” Rom. J. Inf. Sci. Technol., vol. 27, no. 1, pp. 50−64, 2024.
    [5]
    H. Yu and T. Chen, “Event-triggered neural-network adaptive control for strict-feedback nonlinear systems: Selections on valid compact sets,” IEEE Trans. Neural Netw. Learn. Syst., vol. 34, no. 8, pp. 4750–4762, Aug. 2023. doi: 10.1109/TNNLS.2021.3120620
    [6]
    M. C. Campi and S. M. Savaresi, “Direct nonlinear control design: The virtual reference feedback tuning (VRFT) approach,” IEEE Trans. Autom. Control, vol. 51, no. 1, pp. 14–27, Jan. 2006. doi: 10.1109/TAC.2005.861689
    [7]
    H. Hjalmarsson, “Iterative feedback tuning-an overview,” Int. J. Adapt. Control Signal Process., vol. 16, no. 5, pp. 373–395, Jun. 2002. doi: 10.1002/acs.714
    [8]
    R. C. Roman, R. E. Precup, E. L. Hedrea, S. Preitl, I. A. Zamfirache, C. A. Bojan-Dragos, and E. M. Petriu, “Iterative feedback tuning algorithm for tower crane systems,” Procedia Comput. Sci., vol. 199, pp. 157−165, 2022.
    [9]
    G. Bontempi, M. Birattari, and H. Bersini, “Lazy learning for local modelling and control design,” Int. J. Control, vol. 72, no. 7−8, pp. 643−658, 1999.
    [10]
    H. Zhang, Y. Li, Z. Wang, Y. Ding, and H. Yan, “Policy gradient adaptive dynamic programming for model-free multi-objective optimal control,” IEEE/CAA J. Autom. Sinica, vol. 11, no. 4, pp. 1060–1062, Apr. 2024. doi: 10.1109/JAS.2023.123381
    [11]
    C. De Persis and P. Tesi, “Formulas for data-driven control: Stabilization, optimality, and robustness,” IEEE Trans. Autom. Control, vol. 65, no. 3, pp. 909–924, Mar. 2020. doi: 10.1109/TAC.2019.2959924
    [12]
    D. Xu, B. Jiang, and P. Shi, “A novel model-free adaptive control design for multivariable industrial processes,” IEEE Trans. Ind. Electron., vol. 61, no. 11, pp. 6391–6398, Nov. 2014. doi: 10.1109/TIE.2014.2308161
    [13]
    S. Xiong and Z. Hou, “Model-free adaptive control for unknown MIMO nonaffine nonlinear discrete-time systems with experimental validation,” IEEE Trans. Neural Netw. Learn. Syst., vol. 33, no. 4, pp. 1727–1739, Apr. 2022. doi: 10.1109/TNNLS.2020.3043711
    [14]
    H. Li, S. Zheng, and H. Ren, “Self-correction of commutation point for high-speed sensorless BLDC motor with low inductance and nonideal back EMF,” IEEE Trans. Power Electron., vol. 32, no. 1, pp. 642–651, Jan. 2017. doi: 10.1109/TPEL.2016.2524632
    [15]
    S. Liu, Z. Hou, T. Tian, Z. Deng, and Z. Li, “A novel dual successive projection-based model-free adaptive control method and application to an autonomous car,” IEEE Trans. Neural Netw. Learn. Syst., vol. 30, no. 11, pp. 3444–3457, Nov. 2019. doi: 10.1109/TNNLS.2019.2892327
    [16]
    S. Liu, Z. Li, H. Ji, Z. Hou, and L. Chen, “Data learning-based model-free adaptive control and application to an NAO robot,” Int. J. Robust Nonlinear Control, vol. 33, no. 4, pp. 2722–2747, Mar. 2023.
    [17]
    H. A. Pham and D. Söffker, “Improved model-free adaptive predictive control based on recursive least-squares estimation algorithm,” Asian J. Control, vol. 25, no. 3, pp. 1745–1758, May 2023.
    [18]
    J. Liang, X. Bu, L. Cui, and Z. Hou, “Event-triggered asymmetric bipartite consensus tracking for nonlinear multi-agent systems based on model-free adaptive control,” IEEE/CAA J. Autom. Sinica, vol. 10, no. 3, pp. 662–672, Mar. 2023. doi: 10.1109/JAS.2022.106070
    [19]
    Y. Huang, G. P. Liu, Y. Yu, and W. S. Hu, “Data-driven distributed predictive tracking control for heterogeneous nonlinear multiagent systems with communication delays,” IEEE Trans. Autom. Control, vol. 69, no. 7, pp. 4786–4792, Jul. 2024. doi: 10.1109/TAC.2024.3357529
    [20]
    T. Alif, S. Bhasin, K. Garg, and D. Joshi, “An enhanced model free adaptive control approach for functional electrical stimulation assisted knee joint regulation and control,” IEEE Trans. Neural Syst. Rehabilit. Eng., vol. 31, pp. 1584–1593, Mar. 2023. doi: 10.1109/TNSRE.2023.3252882
    [21]
    Z. S. Hou, “The parameter identification, adaptive control and model free learning adaptive control for nonlinear systems,” Ph.D. dissertation, Department of Automatic Control, Northeastern University, Shenyang, China, 1994.
    [22]
    Z. Hou and S. Xiong, “On model-free adaptive control and its stability analysis,” IEEE Trans. Autom. Control, vol. 64, no. 11, pp. 4555–4569, Nov. 2019. doi: 10.1109/TAC.2019.2894586
    [23]
    C. Ji, J. Wang, L. Cao, and Q. Jin, “Parameters tuning of model free adaptive control based on minimum entropy,” IEEE/CAA J. Autom. Sinica, vol. 1, no. 4, pp. 361–371, Oct. 2014. doi: 10.1109/jas.2014.7004664
    [24]
    Y. Hui, R. Chi, B. Huang, Z. Hou, and S. Jin, “Observer-based sampled-data model-free adaptive control for continuous-time nonlinear nonaffine systems with input rate constraints,” IEEE Trans. Syst. Man Cybern. Syst., vol. 51, no. 12, pp. 7813–7822, Dec. 2021. doi: 10.1109/TSMC.2020.2982491
    [25]
    H. Yu, Z. Guan, T. Chen, and T. Yamamoto, “Design of data-driven PID controllers with adaptive updating rules,” Automatica, vol. 121, Art. no. 109185, Nov. 2020. doi: 10.1016/j.automatica.2020.109185
    [26]
    M. Krstić, I. Kanellakopoulos, and P. Kokotović, Nonlinear and Adaptive Control Design. New York, USA: John Wiley and Sons, Inc., 1995.
    [27]
    Q. Shen, P. Shi, T. Zhang, and C.-C. Lim, “Novel neural control for a class of uncertain pure-feedback systems,” IEEE Trans. Neural Netw. Learn. Syst., vol. 25, no. 4, pp. 718–727, Apr. 2014. doi: 10.1109/TNNLS.2013.2280728
    [28]
    H. K. Khalil, Nonlinear Systems. 3rd ed. Upper Saddle, River, USA: Prentice Hall, 2002.
    [29]
    Y. Zhu, Z. Hou, F. Qian, and W. Du, “Dual RBFNNs-based model-free adaptive control with aspen HYSYS simulation,” IEEE Trans. Neural Netw. Learn. Syst., vol. 28, no. 3, pp. 759–765, Mar. 2017. doi: 10.1109/TNNLS.2016.2522098
    [30]
    T. Q. Yu, Y.-J. Liu, and L. Liu, “Adaptive neural control for nonlinear MIMO function constraint systems,” IEEE/CAA J. Autom. Sinica, vol. 10, no. 3, pp. 816–818, Mar. 2023. doi: 10.1109/JAS.2023.123105
    [31]
    Y.-X. Li and G.-H. Yang, “Model-based adaptive event-triggered control of strict-feedback nonlinear systems,” IEEE Trans. Neural Netw. Learn. Syst., vol. 29, no. 4, pp. 1033–1045, Apr. 2018. doi: 10.1109/TNNLS.2017.2650238
    [32]
    R.-E. Precup, R.-C. Roman, A. Safaei, Data-Driven Model-Free Controllers. Boca Raton, USA: CRC Press, 2021.
    [33]
    T. Liu and Z. Hou, “Model-free adaptive containment control for unknown multi-input multi-output nonlinear mass with output saturation,” IEEE Trans. Circuits Syst. I Regular Papers, vol. 70, no. 5, pp. 2156–2166, May 2023. doi: 10.1109/TCSI.2023.3242677
    [34]
    H. Yu and T. Chen, “RBFNN adaptive sampled-data control for nonlinear plants: A validity analysis,” SIAM J. Control Optim., vol. 62, no. 3, pp. 1908–1932, Jun. 2024. doi: 10.1137/23M1595035
    [35]
    G. H. Hardy, J. E. Littlewood, and G. Pólya, Inequalities. Cambridge, UK: The University Press, 1952.
    [36]
    Q. Zhou, P. Du, H. Li, R. Lu, and J. Yang, “Adaptive fixed-time control of error-constrained pure-feedback interconnected nonlinear systems,” IEEE Trans. Syst. Man Cybern. Syst., vol. 51, no. 10, pp. 6369–6380, Oct. 2021. doi: 10.1109/TSMC.2019.2961371

Catalog

    通讯作者: 陈斌, bchen63@163.com
    • 1. 

      沈阳化工大学材料科学与工程学院 沈阳 110142

    1. 本站搜索
    2. 百度学术搜索
    3. 万方数据库搜索
    4. CNKI搜索

    Figures(12)  / Tables(4)

    Article Metrics

    Article views (359) PDF downloads(26) Cited by()

    /

    DownLoad:  Full-Size Img  PowerPoint
    Return
    Return