A journal of IEEE and CAA , publishes high-quality papers in English on original theoretical/experimental research and development in all areas of automation

Vol. 9,  No. 1, 2022

Display Method:
REVIEWS
A Survey of Underwater Multi-Robot Systems
Ziye Zhou, Jincun Liu, Junzhi Yu
2022, 9(1): 1-18. doi: 10.1109/JAS.2021.1004269
Abstract(7191) HTML (782) PDF(499)
Abstract:
As a cross-cutting field between ocean development and multi-robot system (MRS), the underwater multi-robot system (UMRS) has gained increasing attention from researchers and engineers in recent decades. In this paper, we present a comprehensive survey of cooperation issues, one of the key components of UMRS, from the perspective of the emergence of new functions. More specifically, we categorize the cooperation in terms of task-space, motion-space, measurement-space, as well as their combination. Further, we analyze the architecture of UMRS from three aspects, i.e., the performance of the individual underwater robot, the new functions of underwater robots, and the technical approaches of MRS. To conclude, we have discussed related promising directions for future research. This survey provides valuable insight into the reasonable utilization of UMRS to attain diverse underwater tasks in complex ocean application scenarios.
PAPERS
Robotic Knee Tracking Control to Mimic the Intact Human Knee Profile Based on Actor-Critic Reinforcement Learning
Ruofan Wu, Zhikai Yao, Jennie Si, He (Helen) Huang
2022, 9(1): 19-30. doi: 10.1109/JAS.2021.1004272
Abstract(6003) HTML (542) PDF(130)
Abstract:
We address a state-of-the-art reinforcement learning (RL) control approach to automatically configure robotic prosthesis impedance parameters to enable end-to-end, continuous locomotion intended for transfemoral amputee subjects. Specifically, our actor-critic based RL provides tracking control of a robotic knee prosthesis to mimic the intact knee profile. This is a significant advance from our previous RL based automatic tuning of prosthesis control parameters which have centered on regulation control with a designer prescribed robotic knee profile as the target. In addition to presenting the tracking control algorithm based on direct heuristic dynamic programming (dHDP), we provide a control performance guarantee including the case of constrained inputs. We show that our proposed tracking control possesses several important properties, such as weight convergence of the learning networks, Bellman (sub) optimality of the cost-to-go value function and control input, and practical stability of the human-robot system. We further provide a systematic simulation of the proposed tracking control using a realistic human-robot system simulator, the OpenSim, to emulate how the dHDP enables level ground walking, walking on different terrains and at different paces. These results show that our proposed dHDP based tracking control is not only theoretically suitable, but also practically useful.
Dynamic Event-Triggered Scheduling and Platooning Control Co-Design for Automated Vehicles Over Vehicular Ad-Hoc Networks
Xiaohua Ge, Shunyuan Xiao, Qing-Long Han, Xian-Ming Zhang, Derui Ding
2022, 9(1): 31-46. doi: 10.1109/JAS.2021.1004060
Abstract(2953) HTML (665) PDF(196)
Abstract:
This paper deals with the co-design problem of event-triggered communication scheduling and platooning control over vehicular ad-hoc networks (VANETs) subject to finite communication resource. First, a unified model is presented to describe the coordinated platoon behavior of leader-follower vehicles in the simultaneous presence of unknown external disturbances and an unknown leader control input. Under such a platoon model, the central aim is to achieve robust platoon formation tracking with desired inter-vehicle spacing and same velocities and accelerations guided by the leader, while attaining improved communication efficiency. Toward this aim, a novel bandwidth-aware dynamic event-triggered scheduling mechanism is developed. One salient feature of the scheduling mechanism is that the threshold parameter in the triggering law is dynamically adjusted over time based on both vehicular state variations and bandwidth status. Then, a sufficient condition for platoon control system stability and performance analysis as well as a co-design criterion of the admissible event-triggered platooning control law and the desired scheduling mechanism are derived. Finally, simulation results are provided to substantiate the effectiveness and merits of the proposed co-design approach for guaranteeing a trade-off between robust platooning control performance and communication efficiency.
Data-Driven Human-Robot Interaction Without Velocity Measurement Using Off-Policy Reinforcement Learning
Yongliang Yang, Zihao Ding, Rui Wang, Hamidreza Modares, Donald C. Wunsch
2022, 9(1): 47-63. doi: 10.1109/JAS.2021.1004258
Abstract(9103) HTML (607) PDF(183)
Abstract:
In this paper, we present a novel data-driven design method for the human-robot interaction (HRI) system, where a given task is achieved by cooperation between the human and the robot. The presented HRI controller design is a two-level control design approach consisting of a task-oriented performance optimization design and a plant-oriented impedance controller design. The task-oriented design minimizes the human effort and guarantees the perfect task tracking in the outer-loop, while the plant-oriented achieves the desired impedance from the human to the robot manipulator end-effector in the inner-loop. Data-driven reinforcement learning techniques are used for performance optimization in the outer-loop to assign the optimal impedance parameters. In the inner-loop, a velocity-free filter is designed to avoid the requirement of end-effector velocity measurement. On this basis, an adaptive controller is designed to achieve the desired impedance of the robot manipulator in the task space. The simulation and experiment of a robot manipulator are conducted to verify the efficacy of the presented HRI design framework.
Generative Adversarial Network Based Heuristics for Sampling-Based Path Planning
Tianyi Zhang, Jiankun Wang, Max Q.-H. Meng
2022, 9(1): 64-74. doi: 10.1109/JAS.2021.1004275
Abstract(8572) HTML (547) PDF(154)
Abstract:
Sampling-based path planning is a popular methodology for robot path planning. With a uniform sampling strategy to explore the state space, a feasible path can be found without the complex geometric modeling of the configuration space. However, the quality of the initial solution is not guaranteed, and the convergence speed to the optimal solution is slow. In this paper, we present a novel image-based path planning algorithm to overcome these limitations. Specifically, a generative adversarial network (GAN) is designed to take the environment map (denoted as RGB image) as the input without other preprocessing works. The output is also an RGB image where the promising region (where a feasible path probably exists) is segmented. This promising region is utilized as a heuristic to achieve non-uniform sampling for the path planner. We conduct a number of simulation experiments to validate the effectiveness of the proposed method, and the results demonstrate that our method performs much better in terms of the quality of the initial solution and the convergence speed to the optimal solution. Furthermore, apart from the environments similar to the training set, our method also works well on the environments which are very different from the training set.
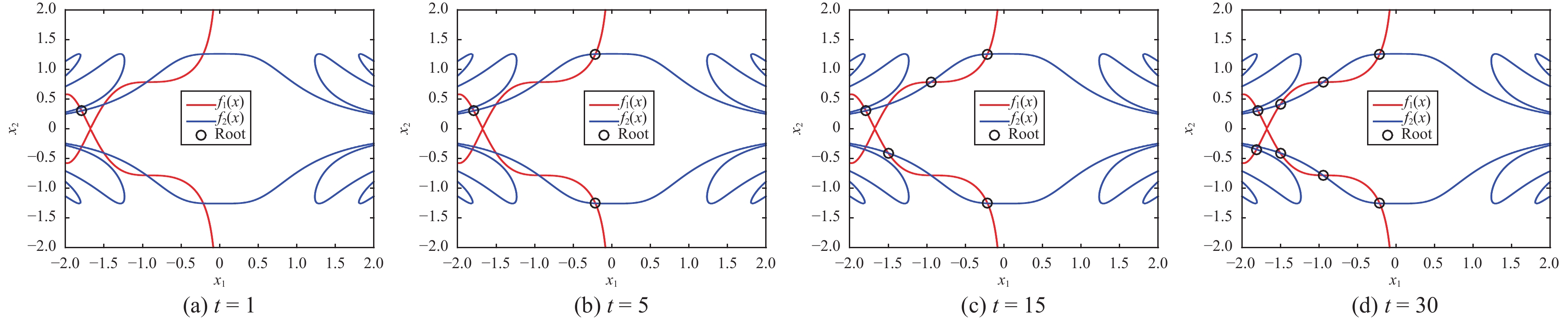
Integrating Variable Reduction Strategy With Evolutionary Algorithms for Solving Nonlinear Equations Systems
Aijuan Song, Guohua Wu, Witold Pedrycz, Ling Wang
2022, 9(1): 75-89. doi: 10.1109/JAS.2021.1004278
Abstract(1279) HTML (480) PDF(62)
Abstract:
Nonlinear equations systems (NESs) are widely used in real-world problems and they are difficult to solve due to their nonlinearity and multiple roots. Evolutionary algorithms (EAs) are one of the methods for solving NESs, given their global search capabilities and ability to locate multiple roots of a NES simultaneously within one run. Currently, the majority of research on using EAs to solve NESs focuses on transformation techniques and improving the performance of the used EAs. By contrast, problem domain knowledge of NESs is investigated in this study, where we propose the incorporation of a variable reduction strategy (VRS) into EAs to solve NESs. The VRS makes full use of the systems of expressing a NES and uses some variables (i.e., core variable) to represent other variables (i.e., reduced variables) through variable relationships that exist in the equation systems. It enables the reduction of partial variables and equations and shrinks the decision space, thereby reducing the complexity of the problem and improving the search efficiency of the EAs. To test the effectiveness of VRS in dealing with NESs, this paper mainly integrates the VRS into two existing state-of-the-art EA methods (i.e., MONES and DR-JADE) according to the integration framework of the VRS and EA, respectively. Experimental results show that, with the assistance of the VRS, the EA methods can produce better results than the original methods and other compared methods. Furthermore, extensive experiments regarding the influence of different reduction schemes and EAs substantiate that a better EA for solving a NES with more reduced variables tends to provide better performance.
PID Control of Planar Nonlinear Uncertain Systems in the Presence of Actuator Saturation
Xujun Lyu, Zongli Lin
2022, 9(1): 90-98. doi: 10.1109/JAS.2021.1004281
Abstract(2812) HTML (539) PDF(129)
Abstract:
This paper investigates PID control design for a class of planar nonlinear uncertain systems in the presence of actuator saturation. Based on the bounds on the growth rates of the nonlinear uncertain function in the system model, the system is placed in a linear differential inclusion. Each vertex system of the linear differential inclusion is a linear system subject to actuator saturation. By placing the saturated PID control into a convex hull formed by the PID controller and an auxiliary linear feedback law, we establish conditions under which an ellipsoid is contractively invariant and hence is an estimate of the domain of attraction of the equilibrium point of the closed-loop system. The equilibrium point corresponds to the desired set point for the system output. Thus, the location of the equilibrium point and the size of the domain of attraction determine, respectively, the set point that the output can achieve and the range of initial conditions from which this set point can be reached. Based on these conditions, the feasible set points can be determined and the design of the PID control law that stabilizes the nonlinear uncertain system at a feasible set point with a large domain of attraction can then be formulated and solved as a constrained optimization problem with constraints in the form of linear matrix inequalities (LMIs). Application of the proposed design to a magnetic suspension system illustrates the design process and the performance of the resulting PID control law.
Improving Dendritic Neuron Model With Dynamic Scale-Free Network-Based Differential Evolution
Yang Yu, Zhenyu Lei, Yirui Wang, Tengfei Zhang, Chen Peng, Shangce Gao
2022, 9(1): 99-110. doi: 10.1109/JAS.2021.1004284
Abstract(1573) HTML (409) PDF(82)
Abstract:
Some recent research reports that a dendritic neuron model (DNM) can achieve better performance than traditional artificial neuron networks (ANNs) on classification, prediction, and other problems when its parameters are well-tuned by a learning algorithm. However, the back-propagation algorithm (BP), as a mostly used learning algorithm, intrinsically suffers from defects of slow convergence and easily dropping into local minima. Therefore, more and more research adopts non-BP learning algorithms to train ANNs. In this paper, a dynamic scale-free network-based differential evolution (DSNDE) is developed by considering the demands of convergent speed and the ability to jump out of local minima. The performance of a DSNDE trained DNM is tested on 14 benchmark datasets and a photovoltaic power forecasting problem. Nine meta-heuristic algorithms are applied into comparison, including the champion of the 2017 IEEE Congress on Evolutionary Computation (CEC2017) benchmark competition effective butterfly optimizer with covariance matrix adapted retreat phase (EBOwithCMAR). The experimental results reveal that DSNDE achieves better performance than its peers.
Human-in-the-Loop Consensus Control for Nonlinear Multi-Agent Systems With Actuator Faults
Guohuai Lin, Hongyi Li, Hui Ma, Deyin Yao, Renquan Lu
2022, 9(1): 111-122. doi: 10.1109/JAS.2020.1003596
Abstract(2273) HTML (683) PDF(189)
Abstract:
This paper considers the human-in-the-loop leader-following consensus control problem of multi-agent systems (MASs) with unknown matched nonlinear functions and actuator faults. It is assumed that a human operator controls the MASs via sending the command signal to a non-autonomous leader which generates the desired trajectory. Moreover, the leader’s input is nonzero and not available to all followers. By using neural networks and fault estimators to approximate unknown nonlinear dynamics and identify the actuator faults, respectively, the neighborhood observer-based neural fault-tolerant controller with dynamic coupling gains is designed. It is proved that the state of each follower can synchronize with the leader’s state under a directed graph and all signals in the closed-loop system are guaranteed to be cooperatively uniformly ultimately bounded. Finally, simulation results are presented for verifying the effectiveness of the proposed control method.
Price-Based Residential Demand Response Management in Smart Grids: A Reinforcement Learning-Based Approach
Yanni Wan, Jiahu Qin, Xinghuo Yu, Tao Yang, Yu Kang
2022, 9(1): 123-134. doi: 10.1109/JAS.2021.1004287
Abstract(2082) HTML (424) PDF(107)
Abstract:
This paper studies price-based residential demand response management (PB-RDRM) in smart grids, in which non-dispatchable and dispatchable loads (including general loads and plug-in electric vehicles (PEVs)) are both involved. The PB-RDRM is composed of a bi-level optimization problem, in which the upper-level dynamic retail pricing problem aims to maximize the profit of a utility company (UC) by selecting optimal retail prices (RPs), while the lower-level demand response (DR) problem expects to minimize the comprehensive cost of loads by coordinating their energy consumption behavior. The challenges here are mainly two-fold: 1) the uncertainty of energy consumption and RPs; 2) the flexible PEVs’ temporally coupled constraints, which make it impossible to directly develop a model-based optimization algorithm to solve the PB-RDRM. To address these challenges, we first model the dynamic retail pricing problem as a Markovian decision process (MDP), and then employ a model-free reinforcement learning (RL) algorithm to learn the optimal dynamic RPs of UC according to the loads’ responses. Our proposed RL-based DR algorithm is benchmarked against two model-based optimization approaches (i.e., distributed dual decomposition-based (DDB) method and distributed primal-dual interior (PDI)-based method), which require exact load and electricity price models. The comparison results show that, compared with the benchmark solutions, our proposed algorithm can not only adaptively decide the RPs through on-line learning processes, but also achieve larger social welfare within an unknown electricity market environment.
Collaborative Pushing and Grasping of Tightly Stacked Objects via Deep Reinforcement Learning
Yuxiang Yang, Zhihao Ni, Mingyu Gao, Jing Zhang, Dacheng Tao
2022, 9(1): 135-145. doi: 10.1109/JAS.2021.1004255
Abstract(3448) HTML (633) PDF(352)
Abstract:
Directly grasping the tightly stacked objects may cause collisions and result in failures, degenerating the functionality of robotic arms. Inspired by the observation that first pushing objects to a state of mutual separation and then grasping them individually can effectively increase the success rate, we devise a novel deep Q-learning framework to achieve collaborative pushing and grasping. Specifically, an efficient non-maximum suppression policy (PolicyNMS) is proposed to dynamically evaluate pushing and grasping actions by enforcing a suppression constraint on unreasonable actions. Moreover, a novel data-driven pushing reward network called PR-Net is designed to effectively assess the degree of separation or aggregation between objects. To benchmark the proposed method, we establish a dataset containing common household items dataset (CHID) in both simulation and real scenarios. Although trained using simulation data only, experiment results validate that our method generalizes well to real scenarios and achieves a 97% grasp success rate at a fast speed for object separation in the real-world environment.
Monocular Visual-Inertial and Robotic-Arm Calibration in a Unifying Framework
Yinlong Zhang, Wei Liang, Mingze Yuan, Hongsheng He, Jindong Tan, Zhibo Pang
2022, 9(1): 146-159. doi: 10.1109/JAS.2021.1004290
Abstract(2077) HTML (575) PDF(133)
Abstract:
Reliable and accurate calibration for camera, inertial measurement unit (IMU) and robot is a critical prerequisite for visual-inertial based robot pose estimation and surrounding environment perception. However, traditional calibrations suffer inaccuracy and inconsistency. To address these problems, this paper proposes a monocular visual-inertial and robotic-arm calibration in a unifying framework. In our method, the spatial relationship is geometrically correlated between the sensing units and robotic arm. The decoupled estimations on rotation and translation could reduce the coupled errors during the optimization. Additionally, the robotic calibration moving trajectory has been designed in a spiral pattern that enables full excitations on 6 DOF motions repeatably and consistently. The calibration has been evaluated on our developed platform. In the experiments, the calibration achieves the accuracy with rotation and translation RMSEs less than 0.7° and 0.01 m, respectively. The comparisons with state-of-the-art results prove our calibration consistency, accuracy and effectiveness.
A Distributed Framework for Large-scale Protein-protein Interaction Data Analysis and Prediction Using MapReduce
Lun Hu, Shicheng Yang, Xin Luo, Huaqiang Yuan, Khaled Sedraoui, MengChu Zhou
2022, 9(1): 160-172. doi: 10.1109/JAS.2021.1004198
Abstract(1908) HTML (704) PDF(103)
Abstract:
Protein-protein interactions are of great significance for human to understand the functional mechanisms of proteins. With the rapid development of high-throughput genomic technologies, massive protein-protein interaction (PPI) data have been generated, making it very difficult to analyze them efficiently. To address this problem, this paper presents a distributed framework by reimplementing one of state-of-the-art algorithms, i.e., CoFex, using MapReduce. To do so, an in-depth analysis of its limitations is conducted from the perspectives of efficiency and memory consumption when applying it for large-scale PPI data analysis and prediction. Respective solutions are then devised to overcome these limitations. In particular, we adopt a novel tree-based data structure to reduce the heavy memory consumption caused by the huge sequence information of proteins. After that, its procedure is modified by following the MapReduce framework to take the prediction task distributively. A series of extensive experiments have been conducted to evaluate the performance of our framework in terms of both efficiency and accuracy. Experimental results well demonstrate that the proposed framework can considerably improve its computational efficiency by more than two orders of magnitude while retaining the same high accuracy.
Adaptive Decentralized Asymptotic Tracking Control for Large-Scale Nonlinear Systems With Unknown Strong Interconnections
Ben Niu, Jidong Liu, Ding Wang, Xudong Zhao, Huanqing Wang
2022, 9(1): 173-186. doi: 10.1109/JAS.2021.1004246
Abstract(1998) HTML (597) PDF(140)
Abstract:
An adaptive decentralized asymptotic tracking control scheme is developed in this paper for a class of large-scale nonlinear systems with unknown strong interconnections, unknown time-varying parameters, and disturbances. First, by employing the intrinsic properties of Gaussian functions for the interconnection terms for the first time, all extra signals in the framework of decentralized control are filtered out, thereby removing all additional assumptions imposed on the interconnections, such as upper bounding functions and matching conditions. Second, by introducing two integral bounded functions, asymptotic tracking control is realized. Moreover, the nonlinear filters with the compensation terms are introduced to circumvent the issue of “explosion of complexity”. It is shown that all the closed-loop signals are bounded and the tracking errors converge to zero asymptotically. In the end, a simulation example is carried out to demonstrate the effectiveness of the proposed approach.
A Lane-Level Road Marking Map Using a Monocular Camera
Wonje Jang, Junhyuk Hyun, Jhonghyun An, Minho Cho, Euntai Kim
2022, 9(1): 187-204. doi: 10.1109/JAS.2021.1004293
Abstract(3353) HTML (619) PDF(265)
Abstract:
The essential requirement for precise localization of a self-driving car is a lane-level map which includes road markings (RMs). Obviously, we can build the lane-level map by running a mobile mapping system (MMS) which is equipped with a high-end 3D LiDAR and a number of high-cost sensors. This approach, however, is highly expensive and ineffective since a single high-end MMS must visit every place for mapping. In this paper, a lane-level RM mapping system using a monocular camera is developed. The developed system can be considered as an alternative to expensive high-end MMS. The developed RM map includes the information of road lanes (RLs) and symbolic road markings (SRMs). First, to build a lane-level RM map, the RMs are segmented at pixel level through the deep learning network. The network is named RMNet. The segmented RMs are then gathered to build a lane-level RM map. Second, the lane-level map is improved through loop-closure detection and graph optimization. To train the RMNet and build a lane-level RM map, a new dataset named SeRM set is developed. The set is a large dataset for lane-level RM mapping and it includes a total of 25157 pixel-wise annotated images and 21000 position labeled images. Finally, the proposed lane-level map building method is applied to SeRM set and its validity is demonstrated through experimentation.