A journal of IEEE and CAA , publishes high-quality papers in English on original theoretical/experimental research and development in all areas of automation

Vol. 11,  No. 5, 2024

Display Method:
REVIEWS
Intuitive Human-Robot-Environment Interaction With EMG Signals: A Review
Dezhen Xiong, Daohui Zhang, Yaqi Chu, Yiwen Zhao, Xingang Zhao
2024, 11(5): 1075-1091. doi: 10.1109/JAS.2024.124329
Abstract(3793) HTML (339) PDF(314)
Abstract:

A long history has passed since electromyography (EMG) signals have been explored in human-centered robots for intuitive interaction. However, it still has a gap between scientific research and real-life applications. Previous studies mainly focused on EMG decoding algorithms, leaving a dynamic relationship between the human, robot, and uncertain environment in real-life scenarios seldomly concerned. To fill this gap, this paper presents a comprehensive review of EMG-based techniques in human-robot-environment interaction (HREI) systems. The general processing framework is summarized, and three interaction paradigms, including direct control, sensory feedback, and partial autonomous control, are introduced. EMG-based intention decoding is treated as a module of the proposed paradigms. Five key issues involving precision, stability, user attention, compliance, and environmental awareness in this field are discussed. Several important directions, including EMG decomposition, robust algorithms, HREI dataset, proprioception feedback, reinforcement learning, and embodied intelligence, are proposed to pave the way for future research. To the best of what we know, this is the first time that a review of EMG-based methods in the HREI system is summarized. It provides a novel and broader perspective to improve the practicability of current myoelectric interaction systems, in which factors in human-robot interaction, robot-environment interaction, and state perception by human sensations are considered, which has never been done by previous studies.

Evolutionary Optimization Methods for High-Dimensional Expensive Problems: A Survey
MengChu Zhou, Meiji Cui, Dian Xu, Shuwei Zhu, Ziyan Zhao, Abdullah Abusorrah
2024, 11(5): 1092-1105. doi: 10.1109/JAS.2024.124320
Abstract(2712) HTML (601) PDF(316)
Abstract:

Evolutionary computation is a rapidly evolving field and the related algorithms have been successfully used to solve various real-world optimization problems. The past decade has also witnessed their fast progress to solve a class of challenging optimization problems called high-dimensional expensive problems (HEPs). The evaluation of their objective fitness requires expensive resource due to their use of time-consuming physical experiments or computer simulations. Moreover, it is hard to traverse the huge search space within reasonable resource as problem dimension increases. Traditional evolutionary algorithms (EAs) tend to fail to solve HEPs competently because they need to conduct many such expensive evaluations before achieving satisfactory results. To reduce such evaluations, many novel surrogate-assisted algorithms emerge to cope with HEPs in recent years. Yet there lacks a thorough review of the state of the art in this specific and important area. This paper provides a comprehensive survey of these evolutionary algorithms for HEPs. We start with a brief introduction to the research status and the basic concepts of HEPs. Then, we present surrogate-assisted evolutionary algorithms for HEPs from four main aspects. We also give comparative results of some representative algorithms and application examples. Finally, we indicate open challenges and several promising directions to advance the progress in evolutionary optimization algorithms for HEPs.

Visual Semantic Segmentation Based on Few/Zero-Shot Learning: An Overview
Wenqi Ren, Yang Tang, Qiyu Sun, Chaoqiang Zhao, Qing-Long Han
2024, 11(5): 1106-1126. doi: 10.1109/JAS.2023.123207
Abstract(2693) HTML (420) PDF(116)
Abstract:

Visual semantic segmentation aims at separating a visual sample into diverse blocks with specific semantic attributes and identifying the category for each block, and it plays a crucial role in environmental perception. Conventional learning-based visual semantic segmentation approaches count heavily on large-scale training data with dense annotations and consistently fail to estimate accurate semantic labels for unseen categories. This obstruction spurs a craze for studying visual semantic segmentation with the assistance of few/zero-shot learning. The emergence and rapid progress of few/zero-shot visual semantic segmentation make it possible to learn unseen categories from a few labeled or even zero-labeled samples, which advances the extension to practical applications. Therefore, this paper focuses on the recently published few/zero-shot visual semantic segmentation methods varying from 2D to 3D space and explores the commonalities and discrepancies of technical settlements under different segmentation circumstances. Specifically, the preliminaries on few/zero-shot visual semantic segmentation, including the problem definitions, typical datasets, and technical remedies, are briefly reviewed and discussed. Moreover, three typical instantiations are involved to uncover the interactions of few/zero-shot learning with visual semantic segmentation, including image semantic segmentation, video object segmentation, and 3D segmentation. Finally, the future challenges of few/zero-shot visual semantic segmentation are discussed.

PAPERS
Dynamic Event-Triggered Quadratic Nonfragile Filtering for Non-Gaussian Systems: Tackling Multiplicative Noises and Missing Measurements
Shaoying Wang, Zidong Wang, Hongli Dong, Yun Chen, Guoping Lu
2024, 11(5): 1127-1138. doi: 10.1109/JAS.2024.124338
Abstract(1179) HTML (146) PDF(96)
Abstract:

This paper focuses on the quadratic nonfragile filtering problem for linear non-Gaussian systems under multiplicative noises, multiple missing measurements as well as the dynamic event-triggered transmission scheme. The multiple missing measurements are characterized through random variables that obey some given probability distributions, and thresholds of the dynamic event-triggered scheme can be adjusted dynamically via an auxiliary variable. Our attention is concentrated on designing a dynamic event-triggered quadratic nonfragile filter in the well-known minimum-variance sense. To this end, the original system is first augmented by stacking its state/measurement vectors together with second-order Kronecker powers, thus the original design issue is reformulated as that of the augmented system. Subsequently, we analyze statistical properties of augmented noises as well as high-order moments of certain random parameters. With the aid of two well-defined matrix difference equations, we not only obtain upper bounds on filtering error covariances, but also minimize those bounds via carefully designing gain parameters. Finally, an example is presented to explain the effectiveness of this newly established quadratic filtering algorithm.

MAUN: Memory-Augmented Deep Unfolding Network for Hyperspectral Image Reconstruction
Qian Hu, Jiayi Ma, Yuan Gao, Junjun Jiang, Yixuan Yuan
2024, 11(5): 1139-1150. doi: 10.1109/JAS.2024.124362
Abstract(2151) HTML (259) PDF(98)
Abstract:

Spectral compressive imaging has emerged as a powerful technique to collect the 3D spectral information as 2D measurements. The algorithm for restoring the original 3D hyperspectral images (HSIs) from compressive measurements is pivotal in the imaging process. Early approaches painstakingly designed networks to directly map compressive measurements to HSIs, resulting in the lack of interpretability without exploiting the imaging priors. While some recent works have introduced the deep unfolding framework for explainable reconstruction, the performance of these methods is still limited by the weak information transmission between iterative stages. In this paper, we propose a Memory-Augmented deep Unfolding Network, termed MAUN, for explainable and accurate HSI reconstruction. Specifically, MAUN implements a novel CNN scheme to facilitate a better extrapolation step of the fast iterative shrinkage-thresholding algorithm, introducing an extra momentum incorporation step for each iteration to alleviate the information loss. Moreover, to exploit the high correlation of intermediate images from neighboring iterations, we customize a cross-stage transformer (CSFormer) as the deep denoiser to simultaneously capture self-similarity from both in-stage and cross-stage features, which is the first attempt to model the long-distance dependencies between iteration stages. Extensive experiments demonstrate that the proposed MAUN is superior to other state-of-the-art methods both visually and metrically. Our code is publicly available at

https://github.com/HuQ1an/MAUN

.

Prescribed Performance Evolution Control for Quadrotor Autonomous Shipboard Landing
Yang Yuan, Haibin Duan, Zhigang Zeng
2024, 11(5): 1151-1162. doi: 10.1109/JAS.2024.124254
Abstract(2374) HTML (152) PDF(143)
Abstract:

The shipboard landing problem for a quadrotor is addressed in this paper, where the ship trajectory tracking control issue is transformed into a stabilization control issue by building a relative position model. To guarantee both transient performance and steady-state landing error, a prescribed performance evolution control (PPEC) method is developed for the relative position control. In addition, a novel compensation system is proposed to expand the performance boundaries when the input saturation occurs and the error exceeds the predefined threshold. Considering the wind and wave on the relative position model, an adaptive sliding mode observer (ASMO) is designed for the disturbance with unknown upper bound. Based on the dynamic surface control framework, a shipboard landing controller integrating PPEC and ASMO is established for the quadrotor, and the relative position control error is guaranteed to be uniformly ultimately bounded. Simulation results have verified the feasibility and effectiveness of the proposed shipboard landing control scheme.

Nested Saturated Control of Uncertain Complex Cascade Systems Using Mixed Saturation Levels
Meng Li, Zhigang Zeng
2024, 11(5): 1163-1174. doi: 10.1109/JAS.2023.124176
Abstract(1919) HTML (146) PDF(87)
Abstract:

This study addresses the problem of global asymptotic stability for uncertain complex cascade systems composed of multiple integrator systems and non-strict feedforward nonlinear systems. To tackle the complexity inherent in such structures, a novel nested saturated control design is proposed that incorporates both constant saturation levels and state-dependent saturation levels. Specifically, a modified differentiable saturation function is proposed to facilitate the saturation reduction analysis of the uncertain complex cascade systems under the presence of mixed saturation levels. In addition, the design of modified differentiable saturation function will help to construct a hierarchical global convergence strategy to improve the robustness of control design scheme. Through calculation of relevant inequalities, time derivative of boundary surface and simple Lyapunov function, saturation reduction analysis and convergence analysis are carried out, and then a set of explicit parameter conditions are provided to ensure global asymptotic stability in the closed-loop systems. Finally, a simplified system of the mechanical model is presented to validate the effectiveness of the proposed method.

Computational Experiments for Complex Social Systems: Integrated Design of Experiment System
Xiao Xue, Xiangning Yu, Deyu Zhou, Xiao Wang, Chongke Bi, Shufang Wang, Fei-Yue Wang
2024, 11(5): 1175-1189. doi: 10.1109/JAS.2023.123639
Abstract(2004) HTML (272) PDF(136)
Abstract:

Powered by advanced information industry and intelligent technology, more and more complex systems are exhibiting characteristics of the cyber-physical-social systems (CPSS). And human factors have become crucial in the operations of complex social systems. Traditional mechanical analysis and social simulations alone are powerless for analyzing complex social systems. Against this backdrop, computational experiments have emerged as a new method for quantitative analysis of complex social systems by combining social simulation (e.g., ABM), complexity science, and domain knowledge. However, in the process of applying computational experiments, the construction of experiment system not only considers a large number of artificial society models, but also involves a large amount of data and knowledge. As a result, how to integrate various data, model and knowledge to achieve a running experiment system has become a key challenge. This paper proposes an integrated design framework of computational experiment system, which is composed of four parts: generation of digital subject, generation of digital object, design of operation engine, and construction of experiment system. Finally, this paper outlines a typical case study of coal mine emergency management to verify the validity of the proposed framework.

Event-Triggered Bipartite Consensus Tracking and Vibration Control of Flexible Timoshenko Manipulators Under Time-Varying Actuator Faults
Xiangqian Yao, Hao Sun, Zhijia Zhao, Yu Liu
2024, 11(5): 1190-1201. doi: 10.1109/JAS.2024.124266
Abstract(1271) HTML (150) PDF(90)
Abstract:

For bipartite angle consensus tracking and vibration suppression of multiple Timoshenko manipulator systems with time-varying actuator faults, parameter and modeling uncertainties, and unknown disturbances, a novel distributed boundary event-triggered control strategy is proposed in this work. In contrast to the earlier findings, time-varying consensus tracking and actuator defects are taken into account simultaneously. In addition, the constructed event-triggered control mechanism can achieve a more flexible design because it is not required to satisfy the input-to-state condition. To achieve the control objectives, some new integral control variables are given by using back-stepping technique and boundary control. Moreover, adaptive neural networks are applied to estimate system uncertainties. With the proposed event-triggered scheme, control inputs can reduce unnecessary updates. Besides, tracking errors and vibration states of the closed-looped network can be exponentially convergent into some small fields, and Zeno behaviors can be excluded. At last, some simulation examples are given to state the effectiveness of the control algorithms.

Recursive Filtering for Stochastic Systems With Filter-and-Forward Successive Relays
Hailong Tan, Bo Shen, Qi Li, Hongjian Liu
2024, 11(5): 1202-1212. doi: 10.1109/JAS.2023.124110
Abstract(1536) HTML (153) PDF(35)
Abstract:

In this paper, the recursive filtering problem is considered for stochastic systems over filter-and-forward successive relay (FFSR) networks. An FFSR is located between the sensor and the remote filter to forward the measurement. In the successive relay, two cooperative relay nodes are adopted to forward the signals alternatively, thereby existing switching characteristics and inter-relay interferences (IRI). Since the filter-and-forward scheme is employed, the signal received by the relay is retransmitted after it passes through a linear filter. The objective of the paper is to concurrently design optimal recursive filters for FFSR and stochastic systems against switching characteristics and IRI of relays. First, a uniform measurement model is proposed by analyzing the transmission mechanism of FFSR. Then, novel filter structures with switching parameters are constructed for both FFSR and stochastic systems. With the help of the inductive method, filtering error covariances are presented in the form of coupled difference equations. Next, the desired filter gain matrices are further obtained by minimizing the trace of filtering error covariances. Moreover, the stability performance of the filtering algorithm is analyzed where the uniform bound is guaranteed on the filtering error covariance. Finally, the effectiveness of the proposed filtering method over FFSR is verified by a three-order resistance-inductance-capacitance circuit system.

Observer-Based Adaptive Robust Precision Motion Control of a Multi-Joint Hydraulic Manipulator
Zheng Chen, Shizhao Zhou, Chong Shen, Litong Lyu, Junhui Zhang, Bin Yao
2024, 11(5): 1213-1226. doi: 10.1109/JAS.2024.124209
Abstract(2724) HTML (182) PDF(129)
Abstract:

Hydraulic manipulators are usually applied in heavy-load and harsh operation tasks. However, when faced with a complex operation, the traditional proportional-integral-derivative (PID) control may not meet requirements for high control performance. Model-based full-state-feedback control is an effective alternative, but the states of a hydraulic manipulator are not always available and reliable in practical applications, particularly the joint angular velocity measurement. Considering that it is not suitable to obtain the velocity signal directly from differentiating of position measurement, the low-pass filtering is commonly used, but it will definitely restrict the closed-loop bandwidth of the whole system. To avoid this problem and realize better control performance, this paper proposes a novel observer-based adaptive robust controller (obARC) for a multi-joint hydraulic manipulator subjected to both parametric uncertainties and the lack of accurate velocity measurement. Specifically, a nonlinear adaptive observer is first designed to handle the lack of velocity measurement with the consideration of parametric uncertainties. Then, the adaptive robust control is developed to compensate for the dynamic uncertainties, and the close-loop system robust stability is theoretically proved under the observation and control errors. Finally, comparative experiments are carried out to show that the designed controller can achieve a performance improvement over the traditional methods, specifically yielding better control accuracy owing to the closed-loop bandwidth breakthrough, which is limited by low-pass filtering in full-state-feedback control.

Deterministic Learning-Based Neural PID Control for Nonlinear Robotic Systems
Qinchen Yang, Fukai Zhang, Cong Wang
2024, 11(5): 1227-1238. doi: 10.1109/JAS.2024.124224
Abstract(1787) HTML (147) PDF(141)
Abstract:

Traditional proportional-integral-derivative (PID) controllers have achieved widespread success in industrial applications. However, the nonlinearity and uncertainty of practical systems cannot be ignored, even though most of the existing research on PID controllers is focused on linear systems. Therefore, developing a PID controller with learning ability is of great significance for complex nonlinear systems. This article proposes a deterministic learning-based advanced PID controller for robot manipulator systems with uncertainties. The introduction of neural networks (NNs) overcomes the upper limit of the traditional PID feedback mechanism’s capability. The proposed control scheme not only guarantees system stability and tracking error convergence but also provides a simple way to choose the three parameters of PID by setting the proportional coefficients. Under the partial persistent excitation (PE) condition, the closed-loop system unknown dynamics of robot manipulator systems are accurately approximated by NNs. Based on the acquired knowledge from the stable control process, a learning PID controller is developed to further improve overall control performance, while overcoming the problem of repeated online weight updates. Simulation studies and physical experiments demonstrate the validity and practicality of the proposed strategy discussed in this article.

Bayesian Filtering for High-Dimensional State-Space Models With State Partition and Error Compensation
Ke Li, Shunyi Zhao, Biao Huang, Fei Liu
2024, 11(5): 1239-1249. doi: 10.1109/JAS.2023.124137
Abstract(1097) HTML (183) PDF(48)
Abstract:

In the era of exponential growth of data availability, the architecture of systems has a trend toward high dimensionality, and directly exploiting holistic information for state inference is not always computationally affordable. This paper proposes a novel Bayesian filtering algorithm that considers algorithmic computational cost and estimation accuracy for high-dimensional linear systems. The high-dimensional state vector is divided into several blocks to save computation resources by avoiding the calculation of error covariance with immense dimensions. After that, two sequential states are estimated simultaneously by introducing an auxiliary variable in the new probability space, mitigating the performance degradation caused by state segmentation. Moreover, the computational cost and error covariance of the proposed algorithm are analyzed analytically to show its distinct features compared with several existing methods. Simulation results illustrate that the proposed Bayesian filtering can maintain a higher estimation accuracy with reasonable computational cost when applied to high-dimensional linear systems.

Privacy-Preserving Consensus-Based Distributed Economic Dispatch of Smart Grids via State Decomposition
Wei Chen, Guo-Ping Liu
2024, 11(5): 1250-1261. doi: 10.1109/JAS.2023.124122
Abstract(2230) HTML (160) PDF(116)
Abstract:

This paper studies the privacy-preserving distributed economic dispatch (DED) problem of smart grids. An autonomous consensus-based algorithm is developed via local data exchange with neighboring nodes, which covers both the islanded mode and the grid-connected mode of smart grids. To prevent power-sensitive information from being disclosed, a privacy-preserving mechanism is integrated into the proposed DED algorithm by randomly decomposing the state into two parts, where only partial data is transmitted. Our objective is to develop a privacy-preserving DED algorithm to achieve optimal power dispatch with the lowest generation cost under physical constraints while preventing sensitive information from being eavesdropped. To this end, a comprehensive analysis framework is established to ensure that the proposed algorithm can converge to the optimal solution of the concerned optimization problem by means of the consensus theory and the eigenvalue perturbation approach. In particular, the proposed autonomous algorithm can achieve a smooth transition between the islanded mode and the grid-connected mode. Furthermore, rigorous analysis is given to show privacy-preserving performance against internal and external eavesdroppers. Finally, case studies illustrate the feasibility and validity of the developed algorithm.

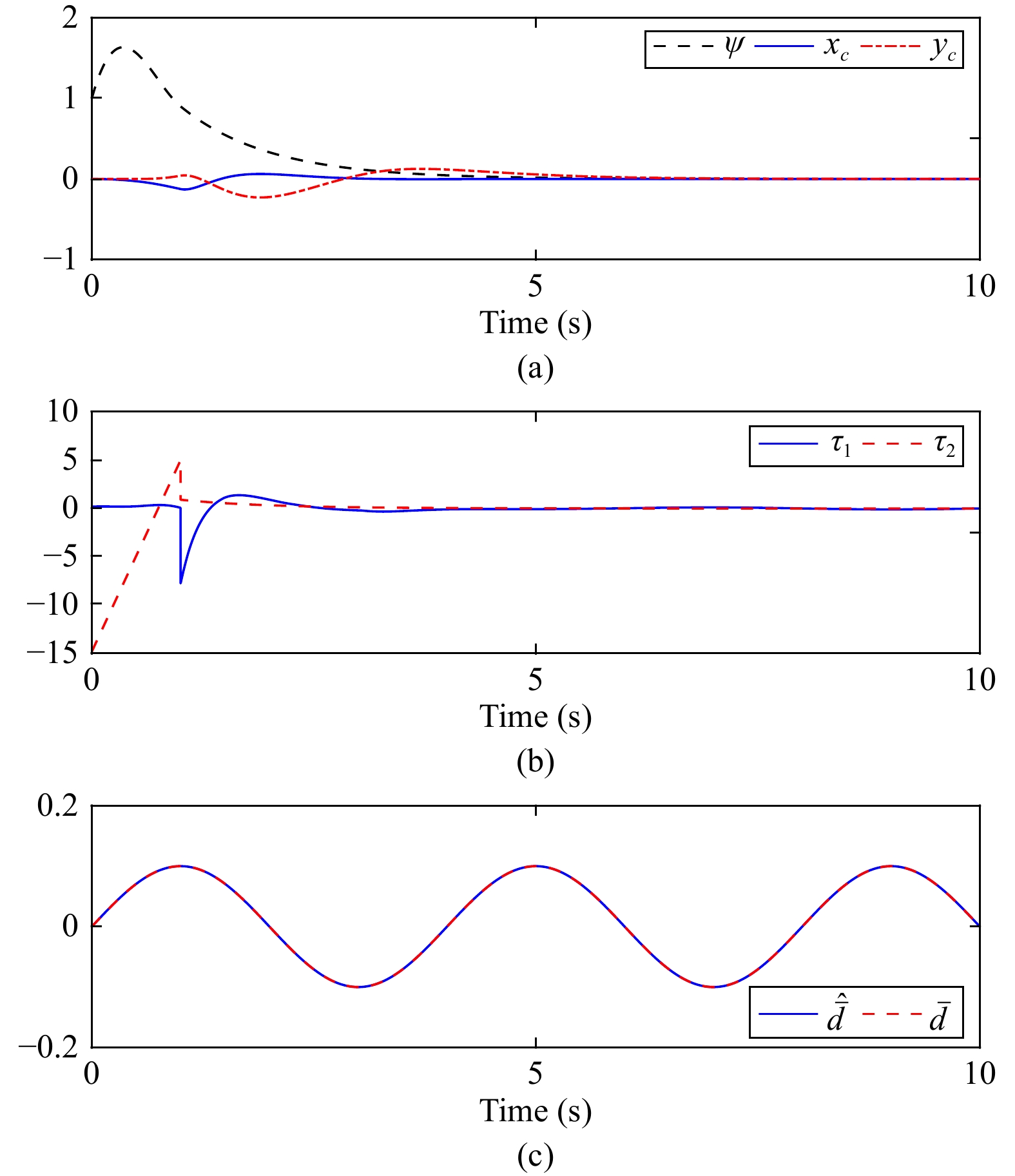
Stabilization Controller of An Extended Chained Nonholonomic System With Disturbance:  An FAS Approach
Zhongcai Zhang, Guangren Duan
2024, 11(5): 1262-1273. doi: 10.1109/JAS.2023.124098
Abstract(2207) HTML (145) PDF(72)
Abstract:

This study examines the stabilization issue of extended chained nonholonomic systems (ECNSs) with external disturbance. Unlike the existing approaches, we transform the considered system into a fully actuated system (FAS) model, simplifying the stabilizing controller design. We implement a separate controller design and propose exponential stabilization controller and finite-time stabilization controller under finite-time disturbance observer (FTDO) for the two system inputs. In addition, we discuss the specifics of global stabilization control design. Our approach demonstrates that two system states exponentially or asymptotically converge to zero under the provided switching stabilization control strategy, while all other system states converge to zero within a finite time.

State-Based Opacity Verification of Networked Discrete Event Systems Using Labeled Petri Nets
Yifan Dong, Naiqi Wu, Zhiwu Li
2024, 11(5): 1274-1291. doi: 10.1109/JAS.2023.124128
Abstract(1698) HTML (144) PDF(101)
Abstract:

The opaque property plays an important role in the operation of a security-critical system, implying that pre-defined secret information of the system is not able to be inferred through partially observing its behavior. This paper addresses the verification of current-state, initial-state, infinite-step, and K-step opacity of networked discrete event systems modeled by labeled Petri nets, where communication losses and delays are considered. Based on the symbolic technique for the representation of states in Petri nets, an observer and an estimator are designed for the verification of current-state and initial-state opacity, respectively. Then, we propose a structure called an I-observer that is combined with secret states to verify whether a networked discrete event system is infinite-step opaque or K-step opaque. Due to the utilization of symbolic approaches for the state-based opacity verification, the computation of the reachability graphs of labeled Petri nets is avoided, which dramatically reduces the computational overheads stemming from networked discrete event systems.

LETTERS
A Data-Driven Real-Time Trajectory Planning and Control Methodology for UGVs Using LSTMRDNN
Kaiyuan Chen, Runqi Chai, Runda Zhang, Zhida Xing, Yuanqing Xia, Guoping Liu
2024, 11(5): 1292-1294. doi: 10.1109/JAS.2024.124269
Abstract(922) HTML (163) PDF(93)
Abstract:
Multi-Axis Attention With Convolution Parallel Block for Organoid Segmentation
Pengwei Hu, Xun Deng, Feng Tan, Lun Hu
2024, 11(5): 1295-1297. doi: 10.1109/JAS.2023.124026
Abstract(948) HTML (145) PDF(39)
Abstract:
Dynamics of the Fractional-Order Lorenz System Based on Adomian Decomposition Method and Its DSP Implementation
Shaobo He, Kehui Sun, Huihai Wang
2024, 11(5): 1298-1300. doi: 10.1109/JAS.2016.7510133
Abstract(650) HTML (123) PDF(37)
Abstract:
Fixed-Time Cluster Optimization for Multi-Agent Systems Based on Piecewise Power-Law Design
Suna Duan, Xinchun Jia, Xiaobo Chi
2024, 11(5): 1301-1303. doi: 10.1109/JAS.2024.124230
Abstract(858) HTML (159) PDF(44)
Abstract:
Output Feedback Stabilization of High-Order Nonlinear Time-Delay Systems With Low-Order and High-Order Nonlinearities
Meng-Meng Jiang, Kemei Zhang, Xue-Jun Xie
2024, 11(5): 1304-1306. doi: 10.1109/JAS.2017.7510883
Abstract(620) HTML (113) PDF(55)
Abstract:
Passivity-Based Stabilization for Switched Stochastic Nonlinear Systems
Yaowei Sun, Jun Zhao
2024, 11(5): 1307-1309. doi: 10.1109/JAS.2018.7511108
Abstract(689) HTML (94) PDF(47)
Abstract:
Adaptive Consensus of Uncertain Multi-Agent Systems With Unified Prescribed Performance
Kun Li, Kai Zhao, Yongduan Song
2024, 11(5): 1310-1312. doi: 10.1109/JAS.2023.123723
Abstract(989) HTML (147) PDF(164)
Abstract: