A journal of IEEE and CAA , publishes high-quality papers in English on original theoretical/experimental research and development in all areas of automation
Volume 13 Issue 4
Apr.  2026

IEEE/CAA Journal of Automatica Sinica

  • JCR Impact Factor: 19.2, Top 1 (SCI Q1)
    CiteScore: 28.2, Top 1% (Q1)
    Google Scholar h5-index: 95, TOP 5
Turn off MathJax
Article Contents
Y. Shan, H. Dong, Z. Han, J. Zhao, and H. Liu, “An approach integrating data-driven and mechanistic models for predicting and optimizing heating flue temperature of coke ovens,” IEEE/CAA J. Autom. Sinica, vol. 13, no. 4, pp. 955–965, Apr. 2026. doi: 10.1109/JAS.2025.125771
Citation: Y. Shan, H. Dong, Z. Han, J. Zhao, and H. Liu, “An approach integrating data-driven and mechanistic models for predicting and optimizing heating flue temperature of coke ovens,” IEEE/CAA J. Autom. Sinica, vol. 13, no. 4, pp. 955–965, Apr. 2026. doi: 10.1109/JAS.2025.125771

An Approach Integrating Data-Driven and Mechanistic Models for Predicting and Optimizing Heating Flue Temperature of Coke Ovens

doi: 10.1109/JAS.2025.125771
Funds:  This work was supported by the National Natural Science Foundation of China (62125302, 62394345, 62473073)
More Information
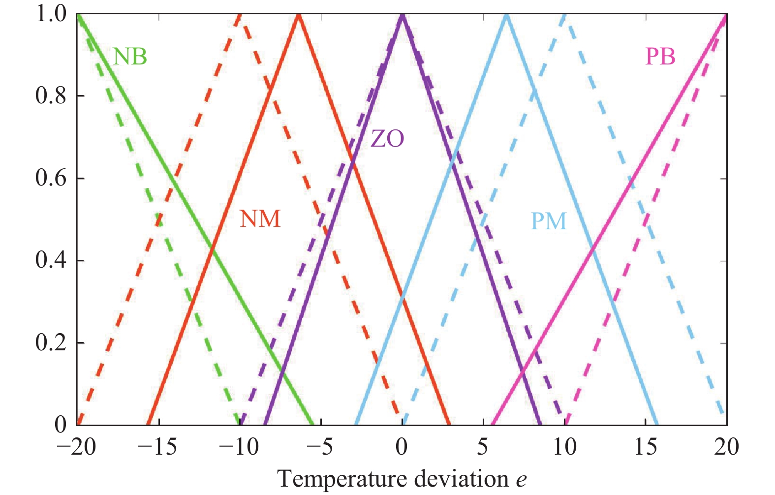
  • As one of the most important parameters for coke oven of steel industry, heating flue temperature plays a pivotal role in obtaining quality-guaranteed final product. While the complexity such as nonlinearity, time-delay, and coupling relationship with its heating fuel, in particular, blast furnace gas (BFG), brings about challenges for heating flue temperature prediction and optimization. As such, a data-mechanism combined driven systematic approach considering both internal and external influencing factors of coke oven is proposed in this study. To provide a solid dataset, a density-based spatial clustering of applications with noise (DBSCAN) based outlier detection algorithm is designed at first for preprocessing, which accommodates the data characteristics in practice. Then, taking full consideration of the periodic and trend features of flue temperature data, a neural network (NN) based multi-channel prediction model is constructed for temperature forecasting. In order to establish dynamic rather than static constraints for the following temperature optimization, a mechanism based controllable region assessment method is proposed. Finally, the flue temperature is optimized via a well-designed fuzzy-based approach along with swarm and evolutionary algorithms for parameter determination. Based on the real data, the simulation results demonstrate the superiority of the proposed systematic approach compared with other partially applied methods, so as to manifest its benefits for the operational optimization of coke oven in steel industry.

     

  • loading
  • [1]
    L. Hao, J. Zhang, H. Cheng, L. Xiao, F. Liao, and W. Hu, “Study on the influence of industrial coke oven size on the quality of metallurgical coke,” Processes, vol. 12, no. 8, p. 1637, Aug. 2024. doi: 10.3390/pr12081637
    [2]
    A. Babich and D. Senk, “Coke in the iron and steel industry,” in New Trends in Coal Conversion, I. Suárez-Ruiz, M. A. Diez, and F. Rubiera, Eds. Cambridge, USA: Woodhead Publishing, 2019, pp. 367−404.
    [3]
    H. Liu and W. Guo, “Comparative study on life cycle energy consumption, carbon emissions and economic performance of various coke-oven gas utilization schemes,” Fuel, vol. 332, p. 125706, Jan. 2023. doi: 10.1016/j.fuel.2022.125706
    [4]
    N. K. Berkutov, Y. V. Stepanov, N. K. Popova, Y. P. Petrenko, and V. V. Belov, “The relation between coke quality and blast-furnace performance,” Steel Transl., vol. 37, no. 5, pp. 438–441, May 2007.
    [5]
    N. I. Yurin, O. S. Morozov, O. L. Likhacheva, V. I. Yukhimenko, and S. A. Shtekker, “Influence of coke quality on blast-furnace performance,” Steel Transl., vol. 41, no. 11, pp. 924–927, Nov. 2011. doi: 10.3103/S0967091211110209
    [6]
    W. Lin, Y. Feng, and X. Zhang, “Numerical study of volatiles production, fluid flow and heat transfer in coke ovens,” Appl. Therm. Eng., vol. 81, pp. 353–358, Apr. 2015. doi: 10.1016/j.applthermaleng.2015.02.056
    [7]
    J. Smolka, L. Slupik, A. Fic, A. J. Nowak, and L. Kosyrczyk, “3-D coupled CFD model of a periodic operation of a heating flue and coke ovens in a coke oven battery,” Fuel, vol. 165, pp. 94–104, Feb. 2016. doi: 10.1016/j.fuel.2015.10.039
    [8]
    Y. He, G. Li, Y. Sun, G. Jiang, J. Kong, D. Jiang, and H. Liu, “Temperature intelligent prediction model of coke oven flue based on CBR and RBFNN,” Int. J. Comput. Sci. Math., vol. 9, no. 4, pp. 327–339, Jan. 2018. doi: 10.1504/ijcsm.2018.094654
    [9]
    L. Kosyrczyk, S. Stelmach, K. Gaska, A. Generowicz, N. Iwaszczuk, and D. Kardaś, “Optimization of thermal parameters of the coke oven battery by modified methodology of temperature measurement in heating flues as the management tool in the cokemaking industry,” Energies, vol. 14, no. 4, p. 904, Feb. 2021. doi: 10.3390/en14040904
    [10]
    G. Li, W. Miao, G. Jiang, Y. Fang, Z. Ju, and H. Liu, “Intelligent control model and its simulation of flue temperature in coke oven,” Discrete Cont. Dyn. Syst.-Ser. S, vol. 8, no. 6, pp. 1223–1237, Dec. 2015. doi: 10.3934/dcdss.2015.8.1223
    [11]
    X. Gao, X. Cai, and X. Yu, “Simulation research of genetic neural network based PID control for coke oven heating,” in Proc. 6th World Congr. Intelligent Control and Automation, Dalian, China, 2006, pp. 7706−7710.
    [12]
    L. Lian, “Coke oven flue temperature control based on particle swarm optimization and fuzzy-PID with variable universe,” J. Control Eng. Appl. Inform., vol. 25, no. 4, pp. 73–81, Dec. 2023. doi: 10.61416/ceai.v25i4.8598
    [13]
    Z. Tian, S. Li, and Y. Wang, “Coke oven flue temperature control based on improved implicit generalized predictive control,” J. Adv. Comput. Intell. Intell. Inform., vol. 22, no. 2, pp. 203–213, Mar. 2018. doi: 10.20965/jaciii.2018.p0203
    [14]
    Q. Lei, M. Wu, W.-H. Cao, and J.-H. She, “Operating-state-based intelligent control of combustion process of coke oven,” IFAC Proc. Volumes, vol. 41, no. 2, pp. 1851–1856, 2008. doi: 10.3182/20080706-5-KR-1001.00316
    [15]
    R. Zhang, A. Xue, and F. Gao, “Temperature control of industrial coke furnace using novel state space model predictive control,” IEEE Trans. Ind. Inform., vol. 10, no. 4, pp. 2084–2092, Nov. 2014. doi: 10.1109/TII.2014.2350452
    [16]
    Y. Hashimoto and H. Kase, “Thermal control of coke furnace by data-driven approach,” Digit. Chem. Eng., vol. 2, p. 100010, Mar. 2022. doi: 10.1016/j.dche.2022.100010
    [17]
    Z. Tian, “Predictive control of coke oven flue temperature based on orthogonal neural network,” Austr. J. Electr. Electron. Eng., vol. 17, no. 2, pp. 146–156, Aug. 2020. doi: 10.1080/1448837X.2020.1800193
    [18]
    Q. Lei, M. Wu, and J. She, “Online optimization of fuzzy controller for coke-oven combustion process based on dynamic just-in-time learning,” IEEE Trans. Autom. Sci. Eng., vol. 12, no. 4, pp. 1535–1540, Oct. 2015. doi: 10.1109/TASE.2015.2461024
    [19]
    Q. Lei, D. Zhu, X.-Z. Lai, and M. Wu, “Performance monitoring and parameter optimization of fuzzy controller in combustion process of coke Oven,” in Proc. 11th Asian Control Conf., Gold Coast, Australia, 2017, pp. 186−191.
    [20]
    H. Dong, Z. Han, J. Zhao, and W. Wang, “A dynamic security region construction method and its existence proof for gaseous system,” Appl. Energy, vol. 367, p. 123213, Aug. 2024. doi: 10.1016/j.apenergy.2024.123213
    [21]
    H. Gao, P. Zhao, and Z. Li, “Dynamic security region of natural gas systems in integrated electricity-gas systems,” Energy, vol. 289, p. 129822, Feb. 2024. doi: 10.1016/j.energy.2023.129822
    [22]
    C. Wang, W. Pedrycz, Z. W. Li, and M. C. Zhou, “Residual-driven fuzzy C-means clustering for image segmentation,” IEEE/CAA J. Autom. Sinica, vol. 8, no. 4, pp. 876–889, Apr. 2021. doi: 10.1109/JAS.2020.1003420
    [23]
    X. Tan, J. Yang, and S. Rahardja, “Sparse random projection isolation forest for outlier detection,” Pattern Recognit. Lett., vol. 163, pp. 65–73, Nov. 2022. doi: 10.1016/j.patrec.2022.09.015
    [24]
    H. Zhang, Y. Li, Z. Lv, A. K. Sangaiah, and T. Huang, “A real-time and ubiquitous network attack detection based on deep belief network and support vector machine,” IEEE/CAA J. Autom. Sinica, vol. 7, no. 3, pp. 790–799, May 2020. doi: 10.1109/jas.2020.1003099
    [25]
    Z. Zhang, Y. Qin, J. Wang, H. Li, and R. Deng, “Letter detecting the one-shot dummy attack on the power industrial control processes with an unsupervised data-driven approach,” IEEE/CAA J. Autom. Sinica, vol. 10, no. 2, pp. 550–553, Feb. 2023. doi: 10.1109/JAS.2023.123243
    [26]
    Z. Zhang, Z. Lei, M. Omura, H. Hasegawa, and S. Gao, “Dendritic learning-incorporated vision transformer for image recognition,” IEEE/CAA J. Autom. Sinica, vol. 11, no. 2, pp. 539–541, Feb. 2024. doi: 10.1109/JAS.2023.123978
    [27]
    J. Ma, L. Tang, F. Fan, J. Huang, X. Mei, and Y. Ma, “SwinFusion: Cross-domain long-range learning for general image fusion via swin transformer,” IEEE/CAA J. Autom. Sinica, vol. 9, no. 7, pp. 1200–1217, Jul. 2022. doi: 10.1109/JAS.2022.105686
    [28]
    S. K. Sharma, D. Jain, and P. Dhiman, “Comparative analysis of defuzzification techniques for fuzzy output,” J. Algebr. Stat., vol. 13, no. 2, pp. 874–882, Jun. 2022.
    [29]
    Y. Gong, J. Zhou, Q. Wu, M. C. Zhou, and J. Wen, “A length-adaptive non-dominated sorting genetic algorithm for Bi-objective high-dimensional feature selection,” IEEE/CAA J. Autom. Sinica, vol. 10, no. 9, pp. 1834–1844, Sep. 2023. doi: 10.1109/JAS.2023.123648
    [30]
    Z. Lei, S. Gao, Z. Zhang, H. Yang, and H. Li, “A chaotic local search-based particle swarm optimizer for large-scale complex wind farm layout optimization,” IEEE/CAA J. Autom. Sinica, vol. 10, no. 5, pp. 1168–1180, May 2023. doi: 10.1109/JAS.2023.123387
    [31]
    H. Liu, C. Lin, B. Gong, and D. Wu, “Automatic lane-level intersection map generation using low-channel roadside LiDAR,” IEEE/CAA J. Autom. Sinica, vol. 10, no. 5, pp. 1209–1222, May 2023. doi: 10.1109/JAS.2023.123183
    [32]
    E. F. Ohata, G. M. Bezerra, J. V. S. das Chagas, A. V. L. Neto, A. B. Albuquerque, V. H. C. de Albuquerque, and P. P. R. Filho, “Automatic detection of COVID-19 infection using chest X-ray images through transfer learning,” IEEE/CAA J. Autom. Sinica, vol. 8, no. 1, pp. 239–248, Jan. 2021. doi: 10.1109/iccmc51019.2021.9418398
    [33]
    Z. Li, I. Korovin, X. Shi, S. Gorbachev, N. Gorbacheva, W. Huang, and J. Cao, “A data-driven rutting depth short-time prediction model with metaheuristic optimization for asphalt pavements based on RIOHTrack,” IEEE/CAA J. Autom. Sinica, vol. 10, no. 10, pp. 1918–1932, Oct. 2023. doi: 10.1109/JAS.2023.123192

Catalog

    通讯作者: 陈斌, bchen63@163.com
    • 1. 

      沈阳化工大学材料科学与工程学院 沈阳 110142

    1. 本站搜索
    2. 百度学术搜索
    3. 万方数据库搜索
    4. CNKI搜索

    Figures(16)  / Tables(4)

    Article Metrics

    Article views (165) PDF downloads(8) Cited by()

    /

    DownLoad:  Full-Size Img  PowerPoint
    Return
    Return