A journal of IEEE and CAA , publishes high-quality papers in English on original theoretical/experimental research and development in all areas of automation

Vol. 11,  No. 6, 2024

Display Method:
PERSPECTIVE
The Journey/DAO/TAO of Embodied Intelligence: From Large Models to Foundation Intelligence and Parallel Intelligence
Tianyu Shen, Jinlin Sun, Shihan Kong, Yutong Wang, Juanjuan Li, Xuan Li, Fei-Yue Wang
2024, 11(6): 1313-1316. doi: 10.1109/JAS.2024.124407
Abstract(2157) HTML (219) PDF(271)
Abstract:
PAPERS
Uncertainty-Aware Deep Learning: A Promising Tool for Trustworthy Fault Diagnosis
Jiaxin Ren, Jingcheng Wen, Zhibin Zhao, Ruqiang Yan, Xuefeng Chen, Asoke K. Nandi
2024, 11(6): 1317-1330. doi: 10.1109/JAS.2024.124290
Abstract(3597) HTML (408) PDF(311)
Abstract:

Recently, intelligent fault diagnosis based on deep learning has been extensively investigated, exhibiting state-of-the-art performance. However, the deep learning model is often not truly trusted by users due to the lack of interpretability of “black box”, which limits its deployment in safety-critical applications. A trusted fault diagnosis system requires that the faults can be accurately diagnosed in most cases, and the human in the decision-making loop can be found to deal with the abnormal situation when the models fail. In this paper, we explore a simplified method for quantifying both aleatoric and epistemic uncertainty in deterministic networks, called SAEU. In SAEU, Multivariate Gaussian distribution is employed in the deep architecture to compensate for the shortcomings of complexity and applicability of Bayesian neural networks. Based on the SAEU, we propose a unified uncertainty-aware deep learning framework (UU-DLF) to realize the grand vision of trustworthy fault diagnosis. Moreover, our UU-DLF effectively embodies the idea of “humans in the loop”, which not only allows for manual intervention in abnormal situations of diagnostic models, but also makes corresponding improvements on existing models based on traceability analysis. Finally, two experiments conducted on the gearbox and aero-engine bevel gears are used to demonstrate the effectiveness of UU-DLF and explore the effective reasons behind.

Mapping Network-Coordinated Stacked Gated Recurrent Units for Turbulence Prediction
Zhiming Zhang, Shangce Gao, MengChu Zhou, Mengtao Yan, Shuyang Cao
2024, 11(6): 1331-1341. doi: 10.1109/JAS.2024.124335
Abstract(2269) HTML (131) PDF(94)
Abstract:

Accurately predicting fluid forces acting on the surface of a structure is crucial in engineering design. However, this task becomes particularly challenging in turbulent flow, due to the complex and irregular changes in the flow field. In this study, we propose a novel deep learning method, named mapping network-coordinated stacked gated recurrent units (MSU), for predicting pressure on a circular cylinder from velocity data. Specifically, our coordinated learning strategy is designed to extract the most critical velocity point for prediction, a process that has not been explored before. In our experiments, MSU extracts one point from a velocity field containing 121 points and utilizes this point to accurately predict 100 pressure points on the cylinder. This method significantly reduces the workload of data measurement in practical engineering applications. Our experimental results demonstrate that MSU predictions are highly similar to the real turbulent data in both spatio-temporal and individual aspects. Furthermore, the comparison results show that MSU predicts more precise results, even outperforming models that use all velocity field points. Compared with state-of-the-art methods, MSU has an average improvement of more than 45% in various indicators such as root mean square error (RMSE). Through comprehensive and authoritative physical verification, we established that MSU’s prediction results closely align with pressure field data obtained in real turbulence fields. This confirmation underscores the considerable potential of MSU for practical applications in real engineering scenarios. The code is available at

https://github.com/zhangzm0128/MSU

.

A Two-Layer Encoding Learning Swarm Optimizer Based on Frequent Itemsets for Sparse Large-Scale Multi-Objective Optimization
Sheng Qi, Rui Wang, Tao Zhang, Xu Yang, Ruiqing Sun, Ling Wang
2024, 11(6): 1342-1357. doi: 10.1109/JAS.2024.124341
Abstract(2193) HTML (185) PDF(79)
Abstract:

Traditional large-scale multi-objective optimization algorithms (LSMOEAs) encounter difficulties when dealing with sparse large-scale multi-objective optimization problems (SLMOPs) where most decision variables are zero. As a result, many algorithms use a two-layer encoding approach to optimize binary variable Mask and real variable Dec separately. Nevertheless, existing optimizers often focus on locating non-zero variable positions to optimize the binary variables Mask. However, approximating the sparse distribution of real Pareto optimal solutions does not necessarily mean that the objective function is optimized. In data mining, it is common to mine frequent itemsets appearing together in a dataset to reveal the correlation between data. Inspired by this, we propose a novel two-layer encoding learning swarm optimizer based on frequent itemsets (TELSO) to address these SLMOPs. TELSO mined the frequent terms of multiple particles with better target values to find mask combinations that can obtain better objective values for fast convergence. Experimental results on five real-world problems and eight benchmark sets demonstrate that TELSO outperforms existing state-of-the-art sparse large-scale multi-objective evolutionary algorithms (SLMOEAs) in terms of performance and convergence speed.

Asynchronous Learning-Based Output Feedback Sliding Mode Control for Semi-Markov Jump Systems: A Descriptor Approach
Zheng Wu, Yiyun Zhao, Fanbiao Li, Tao Yang, Yang Shi, Weihua Gui
2024, 11(6): 1358-1369. doi: 10.1109/JAS.2024.124416
Abstract(1249) HTML (126) PDF(102)
Abstract:

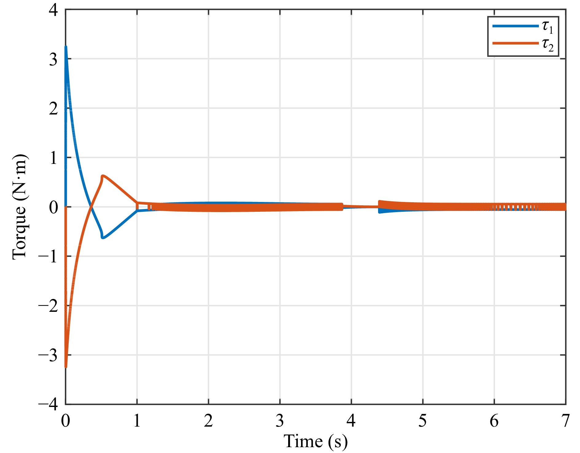
This paper presents an asynchronous output-feedback control strategy of semi-Markovian systems via sliding mode-based learning technique. Compared with most literature results that require exact prior knowledge of system state and mode information, an asynchronous output-feedback sliding surface is adopted in the case of incompletely available state and non-synchronization phenomenon. The holonomic dynamics of the sliding mode are characterized by a descriptor system in which the switching surface is regarded as the fast subsystem and the system dynamics are viewed as the slow subsystem. Based upon the co-occurrence of two subsystems, the sufficient stochastic admissibility criterion of the holonomic dynamics is derived by utilizing the characteristics of cumulative distribution functions. Furthermore, a recursive learning controller is formulated to guarantee the reachability of the sliding manifold and realize the chattering reduction of the asynchronous switching and sliding motion. Finally, the proposed theoretical method is substantiated through two numerical simulations with the practical continuous stirred tank reactor and F-404 aircraft engine model, respectively.

Attention Markets of Blockchain-Based Decentralized Autonomous Organizations
Juanjuan Li, Rui Qin, Sangtian Guan, Wenwen Ding, Fei Lin, Fei-Yue Wang
2024, 11(6): 1370-1380. doi: 10.1109/JAS.2024.124491
Abstract(1739) HTML (112) PDF(62)
Abstract:

The attention is a scarce resource in decentralized autonomous organizations (DAOs), as their self-governance relies heavily on the attention-intensive decision-making process of “proposal and voting”. To prevent the negative effects of proposers’ attention-capturing strategies that contribute to the “tragedy of the commons” and ensure an efficient distribution of attention among multiple proposals, it is necessary to establish a market-driven allocation scheme for DAOs’ attention. First, the Harberger tax-based attention markets are designed to facilitate its allocation via continuous and automated trading, where the individualized Harberger tax rate (HTR) determined by the proposers’ reputation is adopted. Then, the Stackelberg game model is formulated in these markets, casting attention to owners in the role of leaders and other competitive proposers as followers. Its equilibrium trading strategies are also discussed to unravel the intricate dynamics of attention pricing. Moreover, utilizing the single-round Stackelberg game as an illustrative example, the existence of Nash equilibrium trading strategies is demonstrated. Finally, the impact of individualized HTR on trading strategies is investigated, and results suggest that it has a negative correlation with leaders’ self-accessed prices and ownership duration, but its effect on their revenues varies under different conditions. This study is expected to provide valuable insights into leveraging attention resources to improve DAOs’ governance and decision-making process.

Hyperbolic Tangent Function-Based Protocols for Global/Semi-Global Finite-Time Consensus of Multi-Agent Systems
Zongyu Zuo, Jingchuan Tang, Ruiqi Ke, Qing-Long Han
2024, 11(6): 1381-1397. doi: 10.1109/JAS.2024.124485
Abstract(2139) HTML (155) PDF(129)
Abstract:

This paper investigates the problem of global/semi-global finite-time consensus for integrator-type multi-agent systems. New hyperbolic tangent function-based protocols are proposed to achieve global and semi-global finite-time consensus for both single-integrator and double-integrator multi-agent systems with leaderless undirected and leader-following directed communication topologies. These new protocols not only provide an explicit upper-bound estimate for the settling time, but also have a user-prescribed bounded control level. In addition, compared to some existing results based on the saturation function, the proposed approach considerably simplifies the protocol design and the stability analysis. Illustrative examples and an application demonstrate the effectiveness of the proposed protocols.

Adaptive Event-Triggered Time-Varying Output Group Formation Containment Control of Heterogeneous Multiagent Systems
Lihong Feng, Bonan Huang, Jiayue Sun, Qiuye Sun, Xiangpeng Xie
2024, 11(6): 1398-1409. doi: 10.1109/JAS.2024.124260
Abstract(2963) HTML (116) PDF(164)
Abstract:

In this paper, a class of time-varying output group formation containment control problem of general linear heterogeneous multiagent systems (MASs) is investigated under directed topology. The MAS is composed of a number of tracking leaders, formation leaders and followers, where two different types of leaders are used to provide reference trajectories for movement and to achieve certain formations, respectively. Firstly, compensators are designed whose states are estimations of tracking leaders, based on which, a controller is developed for each formation leader to accomplish the expected formation. Secondly, two event-triggered compensators are proposed for each follower to evaluate the state and formation information of the formation leaders in the same group, respectively. Subsequently, a control protocol is designed for each follower, utilizing the output information, to guide the output towards the convex hull generated by the formation leaders within the group. Next, the triggering sequence in this paper is decomposed into two sequences, and the inter-event intervals of these two triggering conditions are provided to rule out the Zeno behavior. Finally, a numerical simulation is introduced to confirm the validity of the proposed results.

Fixed-Time Antidisturbance Consensus Tracking for Nonlinear Multiagent Systems With Matching and Mismatching Disturbances
Xiangmin Tan, Chunyan Hu, Guanzhen Cao, Qinglai Wei, Wei Li, Bo Han
2024, 11(6): 1410-1423. doi: 10.1109/JAS.2024.124461
Abstract(1336) HTML (125) PDF(113)
Abstract:

In this paper, fixed-time consensus tracking for multiagent systems (MASs) with dynamics in the form of strict feedback affine nonlinearity is addressed. A fixed-time antidisturbance consensus tracking protocol is proposed, which consists of a distributed fixed-time observer, a fixed-time disturbance observer, a nonsmooth antidisturbance backstepping controller, and the fixed-time stability analysis is conducted by using the Lyapunov theory correspondingly. This paper includes three main improvements. First, a distributed fixed-time observer is developed for each follower to obtain an estimate of the leader’s output by utilizing the topology of the communication network. Second, a fixed-time disturbance observer is given to estimate the lumped disturbances for feedforward compensation. Finally, a nonsmooth antidisturbance backstepping tracking controller with feedforward compensation for lumped disturbances is designed. In order to mitigate the “explosion of complexity” in the traditional backstepping approach, we have implemented a modified nonsmooth command filter to enhance the performance of the closed-loop system. The simulation results show that the proposed method is effective.

A Non-Parametric Scheme for Identifying Data Characteristic Based on Curve Similarity Matching
Quanbo Ge, Yang Cheng, Hong Li, Ziyi Ye, Yi Zhu, Gang Yao
2024, 11(6): 1424-1437. doi: 10.1109/JAS.2024.124359
Abstract(1149) HTML (121) PDF(38)
Abstract:

For accurately identifying the distribution characteristic of Gaussian-like noises in unmanned aerial vehicle (UAV) state estimation, this paper proposes a non-parametric scheme based on curve similarity matching. In the framework of the proposed scheme, a Parzen window (kernel density estimation, KDE) method on sliding window technology is applied for roughly estimating the sample probability density, a precise data probability density function (PDF) model is constructed with the least square method on K-fold cross validation, and the testing result based on evaluation method is obtained based on some data characteristic analyses of curve shape, abruptness and symmetry. Some comparison simulations with classical methods and UAV flight experiment shows that the proposed scheme has higher recognition accuracy than classical methods for some kinds of Gaussian-like data, which provides better reference for the design of Kalman filter (KF) in complex water environment.

Industry-Oriented Detection Method of PCBA Defects Using Semantic Segmentation Models
Yang Li, Xiao Wang, Zhifan He, Ze Wang, Ke Cheng, Sanchuan Ding, Yijing Fan, Xiaotao Li, Yawen Niu, Shanpeng Xiao, Zhenqi Hao, Bin Gao, Huaqiang Wu
2024, 11(6): 1438-1446. doi: 10.1109/JAS.2024.124422
Abstract(2142) HTML (224) PDF(115)
Abstract:

Automated optical inspection (AOI) is a significant process in printed circuit board assembly (PCBA) production lines which aims to detect tiny defects in PCBAs. Existing AOI equipment has several deficiencies including low throughput, large computation cost, high latency, and poor flexibility, which limits the efficiency of online PCBA inspection. In this paper, a novel PCBA defect detection method based on a lightweight deep convolution neural network is proposed. In this method, the semantic segmentation model is combined with a rule-based defect recognition algorithm to build up a defect detection framework. To improve the performance of the model, extensive real PCBA images are collected from production lines as datasets. Some optimization methods have been applied in the model according to production demand and enable integration in lightweight computing devices. Experiment results show that the production line using our method realizes a throughput more than three times higher than traditional methods. Our method can be integrated into a lightweight inference system and promote the flexibility of AOI. The proposed method builds up a general paradigm and excellent example for model design and optimization oriented towards industrial requirements.

Guaranteed Cost Attitude Tracking Control for Uncertain Quadrotor Unmanned Aerial Vehicle Under Safety Constraints
Qian Ma, Peng Jin, Frank L. Lewis
2024, 11(6): 1447-1457. doi: 10.1109/JAS.2024.124317
Abstract(2571) HTML (125) PDF(155)
Abstract:

In this paper, guaranteed cost attitude tracking control for uncertain quadrotor unmanned aerial vehicle (QUAV) under safety constraints is studied. First, an augmented system is constructed by the tracking error system and reference system. This transformation aims to convert the tracking control problem into a stabilization control problem. Then, control barrier function and disturbance attenuation function are designed to characterize the violations of safety constraints and tolerance of uncertain disturbances, and they are incorporated into the reward function as penalty items. Based on the modified reward function, the problem is simplified as the optimal regulation problem of the nominal augmented system, and a new Hamilton-Jacobi-Bellman equation is developed. Finally, critic-only reinforcement learning algorithm with a concurrent learning technique is employed to solve the Hamilton-Jacobi-Bellman equation and obtain the optimal controller. The proposed algorithm can not only ensure the reward function within an upper bound in the presence of uncertain disturbances, but also enforce safety constraints. The performance of the algorithm is evaluated by the numerical simulation.

Multiobjective Differential Evolution for Higher-Dimensional Multimodal Multiobjective Optimization
Jing Liang, Hongyu Lin, Caitong Yue, Ponnuthurai Nagaratnam Suganthan, Yaonan Wang
2024, 11(6): 1458-1475. doi: 10.1109/JAS.2024.124377
Abstract(1729) HTML (141) PDF(168)
Abstract:

In multimodal multiobjective optimization problems (MMOPs), there are several Pareto optimal solutions corresponding to the identical objective vector. This paper proposes a new differential evolution algorithm to solve MMOPs with higher-dimensional decision variables. Due to the increase in the dimensions of decision variables in real-world MMOPs, it is difficult for current multimodal multiobjective optimization evolutionary algorithms (MMOEAs) to find multiple Pareto optimal solutions. The proposed algorithm adopts a dual-population framework and an improved environmental selection method. It utilizes a convergence archive to help the first population improve the quality of solutions. The improved environmental selection method enables the other population to search the remaining decision space and reserve more Pareto optimal solutions through the information of the first population. The combination of these two strategies helps to effectively balance and enhance convergence and diversity performance. In addition, to study the performance of the proposed algorithm, a novel set of multimodal multiobjective optimization test functions with extensible decision variables is designed. The proposed MMOEA is certified to be effective through comparison with six state-of-the-art MMOEAs on the test functions.

A Novel Prescribed-Performance Path-Following Problem for Non-Holonomic Vehicles
Zirui Chen, Jingchuan Tang, Zongyu Zuo
2024, 11(6): 1476-1484. doi: 10.1109/JAS.2024.124311
Abstract(1746) HTML (125) PDF(94)
Abstract:

The issue of achieving prescribed-performance path following in robotics is addressed in this paper, where the aim is to ensure that a desired path within a specified region is accurately converged to by the controlled vehicle. In this context, a novel form of the prescribed performance guiding vector field is introduced, accompanied by a prescribed-time sliding mode control approach. Furthermore, the interdependence among the prescribed parameters is discussed. To validate the effectiveness of the proposed method, numerical simulations are presented to demonstrate the efficacy of the approach.

Accelerated Primal-Dual Projection Neurodynamic Approach With Time Scaling for Linear and Set Constrained Convex Optimization Problems
You Zhao, Xing He, Mingliang Zhou, Tingwen Huang
2024, 11(6): 1485-1498. doi: 10.1109/JAS.2024.124380
Abstract(1770) HTML (121) PDF(59)
Abstract:

The Nesterov accelerated dynamical approach serves as an essential tool for addressing convex optimization problems with accelerated convergence rates. Most previous studies in this field have primarily concentrated on unconstrained smooth convex optimization problems. In this paper, on the basis of primal-dual dynamical approach, Nesterov accelerated dynamical approach, projection operator and directional gradient, we present two accelerated primal-dual projection neurodynamic approaches with time scaling to address convex optimization problems with smooth and nonsmooth objective functions subject to linear and set constraints, which consist of a second-order ODE (ordinary differential equation) or differential conclusion system for the primal variables and a first-order ODE for the dual variables. By satisfying specific conditions for time scaling, we demonstrate that the proposed approaches have a faster convergence rate. This only requires assuming convexity of the objective function. We validate the effectiveness of our proposed two accelerated primal-dual projection neurodynamic approaches through numerical experiments.

Adaptive Space Expansion for Fast Motion Planning
Shenglei Shi, Jiankui Chen
2024, 11(6): 1499-1514. doi: 10.1109/JAS.2023.123765
Abstract(2119) HTML (105) PDF(68)
Abstract:

The sampling process is very inefficient for sampling-based motion planning algorithms that excess random samples are generated in the planning space. In this paper, we propose an adaptive space expansion (ASE) approach which belongs to the informed sampling category to improve the sampling efficiency for quickly finding a feasible path. The ASE method enlarges the search space gradually and restrains the sampling process in a sequence of small hyper-ellipsoid ring subsets to avoid exploring the unnecessary space. Specifically, for a constructed small hyper-ellipsoid ring subset, if the algorithm cannot find a feasible path in it, then the subset is expanded. Thus, the ASE method successively does space exploring and space expansion until the final path has been found. Besides, we present a particular construction method of the hyper-ellipsoid ring that uniform random samples can be directly generated in it. At last, we present a feasible motion planner BiASE and an asymptotically optimal motion planner BiASE* using the bidirectional exploring method and the ASE strategy. Simulations demonstrate that the computation speed is much faster than that of the state-of-the-art algorithms. The source codes are available at

https://github.com/shshlei/ompl

.

LETTERS
Input-to-State Stability of Impulsive Switched Systems Involving Uncertain Impulse-Switching Moments
Chang Liu, Wenlu Liu, Tengda Wei, Xiaodi Li
2024, 11(6): 1515-1517. doi: 10.1109/JAS.2023.124104
Abstract(912) HTML (194) PDF(46)
Abstract:
Prescribed-Time Nash Equilibrium Seeking for Pursuit-Evasion Game
Lei Xue, Jianfeng Ye, Yongbao Wu, Jian Liu, D. C. Wunsch
2024, 11(6): 1518-1520. doi: 10.1109/JAS.2023.124077
Abstract(1288) HTML (117) PDF(38)
Abstract:
New Second-Level-Discrete Zeroing Neural Network for Solving Dynamic Linear System
Min Yang
2024, 11(6): 1521-1523. doi: 10.1109/JAS.2023.123384
Abstract(705) HTML (102) PDF(23)
Abstract:
Partially-Observed Maximum Principle for Backward Stochastic Differential Delay Equations
Shuang Wu
2024, 11(6): 1524-1526. doi: 10.1109/JAS.2017.7510472
Abstract(612) HTML (212) PDF(28)
Abstract:
Recurrent Neural Network Inspired Finite-Time Control Design
Jianan Liu, Shihua Li, Rongjie Liu
2024, 11(6): 1527-1529. doi: 10.1109/JAS.2023.123297
Abstract(997) HTML (83) PDF(81)
Abstract:
Gait Recognition Under Different Clothing Conditions via Deterministic Learning
Muqing Deng, Cong Wang
2024, 11(6): 1530-1532. doi: 10.1109/JAS.2018.7511096
Abstract(485) HTML (237) PDF(19)
Abstract:
Distributed Minimum-Energy Containment Control of Continuous-Time Multi-Agent Systems by Inverse Optimal Control
Fei Yan, Xiangbiao Liu, Tao Feng
2024, 11(6): 1533-1535. doi: 10.1109/JAS.2022.106067
Abstract(1108) HTML (248) PDF(85)
Abstract:
A Local-Global Attention Fusion Framework With Tensor Decomposition for Medical Diagnosis
Peishu Wu, Han Li, Liwei Hu, Jirong Ge, Nianyin Zeng
2024, 11(6): 1536-1538. doi: 10.1109/JAS.2023.124167
Abstract(1216) HTML (106) PDF(58)
Abstract: