A journal of IEEE and CAA , publishes high-quality papers in English on original theoretical/experimental research and development in all areas of automation

Vol. 11,  No. 7, 2024

Display Method:
REVIEWS
Nonlinear Filtering With Sample-Based Approximation Under Constrained Communication: Progress, Insights and Trends
Weihao Song, Zidong Wang, Zhongkui Li, Jianan Wang, Qing-Long Han
2024, 11(7): 1539-1556. doi: 10.1109/JAS.2023.123588
Abstract(2235) HTML (256) PDF(291)
Abstract:

The nonlinear filtering problem has enduringly been an active research topic in both academia and industry due to its ever-growing theoretical importance and practical significance. The main objective of nonlinear filtering is to infer the states of a nonlinear dynamical system of interest based on the available noisy measurements. In recent years, the advance of network communication technology has not only popularized the networked systems with apparent advantages in terms of installation, cost and maintenance, but also brought about a series of challenges to the design of nonlinear filtering algorithms, among which the communication constraint has been recognized as a dominating concern. In this context, a great number of investigations have been launched towards the networked nonlinear filtering problem with communication constraints, and many sample-based nonlinear filters have been developed to deal with the highly nonlinear and/or non-Gaussian scenarios. The aim of this paper is to provide a timely survey about the recent advances on the sample-based networked nonlinear filtering problem from the perspective of communication constraints. More specifically, we first review three important families of sample-based filtering methods known as the unscented Kalman filter, particle filter, and maximum correntropy filter. Then, the latest developments are surveyed with stress on the topics regarding incomplete/imperfect information, limited resources and cyber security. Finally, several challenges and open problems are highlighted to shed some lights on the possible trends of future research in this realm.

PAPERS
Prescribed Performance Tracking Control of Time-Delay Nonlinear Systems With Output Constraints
Jin-Xi Zhang, Kai-Di Xu, Qing-Guo Wang
2024, 11(7): 1557-1565. doi: 10.1109/JAS.2023.123831
Abstract(1933) HTML (232) PDF(224)
Abstract:

The problem of prescribed performance tracking control for unknown time-delay nonlinear systems subject to output constraints is dealt with in this paper. In contrast with related works, only the most fundamental requirements, i.e., boundedness and the local Lipschitz condition, are assumed for the allowable time delays. Moreover, we focus on the case where the reference is unknown beforehand, which renders the standard prescribed performance control designs under output constraints infeasible. To conquer these challenges, a novel robust prescribed performance control approach is put forward in this paper. Herein, a reverse tuning function is skillfully constructed and automatically generates a performance envelop for the tracking error. In addition, a unified performance analysis framework based on proof by contradiction and the barrier function is established to reveal the inherent robustness of the control system against the time delays. It turns out that the system output tracks the reference with a preassigned settling time and good accuracy, without constraint violations. A comparative simulation on a two-stage chemical reactor is carried out to illustrate the above theoretical findings.

Ultimately Bounded Output Feedback Control for Networked Nonlinear Systems With Unreliable Communication Channel: A Buffer-Aided Strategy
Yuhan Zhang, Zidong Wang, Lei Zou, Yun Chen, Guoping Lu
2024, 11(7): 1566-1578. doi: 10.1109/JAS.2024.124314
Abstract(1563) HTML (233) PDF(89)
Abstract:

This paper concerns ultimately bounded output-feedback control problems for networked systems with unknown nonlinear dynamics. Sensor-to-observer signal transmission is facilitated over networks that has communication constraints. These transmissions are carried out over an unreliable communication channel. In order to enhance the utilization rate of measurement data, a buffer-aided strategy is novelly employed to store historical measurements when communication networks are inaccessible. Using the neural network technique, a novel observer-based controller is introduced to address effects of signal transmission behaviors and unknown nonlinear dynamics. Through the application of stochastic analysis and Lyapunov stability, a joint framework is constructed for analyzing resultant system performance under the introduced controller. Subsequently, existence conditions for the desired output-feedback controller are delineated. The required parameters for the observer-based controller are then determined by resolving some specific matrix inequalities. Finally, a simulation example is showcased to confirm method efficacy.

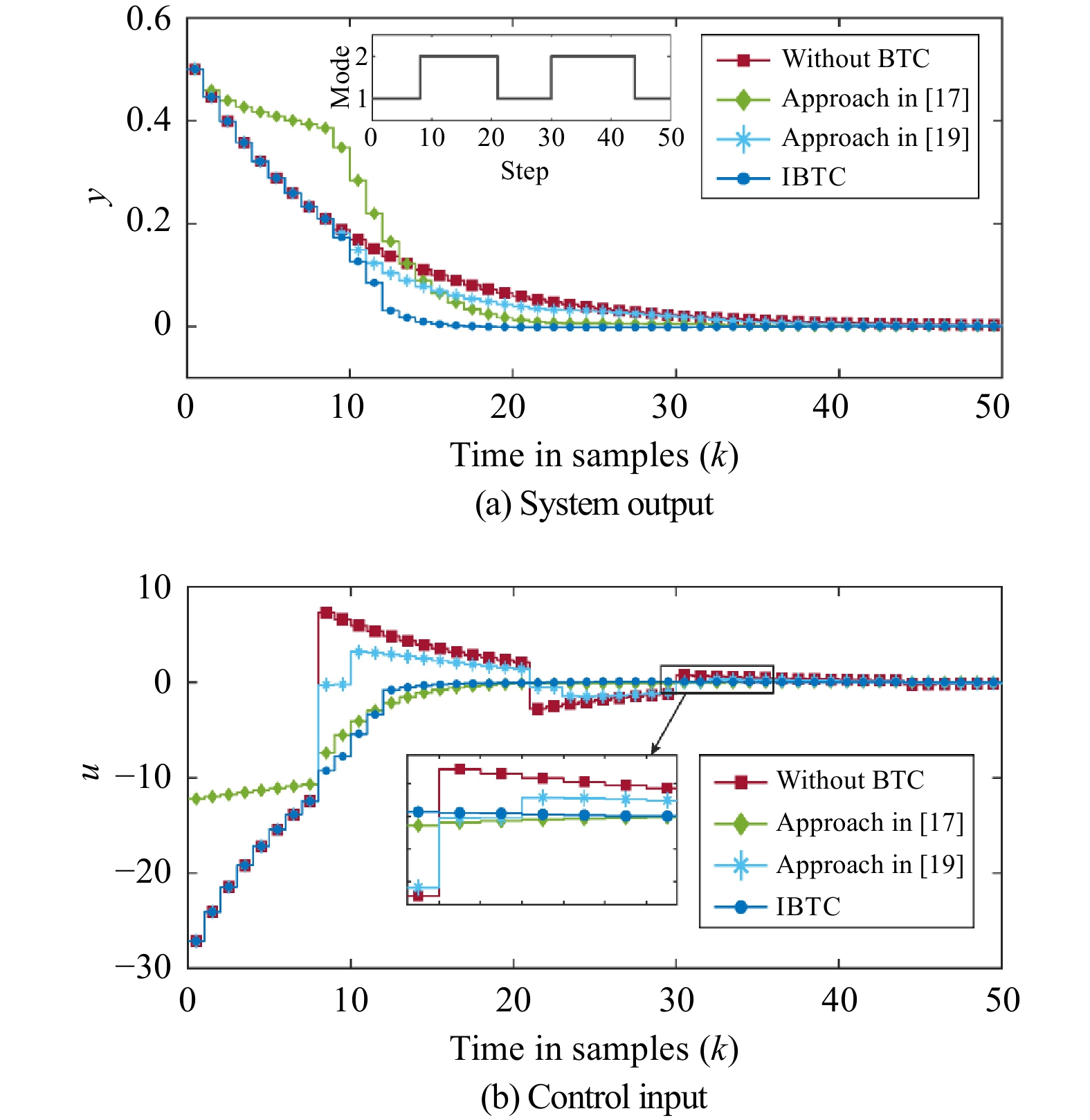
Interpolated Bumpless Transfer Control for Asynchronously Switched Linear Systems
Shengao Lu, Tong Wu, Lixian Zhang, Jianan Yang, Ye Liang
2024, 11(7): 1579-1590. doi: 10.1109/JAS.2023.124155
Abstract(1137) HTML (243) PDF(65)
Abstract:
This paper revisits the problem of bumpless transfer control (BTC) for discrete-time nondeterministic switched linear systems. The general case of asynchronous switching is considered for the first time in the field of BTC for switched systems. A new approach called interpolated bumpless transfer control (IBTC) is proposed, where the bumpless transfer controllers are formulated with the combination of the two adjacent mode-dependent controller gains, and are interpolated for finite steps once the switching is detected. In contrast with the existing approaches, IBTC does not necessarily run through the full interval of subsystems, as well as possesses the time-varying controller gains (with more flexibility and less conservatism) achieved from a control synthesis allowing for the stability and other performance of the whole switched system. Sufficient conditions ensuring stability and $ H_{\infty} $ performance of the underlying system by IBTC are developed, and numerical examples verify the theoretical findings.
Discovering Latent Variables for the Tasks With Confounders in Multi-Agent Reinforcement Learning
Kun Jiang, Wenzhang Liu, Yuanda Wang, Lu Dong, Changyin Sun
2024, 11(7): 1591-1604. doi: 10.1109/JAS.2024.124281
Abstract(2406) HTML (227) PDF(100)
Abstract:

Efficient exploration in complex coordination tasks has been considered a challenging problem in multi-agent reinforcement learning (MARL). It is significantly more difficult for those tasks with latent variables that agents cannot directly observe. However, most of the existing latent variable discovery methods lack a clear representation of latent variables and an effective evaluation of the influence of latent variables on the agent. In this paper, we propose a new MARL algorithm based on the soft actor-critic method for complex continuous control tasks with confounders. It is called the multi-agent soft actor-critic with latent variable (MASAC-LV) algorithm, which uses variational inference theory to infer the compact latent variables representation space from a large amount of offline experience. Besides, we derive the counterfactual policy whose input has no latent variables and quantify the difference between the actual policy and the counterfactual policy via a distance function. This quantified difference is considered an intrinsic motivation that gives additional rewards based on how much the latent variable affects each agent. The proposed algorithm is evaluated on two collaboration tasks with confounders, and the experimental results demonstrate the effectiveness of MASAC-LV compared to other baseline algorithms.

Neural Dynamics for Cooperative Motion Control of Omnidirectional Mobile Manipulators in the Presence of Noises: A Distributed Approach
Yufeng Lian, Xingtian Xiao, Jiliang Zhang, Long Jin, Junzhi Yu, Zhongbo Sun
2024, 11(7): 1605-1620. doi: 10.1109/JAS.2024.124425
Abstract(2061) HTML (268) PDF(99)
Abstract:

This paper presents a distributed scheme with limited communications, aiming to achieve cooperative motion control for multiple omnidirectional mobile manipulators (MOMMs). The proposed scheme extends the existing single-agent motion control to cater to scenarios involving the cooperative operation of MOMMs. Specifically, squeeze-free cooperative load transportation is achieved for the end-effectors of MOMMs by incorporating cooperative repetitive motion planning (CRMP), while guiding each individual to desired poses. Then, the distributed scheme is formulated as a time-varying quadratic programming (QP) and solved online utilizing a noise-tolerant zeroing neural network (NTZNN). Theoretical analysis shows that the NTZNN model converges globally to the optimal solution of QP in the presence of noise. Finally, the effectiveness of the control design is demonstrated by numerical simulations and physical platform experiments.

Distributed Optimal Variational GNE Seeking in Merely Monotone Games
Wangli He, Yanzhen Wang
2024, 11(7): 1621-1630. doi: 10.1109/JAS.2024.124284
Abstract(1192) HTML (184) PDF(68)
Abstract:

In this paper, the optimal variational generalized Nash equilibrium (v-GNE) seeking problem in merely monotone games with linearly coupled cost functions is investigated, in which the feasible strategy domain of each agent is coupled through an affine constraint. A distributed algorithm based on the hybrid steepest descent method is first proposed to seek the optimal v-GNE. Then, an accelerated algorithm with relaxation is proposed and analyzed, which has the potential to further improve the convergence speed to the optimal v-GNE. Some sufficient conditions in both algorithms are obtained to ensure the global convergence towards the optimal v-GNE. To illustrate the performance of the algorithms, numerical simulation is conducted based on a networked Nash-Cournot game with bounded market capacities.

Self-Triggered Set Stabilization of Boolean Control Networks and Its Applications
Rong Zhao, Jun-e Feng, Dawei Zhang
2024, 11(7): 1631-1642. doi: 10.1109/JAS.2023.124050
Abstract(1056) HTML (187) PDF(51)
Abstract:

Set stabilization is one of the essential problems in engineering systems, and self-triggered control (STC) can save the storage space for interactive information, and can be successfully applied in networked control systems with limited communication resources. In this study, the set stabilization problem and STC design of Boolean control networks are investigated via the semi-tensor product technique. On the one hand, the largest control invariant subset is calculated in terms of the strongly connected components of the state transition graph, by which a graph-theoretical condition for set stabilization is derived. On the other hand, a characteristic function is exploited to determine the triggering mechanism and feasible controls. Based on this, the minimum-time and minimum-triggering open-loop, state-feedback and output-feedback STCs for set stabilization are designed, respectively. As classic applications of self-triggered set stabilization, self-triggered synchronization, self-triggered output tracking and self-triggered output regulation are discussed as well. Additionally, several practical examples are given to illustrate the effectiveness of theoretical results.

Multi-Robot Collaborative Hunting in Cluttered Environments With Obstacle-Avoiding Voronoi Cells
Meng Zhou, Zihao Wang, Jing Wang, Zhengcai Cao
2024, 11(7): 1643-1655. doi: 10.1109/JAS.2023.124041
Abstract(2240) HTML (251) PDF(143)
Abstract:

This work proposes an online collaborative hunting strategy for multi-robot systems based on obstacle-avoiding Voronoi cells in a complex dynamic environment. This involves firstly designing the construction method using a support vector machine (SVM) based on the definition of buffered Voronoi cells (BVCs). Based on the safe collision-free region of the robots, the boundary weights between the robots and the obstacles are dynamically updated such that the robots are tangent to the buffered Voronoi safety areas without intersecting with the obstacles. Then, the robots are controlled to move within their own buffered Voronoi safety area to achieve collision-avoidance with other robots and obstacles. The next step involves proposing a hunting method that optimizes collaboration between the pursuers and evaders. Some hunting points are generated and distributed evenly around a circle. Next, the pursuers are assigned to match the optimal points based on the Hungarian algorithm. Then, a hunting controller is designed to improve the containment capability and minimize containment time based on collision risk. Finally, simulation results have demonstrated that the proposed cooperative hunting method is more competitive in terms of time and travel distance.

Finite-Time Stabilization for Constrained Discrete-time Systems by Using Model Predictive Control
Bing Zhu, Xiaozhuoer Yuan, Li Dai, Zhiwen Qiang
2024, 11(7): 1656-1666. doi: 10.1109/JAS.2024.124212
Abstract(1859) HTML (253) PDF(188)
Abstract:

In this paper, a model predictive control (MPC) framework is proposed for finite-time stabilization of linear and nonlinear discrete-time systems subject to state and control constraints. The proposed MPC framework guarantees the finite-time convergence property by assigning the control horizon equal to the dimension of the overall system, and only penalizing the terminal cost in the optimization, where the stage costs are not penalized explicitly. A terminal inequality constraint is added to guarantee the feasibility and stability of the closed-loop system. Initial feasibility can be improved via augmentation. The finite-time convergence of the proposed MPC is proved theoretically, and is supported by simulation examples.

Low-Rank Optimal Transport for Robust Domain Adaptation
Bingrong Xu, Jianhua Yin, Cheng Lian, Yixin Su, Zhigang Zeng
2024, 11(7): 1667-1680. doi: 10.1109/JAS.2024.124344
Abstract(1745) HTML (272) PDF(81)
Abstract:

When encountering the distribution shift between the source (training) and target (test) domains, domain adaptation attempts to adjust the classifiers to be capable of dealing with different domains. Previous domain adaptation research has achieved a lot of success both in theory and practice under the assumption that all the examples in the source domain are well-labeled and of high quality. However, the methods consistently lose robustness in noisy settings where data from the source domain have corrupted labels or features which is common in reality. Therefore, robust domain adaptation has been introduced to deal with such problems. In this paper, we attempt to solve two interrelated problems with robust domain adaptation: distribution shift across domains and sample noises of the source domain. To disentangle these challenges, an optimal transport approach with low-rank constraints is applied to guide the domain adaptation model training process to avoid noisy information influence. For the domain shift problem, the optimal transport mechanism can learn the joint data representations between the source and target domains using a measurement of discrepancy and preserve the discriminative information. The rank constraint on the transport matrix can help recover the corrupted subspace structures and eliminate the noise to some extent when dealing with corrupted source data. The solution to this relaxed and regularized optimal transport framework is a convex optimization problem that can be solved using the Augmented Lagrange Multiplier method, whose convergence can be mathematically proved. The effectiveness of the proposed method is evaluated through extensive experiments on both synthetic and real-world datasets.

A LiDAR Point Clouds Dataset of Ships in a Maritime Environment
Qiuyu Zhang, Lipeng Wang, Hao Meng, Wen Zhang, Genghua Huang
2024, 11(7): 1681-1694. doi: 10.1109/JAS.2024.124275
Abstract(2217) HTML (365) PDF(207)
Abstract:

For the first time, this article introduces a LiDAR Point Clouds Dataset of Ships composed of both collected and simulated data to address the scarcity of LiDAR data in maritime applications. The collected data are acquired using specialized maritime LiDAR sensors in both inland waterways and wide-open ocean environments. The simulated data is generated by placing a ship in the LiDAR coordinate system and scanning it with a redeveloped Blensor that emulates the operation of a LiDAR sensor equipped with various laser beams. Furthermore, we also render point clouds for foggy and rainy weather conditions. To describe a realistic shipping environment, a dynamic tail wave is modeled by iterating the wave elevation of each point in a time series. Finally, networks serving small objects are migrated to ship applications by feeding our dataset. The positive effect of simulated data is described in object detection experiments, and the negative impact of tail waves as noise is verified in single-object tracking experiments. The Dataset is available at

https://github.com/zqy411470859/ship_dataset

.

LETTERS
Long Duration Coverage Control of Multiple Robotic Surface Vehicles Under Battery Energy Constraints
Shengnan Gao, Zhouhua Peng, Haoliang Wang, Lu Liu, Dan Wang
2024, 11(7): 1695-1698. doi: 10.1109/JAS.2023.123438
Abstract(1379) HTML (236) PDF(51)
Abstract:
Secure Tracking Control via Fixed-Time Convergent Reinforcement Learning for a UAV CPS
Zhenyu Gong, Feisheng Yang
2024, 11(7): 1699-1701. doi: 10.1109/JAS.2023.124149
Abstract(1389) HTML (266) PDF(128)
Abstract:
Deep Reinforcement Learning or Lyapunov Analysis? A Preliminary Comparative Study on Event-Triggered Optimal Control
Jingwei Lu, Lefei Li, Qinglai Wei, Fei-Yue Wang
2024, 11(7): 1702-1704. doi: 10.1109/JAS.2024.124434
Abstract(645) HTML (190) PDF(82)
Abstract:
Privacy-Preserving Average Consensus Algorithm Under Round-Robin Scheduling Protocol
Yingjiang Guo, Wenying Xu, Haodong Wang, Jianquan Lu, Shengli Du
2024, 11(7): 1705-1707. doi: 10.1109/JAS.2023.123921
Abstract(838) HTML (204) PDF(66)
Abstract:
Fuzzy-Inverse-Model-Based Networked Tracking Control Frameworks of Time-Varying Signals
Shiwen Tong, Dianwei Qian, Keya Yuan, Dexin Liu, Yuan Li, Jiancheng Zhang
2024, 11(7): 1708-1710. doi: 10.1109/JAS.2024.124293
Abstract(856) HTML (234) PDF(50)
Abstract:
Disturbance Observer-Based Predictive Tracking Control of Uncertain HOFA Cyber-Physical Systems
Da-Wei Zhang, Guo-Ping Liu
2024, 11(7): 1711-1713. doi: 10.1109/JAS.2023.124080
Abstract(762) HTML (196) PDF(64)
Abstract:
Nonlinear Robust Stabilization of Ship Roll by Convex Optimization
Jiafeng Yu, Qinsheng Li, Weijie Zhou
2024, 11(7): 1714-1716. doi: 10.1109/JAS.2016.7510163
Abstract(555) HTML (269) PDF(36)
Abstract:
SDGNN: Symmetry-Preserving Dual-Stream Graph Neural Networks
Jiufang Chen, Ye Yuan, Xin Luo
2024, 11(7): 1717-1719. doi: 10.1109/JAS.2024.124410
Abstract(778) HTML (228) PDF(70)
Abstract:
A Multi-AGV Routing Planning Method Based on Deep Reinforcement Learning and Recurrent Neural Network
Yishuai Lin, Gang Hu, Liang Wang, Qingshan Li, Jiawei Zhu
2024, 11(7): 1720-1722. doi: 10.1109/JAS.2023.123300
Abstract(1125) HTML (163) PDF(141)
Abstract: