A journal of IEEE and CAA , publishes high-quality papers in English on original theoretical/experimental research and development in all areas of automation
Volume 13 Issue 4
Apr.  2026

IEEE/CAA Journal of Automatica Sinica

  • JCR Impact Factor: 19.2, Top 1 (SCI Q1)
    CiteScore: 28.2, Top 1% (Q1)
    Google Scholar h5-index: 95, TOP 5
Turn off MathJax
Article Contents
H. Liao, X. Wang, Z. Zhang, and N. Tan, “Model-free variable impedance control of redundant manipulators for soft tissue puncture,” IEEE/CAA J. Autom. Sinica, vol. 13, no. 4, pp. 854–863, Apr. 2026. doi: 10.1109/JAS.2025.125693
Citation: H. Liao, X. Wang, Z. Zhang, and N. Tan, “Model-free variable impedance control of redundant manipulators for soft tissue puncture,” IEEE/CAA J. Autom. Sinica, vol. 13, no. 4, pp. 854–863, Apr. 2026. doi: 10.1109/JAS.2025.125693

Model-Free Variable Impedance Control of Redundant Manipulators for Soft Tissue Puncture

doi: 10.1109/JAS.2025.125693
Funds:  This work was supported by the National Natural Science Foundation of China (62173352) and the Guangdong Basic and Applied Basic Research Foundation (2024B1515020104)
More Information
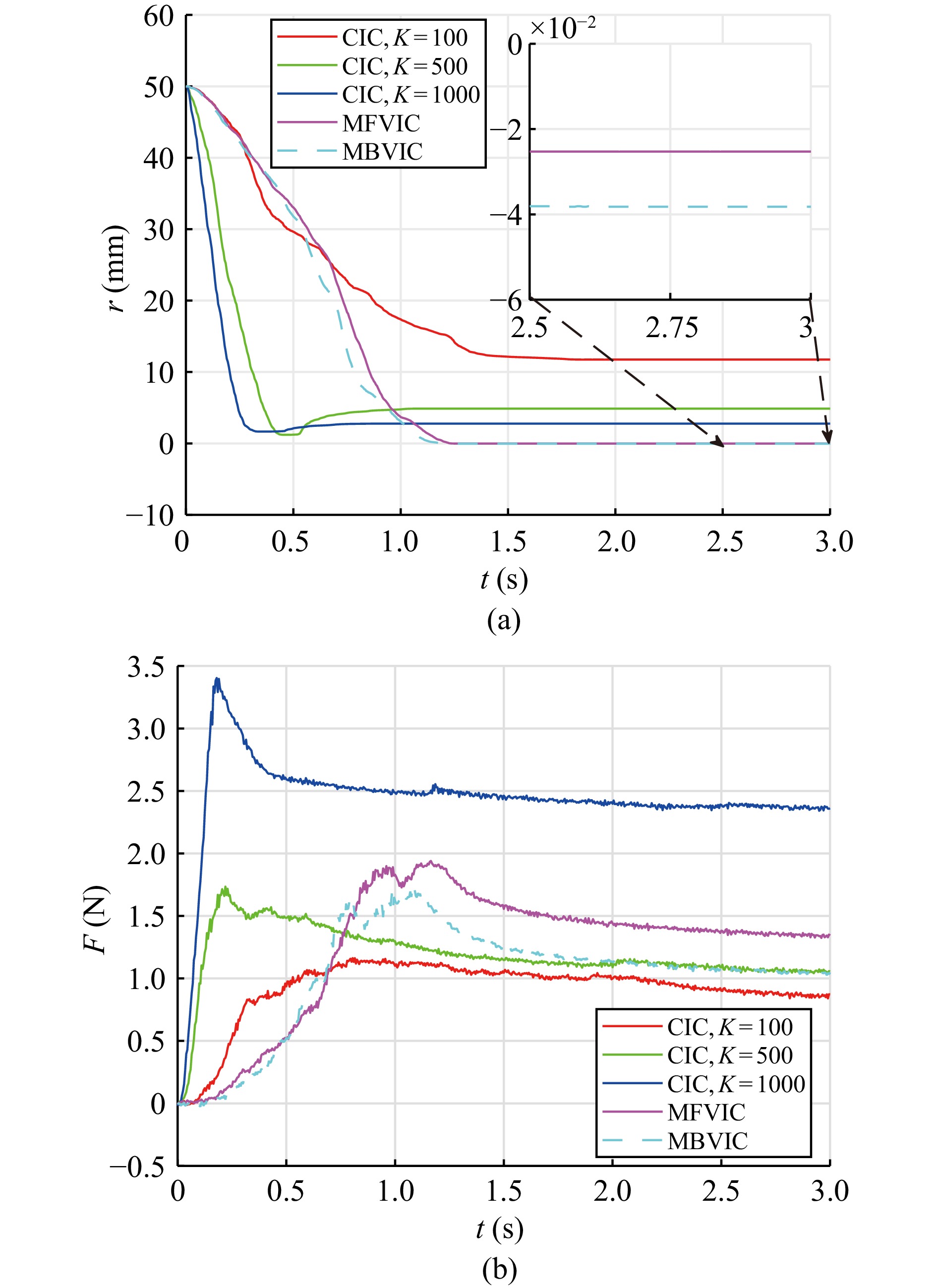
  • Robotic-assisted medical technology has long been a key area of research in modern surgical medicine. Robotic-assisted puncture techniques, both theoretically and practically, hold significant potential to improve puncture precision and overall surgical outcomes in clinical practice. This paper presents a model-free variable impedance control (MFVIC) method for robotic soft tissue puncture tasks, enabling high-precision puncture of soft tissues using variable impedance control without requiring model information. Conventional position- or force-based control methods often fail to ensure the precision of puncture or maintain an appropriate puncture force, both of which are critical for the task. The proposed variable impedance control approach allows for accurate puncture to the desired location while maintaining low puncture force throughout the puncture process, thus effectively meeting the demands of the puncture task. Additionally, a Jacobian matrix estimator is designed to estimate the Jacobian matrix of the redundant robotic arm in real-time during operation. This enables precise robot control using sensor data, without the need for prior knowledge of the robot model.

     

  • loading
  • [1]
    Y. Cui, W. Yu, J. Li, Q. Shao, D. Weng, G. Yin, X. Zhang, X. Liu, J. Ye, J. Wang, and H. Zhao, “An automatic implementation of oropharyngeal swab sampling for diagnosing respiratory infectious diseases via soft robotic end-effectors,” Chin. J. Mech. Eng., vol. 37, no. 1, p. 29, Mar. 2024. doi: 10.1186/s10033-024-01009-5
    [2]
    H. Su, A. Mariani, S. E. Ovur, A. Menciassi, G. Ferrigno, and E. De Momi, “Toward teaching by demonstration for robot-assisted minimally invasive surgery,” IEEE Trans. Autom. Sci. Eng., vol. 18, no. 2, pp. 484–494, Apr. 2021. doi: 10.1109/TASE.2020.3045655
    [3]
    N. Abolhassani, R. Patel, and M. Moallem, “Needle insertion into soft tissue: A survey,” Med. Eng. Phys., vol. 29, no. 4, pp. 413–431, May 2007. doi: 10.1016/j.medengphy.2006.07.003
    [4]
    W. Meinhold, D. E. Martinez, J. Oshinski, A.-P. Hu, and J. Ueda, “A direct drive parallel plane piezoelectric needle positioning robot for MRI guided intraspinal injection,” IEEE Trans. Biomed. Eng., vol. 68, no. 3, pp. 807–814, Mar. 2021. doi: 10.1109/TBME.2020.3020926
    [5]
    S. Hans and F. O. M. Joseph, “Robust control of a bevel-tip needle for medical interventional procedures,” IEEE/CAA J. Autom. Sinica, vol. 7, no. 1, pp. 244–256, Jan. 2020. doi: 10.1109/JAS.2019.1911660
    [6]
    C. Simone and A. M. Okamura, “Modeling of needle insertion forces for robot-assisted percutaneous therapy,” in Proc. IEEE Int. Conf. Robotics and Automation, Washington, USA, 2002, pp. 2085−2091.
    [7]
    N. Hogan, “Impedance control: An approach to manipulation,” in Proc. American Control Conf., San Diego, USA, 1984, pp. 304−313.
    [8]
    H. Zhang and R. Paul, “Hybrid control of robot manipulators,” in Proc. IEEE Int. Conf. Robotics and Automation, St. Louis, USA, 1985, pp. 602−607.
    [9]
    C. D. Takahashi, R. A. Scheidt, and D. J. Reinkensmeyer, “Impedance control and internal model formation when reaching in a randomly varying dynamical environment,” J. Neurophysiol., vol. 86, no. 2, pp. 1047–1051, Aug. 2001. doi: 10.1152/jn.2001.86.2.1047
    [10]
    A. Ibeas and M. de la Sen, “Robust impedance control of robotic manipulators,” in Proc. 43rd IEEE Conf. Decision and Control, Nassau, Bahamas, 2004, pp. 1258−1263.
    [11]
    J. Buchli, F. Stulp, E. Theodorou, and S. Schaal, “Learning variable impedance control,” Int. J. Rob. Res., vol. 30, no. 7, pp. 820–833, Jun. 2011. doi: 10.1177/0278364911402527
    [12]
    K. Kronander and A. Billard, “Online learning of varying stiffness through physical human-robot interaction,” in Proc. IEEE Int. Conf. Robotics and Automation, Saint Paul, USA, 2012, pp. 1842−1849.
    [13]
    F. Guo, S. Wang, D. Liu, and J. Wang, “A closed-loop dynamic controller for active vibration isolation working on a parallel wheel-legged robot,” Chin. J. Mech. Eng., vol. 36, no. 1, p. 79, Jun. 2023. doi: 10.1186/s10033-023-00897-3
    [14]
    W. Lu, H. Liu, X. Zhu, X. Wang, and B. Liang, “Variable stiffness force tracking impedance control using differential-less method,” in Proc. 29th Chinese Control and Decision Conf., Chongqing, China, 2017, pp. 4906−4911.
    [15]
    Z. Feng, W. Liang, J. Ling, X. Xiao, K. K. Tan, and T. H. Lee, “Adaptive robust impedance control for an ear surgical device with soft interaction,” IEEE/ASME Trans. Mechatron., vol. 27, no. 3, pp. 1784–1795, Jun. 2022. doi: 10.1109/TMECH.2021.3087014
    [16]
    D. Glozman and M. Shoham, “Image-guided robotic flexible needle steering,” IEEE Trans. Rob., vol. 23, no. 3, pp. 459–467, Jun. 2007. doi: 10.1109/TRO.2007.898972
    [17]
    G. Duchemin, P. Maillet, P. Poignet, E. Dombre, and F. Pierrot, “A hybrid position/force control approach for identification of deformation models of skin and underlying tissues,” IEEE Trans. Biomed. Eng., vol. 52, no. 2, pp. 160–170, Feb. 2005. doi: 10.1109/TBME.2004.840505
    [18]
    H. Su, Y. Hu, H. R. Karimi, A. Knoll, G. Ferrigno, and E. De Momi, “Improved recurrent neural network-based manipulator control with remote center of motion constraints: Experimental results,” Neural Netw., vol. 131, pp. 291–299, Nov. 2020. doi: 10.1016/j.neunet.2020.07.033
    [19]
    Y. Yang, Z. Ding, R. Wang, H. Modares, and D. C. Wunsch, “Data-driven human-robot interaction without velocity measurement using off-policy reinforcement learning,” IEEE/CAA J. Autom. Sinica, vol. 9, no. 1, pp. 47–63, Jan. 2022. doi: 10.1109/JAS.2021.1004258
    [20]
    D. Chen, Y. Zhang, and S. Li, “Tracking control of robot manipulators with unknown models: A Jacobian-matrix-adaption method,” IEEE Trans. Ind. Inf., vol. 14, no. 7, pp. 3044–3053, Jul. 2018. doi: 10.1109/TII.2017.2766455
    [21]
    L. Jia, L. Xiao, J. Dai, Z. Qi, Z. Zhang, and Y. Zhang, “Design and application of an adaptive fuzzy control strategy to zeroing neural network for solving time-variant QP problem,” IEEE Trans. Fuzzy Syst., vol. 29, no. 6, pp. 1544–1555, Jun. 2021. doi: 10.1109/TFUZZ.2020.2981001
    [22]
    L. Xiao, Y. Cao, J. Dai, L. Jia, and H. Tan, “Finite-time and predefined-time convergence design for zeroing neural network: Theorem, method, and verification,” IEEE Trans. Ind. Inf., vol. 17, no. 7, pp. 4724–4732, Jul. 2021. doi: 10.1109/TII.2020.3021438
    [23]
    L. Xiao and Y. He, “A noise-suppression ZNN model with new variable parameter for dynamic Sylvester equation,” IEEE Trans. Ind. Inf., vol. 17, no. 11, pp. 7513–7522, Nov. 2021. doi: 10.1109/TII.2021.3058343
    [24]
    Y. Lei, T. Hu, G. Li, and K. Tang, “Stochastic gradient descent for nonconvex learning without bounded gradient assumptions,” IEEE Trans. Neural Netw. Learn. Syst., vol. 31, no. 10, pp. 4394−4400, Oct. 2020. doi: 10.1109/TNNLS.2019.2952219
    [25]
    C. Yi, Y. Chen, and Z. Lu, “Improved gradient-based neural networks for online solution of Lyapunov matrix equation,” Inf. Process. Lett., vol. 111, no. 16, pp. 780–786, Aug. 2011. doi: 10.1016/j.ipl.2011.05.010
    [26]
    C. Yi, Y. Chen, and X. Lan, “Comparison on neural solvers for the Lyapunov matrix equation with stationary & nonstationary coefficients,” Appl. Math. Modell., vol. 37, no. 4, pp. 2495–2502, Feb. 2013. doi: 10.1016/j.apm.2012.06.022
    [27]
    P. Yu, N. Tan, and Z. Zhong, “Comparative studies and performance analysis on neural-dynamics-driven control of redundant robot manipulators with unknown models,” Eng. Appl. Artif. Intell., vol. 117, p. 105528, Jan. 2023. doi: 10.1016/j.engappai.2022.105528
    [28]
    N. Tan, P. Yu, Z. Zhong, and F. Ni, “A new noise-tolerant dual-neural-network scheme for robust kinematic control of robotic arms with unknown models,” IEEE/CAA J. Autom. Sinica, vol. 9, no. 10, pp. 1778–1791, Oct. 2022. doi: 10.1109/JAS.2022.105869
    [29]
    P. Hajikarimi and F. Moghadas Nejad, “Mechanical models of viscoelasticity,” in Applications of Viscoelasticity, P. Hajikarimi and F. Moghadas Nejad, Eds. Amsterdam, The Netherlands: Elsevier, 2021, pp. 27−61.
    [30]
    L. Barbé, B. Bayle, M. de Mathelin, and A. Gangi, “Needle insertions modeling: Identifiability and limitations,” Biomed. Signal Process. Control, vol. 2, no. 3, pp. 191–198, Jul. 2007. doi: 10.1016/j.bspc.2007.06.003
    [31]
    J. Duan, Y. Gan, M. Chen, and X. Dai, “Adaptive variable impedance control for dynamic contact force tracking in uncertain environment,” Rob. Auton. Syst., vol. 102, pp. 54–65, Apr. 2018. doi: 10.1016/j.robot.2018.01.009
    [32]
    Y. Yuan, J. Li, and X. Luo, “A fuzzy PID-incorporated stochastic gradient descent algorithm for fast and accurate latent factor analysis,” IEEE Trans. Fuzzy Syst., vol. 32, no. 7, pp. 4049–4061, Jul. 2024. doi: 10.1109/TFUZZ.2024.3389733
    [33]
    Y. Yuan, X. Luo, M. Shang, and Z. Wang, “A Kalman-filter-incorporated latent factor analysis model for temporally dynamic sparse data,” IEEE Trans. Cybern., vol. 53, no. 9, pp. 5788–5801, Sep. 2023. doi: 10.1109/TCYB.2022.3185117

Catalog

    通讯作者: 陈斌, bchen63@163.com
    • 1. 

      沈阳化工大学材料科学与工程学院 沈阳 110142

    1. 本站搜索
    2. 百度学术搜索
    3. 万方数据库搜索
    4. CNKI搜索

    Figures(11)  / Tables(1)

    Article Metrics

    Article views (568) PDF downloads(37) Cited by()

    /

    DownLoad:  Full-Size Img  PowerPoint
    Return
    Return