A journal of IEEE and CAA , publishes high-quality papers in English on original theoretical/experimental research and development in all areas of automation
Volume 9 Issue 1
Jan.  2022

IEEE/CAA Journal of Automatica Sinica

  • JCR Impact Factor: 19.2, Top 1 (SCI Q1)
    CiteScore: 28.2, Top 1% (Q1)
    Google Scholar h5-index: 95, TOP 5
Turn off MathJax
Article Contents
B. Niu, J. D. Liu, D. Wang, X. D. Zhao, and H. Q. Wang, “Adaptive decentralized asymptotic tracking control for large-scale nonlinear systems with unknown strong interconnections,” IEEE/CAA J. Autom. Sinica, vol. 9, no. 1, pp. 173–186, Jan. 2022. doi: 10.1109/JAS.2021.1004246
Citation: B. Niu, J. D. Liu, D. Wang, X. D. Zhao, and H. Q. Wang, “Adaptive decentralized asymptotic tracking control for large-scale nonlinear systems with unknown strong interconnections,” IEEE/CAA J. Autom. Sinica, vol. 9, no. 1, pp. 173–186, Jan. 2022. doi: 10.1109/JAS.2021.1004246

Adaptive Decentralized Asymptotic Tracking Control for Large-Scale Nonlinear Systems With Unknown Strong Interconnections

doi: 10.1109/JAS.2021.1004246
Funds:  This work was supported in part by the National Natural Science Foundation of China (61873151, 62073201); and in part by the Shandong Provincial Natural Science Foundation of China (ZR2019MF009); and the Taishan Scholar Project of Shandong Province of China (tsqn201909078); and the Major Scientific and Technological Innovation Project of Shandong Province, China (2019JAZZ020812); and in part by the Major Program of Shandong Province Natural Science Foundation, China (ZR2018ZB0419)
More Information
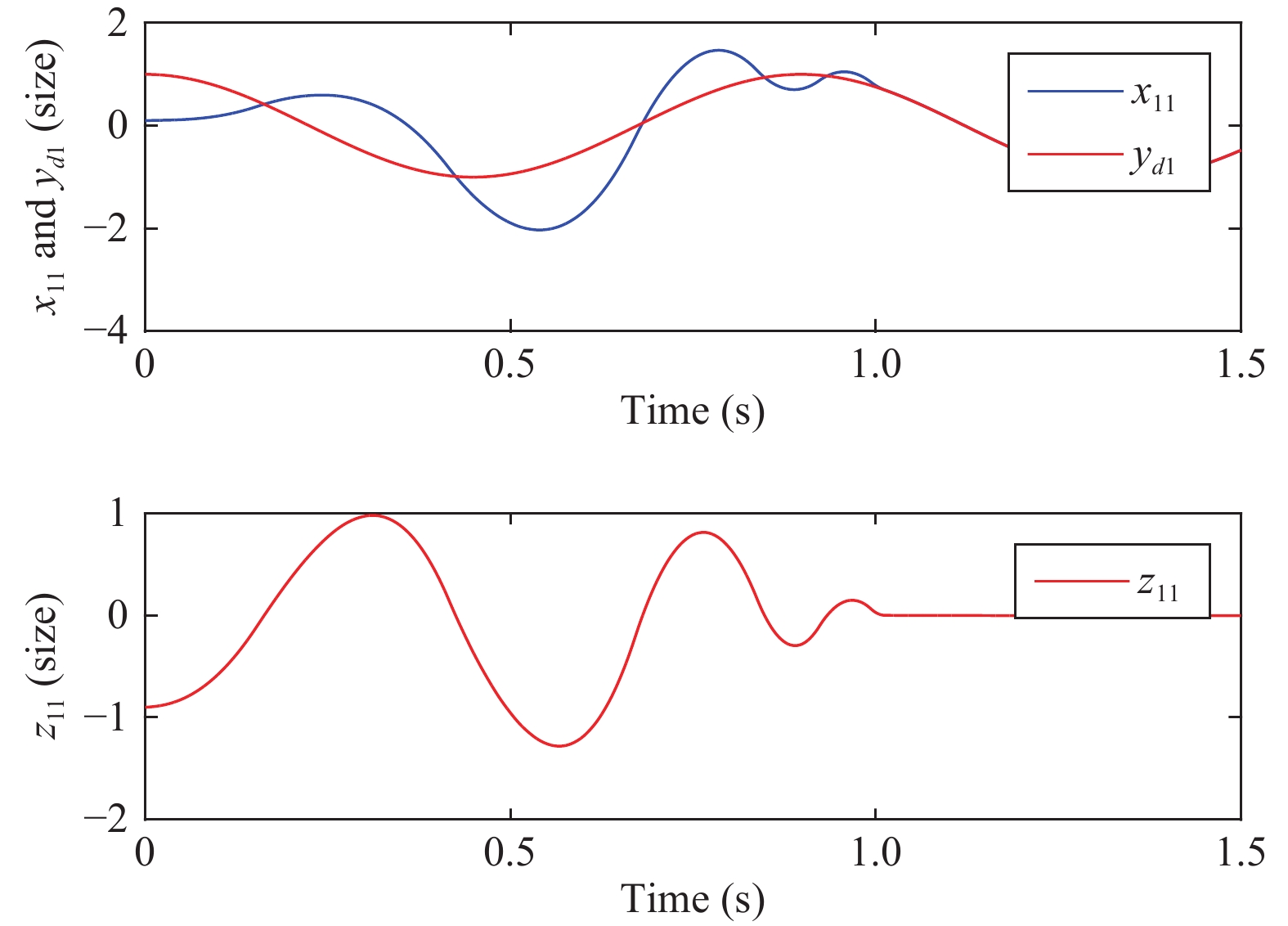
  • An adaptive decentralized asymptotic tracking control scheme is developed in this paper for a class of large-scale nonlinear systems with unknown strong interconnections, unknown time-varying parameters, and disturbances. First, by employing the intrinsic properties of Gaussian functions for the interconnection terms for the first time, all extra signals in the framework of decentralized control are filtered out, thereby removing all additional assumptions imposed on the interconnections, such as upper bounding functions and matching conditions. Second, by introducing two integral bounded functions, asymptotic tracking control is realized. Moreover, the nonlinear filters with the compensation terms are introduced to circumvent the issue of “explosion of complexity”. It is shown that all the closed-loop signals are bounded and the tracking errors converge to zero asymptotically. In the end, a simulation example is carried out to demonstrate the effectiveness of the proposed approach.

     

  • loading
  • [1]
    S. S. Stanković, D. M. Stipanović, and D. D. Šiljak, “Decentralized dynamic output feedback for robust stabilization of a class of nonlinear interconnected systems,” Automatica, vol. 43, no. 5, pp. 861–867, May 2007. doi: 10.1016/j.automatica.2006.11.010
    [2]
    P. Krishnamurthy and F. Khorrami, “Decentralized control and disturbance attenuation for large-scale nonlinear systems in generalized output-feedback canonical form,” Automatica, vol. 39, no. 11, pp. 1923–1933, Nov. 2003. doi: 10.1016/S0005-1098(03)00199-7
    [3]
    D. Wang, H. B. He, and D. R. Liu, “Improving the critic learning for event-based nonlinear H control design,” IEEE Trans. Cybern., vol. 47, no. 10, pp. 3417–3428, Oct. 2017. doi: 10.1109/TCYB.2017.2653800
    [4]
    Z. P. Jiang, “Decentralized and adaptive nonlinear tracking of large-scale systems via output feedback,” IEEE Trans. Automat. Control, vol. 45, no. 11, pp. 2122–2128, Nov. 2000. doi: 10.1109/9.887638
    [5]
    D. Wang, D. R. Liu, C. X. Mu, and Y. Zhang, “Neural network learning and robust stabilization of nonlinear systems with dynamic uncertainties,” IEEE Trans. Neural Netw. Learn. Syst., vol. 29, no. 4, pp. 1342–1351, Apr. 2018. doi: 10.1109/TNNLS.2017.2749641
    [6]
    Y. Tang, M. Tomizuka, G. Guerrero, and G. Montemayor, “Decentralized robust control of mechanical systems,” IEEE Trans. Automat. Control, vol. 45, pp. 771–776, Apr. 2000. doi: 10.1109/9.847120
    [7]
    S. Huang, K. K. Tan, and T. H. Lee, “Decentralized control design for large-scale systems with strong interconnections using neural networks,” IEEE Trans. Automat. Control, vol. 48, no. 5, pp. 805–810, May 2003. doi: 10.1109/TAC.2003.811258
    [8]
    Z. P. Jiang, D. W. Repperger, and D. J. Hill, “Decentralized nonlinear output feedback stabilization with disturbance attenuation,” IEEE Trans. Automat. Control, vol. 46, no. 10, pp. 1623–1629, Oct. 2001. doi: 10.1109/9.956061
    [9]
    T. F. Liu, Z. P. Jiang, and D. J. Hill, “Decentralized output-feedback control of large-scale nonlinear systems with sensor noise,” Automatica, vol. 48, no. 10, pp. 2560–2568, Oct. 2012. doi: 10.1016/j.automatica.2012.06.054
    [10]
    W. N. Gao, Y. Jiang, Z. P. Jiang, and T. Y. Chai, “Output-feedback adaptive optimal control of interconnected systems based on robust adaptive dynamic programming,” Automatica, vol. 72, pp. 37–45, Oct. 2016. doi: 10.1016/j.automatica.2016.05.008
    [11]
    Z. P. Jiang, “Decentralized disturbance attenuating output-feedback trackers for large-scale nonlinear systems,” Automatica, vol. 38, no. 8, pp. 1407–1415, Aug. 2002. doi: 10.1016/S0005-1098(02)00039-0
    [12]
    X. P. Liu and G. S. Huang, “Global decentralized robust stabilization for interconnected uncertain nonlinear systems with multiple inputs,” Automatica, vol. 37, no. 9, pp. 1435–1442, Sept. 2001. doi: 10.1016/S0005-1098(01)00086-3
    [13]
    S. L. Xie and L. H. Xie, “Decentralized stabilization of a class of interconnected stochastic nonlinear systems,” IEEE Trans. Automat. Control, vol. 45, no. 1, pp. 132–137, Jan. 2000. doi: 10.1109/9.827370
    [14]
    S. L. Xie and L. H. Xie, “Decentralized global robust stabilization of a class of interconnected minimum-phase nonlinear systems,” Syst. Control Lett., vol. 41, no. 4, pp. 251–263, Nov. 2000. doi: 10.1016/S0167-6911(00)00061-X
    [15]
    G. Arslan and T. Basar, “Decentralized risk-sensitive controller design for strict-feedback systems,” Syst. Control Lett., vol. 50, no. 5, pp. 383–393, Dec. 2003. doi: 10.1016/S0167-6911(03)00195-6
    [16]
    X. D. Ye, “Decentralized adaptive regulation with unknown high-frequency-gain signs,” IEEE Trans. Automat. Control, vol. 44, no. 11, pp. 2072–2076, Nov. 1999. doi: 10.1109/9.802918
    [17]
    S. Jain and F. Khorrami, “Decentralized adaptive control of a class of large-scale interconnected nonlinear systems,” IEEE Trans. Automat. Control, vol. 42, no. 2, pp. 136–154, Feb. 1997. doi: 10.1109/9.554396
    [18]
    S. Jain and F. Khorrami, “Decentralized adaptive output feedback design for large-scale nonlinear systems,” IEEE Transa. Automat. Control, vol. 42, no. 5, pp. 729–735, May 1997. doi: 10.1109/9.580893
    [19]
    L. W. An and G. H. Yang, “Decentralized adaptive fuzzy secure control for nonlinear uncertain interconnected systems against intermittent DoS attacks,” IEEE Trans. Cybern., vol. 49, no. 3, pp. 827–838, Mar. 2019. doi: 10.1109/TCYB.2017.2787740
    [20]
    X. M. Wang, Z. G. Feng, G. J. Zhang, B. Niu, D. Yang, T. Hayat, and F. E. Alsaadi, “Adaptive decentralised control for large-scale non-linear non-strict-feedback interconnected systems with time-varying asymmetric output constraints and dead-zone inputs,” IET Control Theory Appl., vol. 14, no. 20, pp. 3417–3427, Dec. 2020. doi: 10.1049/iet-cta.2019.0283
    [21]
    D. D. Šiljak, Decentralized Control of Complex Systems. Boston, MA: Academic Press, 1991.
    [22]
    S. N. Huang, K. K. Tan, and T. H. Lee, “Decentralized control of a class of large-scale nonlinear systems using neural networks,” Automatica, vol. 41, no. 9, pp. 1645–1649, Sept. 2005. doi: 10.1016/j.automatica.2005.02.010
    [23]
    S. N. Huang, K. K. Tan, and T. H. Lee, “Nonlinear adaptive control of interconnected systems using neural networks,” IEEE Trans. Neural Netw., vol. 17, no. 1, pp. 243–246, Jan. 2006. doi: 10.1109/TNN.2005.857948
    [24]
    S. C. Tong, H. X. Li, and G. R. Chen, “Adaptive fuzzy decentralized control for a class of large-scale nonlinear systems,” IEEE Trans. Syst. Man Cybern. B:Cybern., vol. 34, no. 1, pp. 770–775, Feb. 2004. doi: 10.1109/TSMCB.2003.817039
    [25]
    W. S. Chen and J. M. Li, “Decentralized output-feedback neural control for systems with unknown interconnections,” IEEE Trans. Syst. Man Cybern. B:Cybern., vol. 38, no. 1, pp. 258–266, Feb. 2008. doi: 10.1109/TSMCB.2007.904544
    [26]
    J. D. Liu, B. Niu, Y. G. Kao, P. Zhao, and D. Yang, “Decentralized adaptive command filtered neural tracking control of large-scale nonlinear systems: An almost fast finite-time framework,” IEEE Trans. Neural Netw. Learn. Syst., vol. 32, no. 8, pp. 3621–3632, 2021.
    [27]
    Q. Zhou, P. Shi, H. H. Liu, and S. Y. Xu, “Neural-network-based decentralized adaptive output-feedback control for large-scale stochastic nonlinear systems,” IEEE Trans. Syst. Man Cybern. B:Cybern., vol. 42, no. 6, pp. 1608–1619, Dec. 2012. doi: 10.1109/TSMCB.2012.2196432
    [28]
    S. C. Tong, L. L. Zhang, and Y. M. Li, “Observed-based adaptive fuzzy decentralized tracking control for switched uncertain nonlinear large-scale systems with dead zones,” IEEE Trans. Syst. Man Cybern.:Syst., vol. 46, no. 1, pp. 37–47, Jan. 2016. doi: 10.1109/TSMC.2015.2426131
    [29]
    Y. Yang and D. Yue, “Observer-based decentralized adaptive NNs fault-tolerant control of a class of large-scale uncertain nonlinear systems with actuator failures,” IEEE Trans. Syst. Man Cybern.:Syst., vol. 49, no. 3, pp. 528–542, Mar. 2019. doi: 10.1109/TSMC.2017.2744676
    [30]
    D. T. Gavel and D. D. Siljak, “Decentralized adaptive control: Structural conditions for stability,” IEEE Trans. Automat. Control, vol. 34, no. 4, pp. 413–426, Apr. 1989. doi: 10.1109/9.28016
    [31]
    Q. Zhou, P. H. Du, H. Y. Li, R. Q. Lu, and J. Yang, “Adaptive fixed-time control of error-constrained pure-feedback interconnected nonlinear systems,” IEEE Trans. Syst. Man Cybern.: Syst., 2020. DOI: 10.1109/TSMC.2019.2961371
    [32]
    L. Liu and X. J. Xie, “Decentralized adaptive stabilization for interconnected systems with dynamic input-output and nonlinear interactions,” Automatica, vol. 46, no. 6, pp. 1060–1067, Jun. 2010. doi: 10.1016/j.automatica.2010.03.003
    [33]
    C. Y. Wen, “Decentralized adaptive regulation,” IEEE Trans. Automat. Control, vol. 39, no. 10, pp. 2163–2166, Oct. 1994. doi: 10.1109/9.328806
    [34]
    C. Y. Wen, J. Zhou, and W. Wang, “Decentralized adaptive backstepping stabilization of interconnected systems with dynamic input and output interactions,” Automatica, vol. 45, no. 1, pp. 55–67, Jan. 2009. doi: 10.1016/j.automatica.2008.06.018
    [35]
    S. J. Yoo, J. B. Park, and Y. H. Choi, “Decentralized adaptive stabilization of interconnected nonlinear systems with unknown non-symmetric dead-zone inputs,” Automatica, vol. 45, no. 2, pp. 436–443, Feb. 2009. doi: 10.1016/j.automatica.2008.07.019
    [36]
    C. L. Wang and Y. Lin, “Decentralized adaptive tracking control for a class of interconnected nonlinear time-varying systems,” Automatica, vol. 54, pp. 16–24, Apr. 2015. doi: 10.1016/j.automatica.2015.01.041
    [37]
    H. J. Fan, L. X. Han, C. Y. Wen, and L. Xu, “Decentralized adaptive output-feedback controller design for stochastic nonlinear interconnected systems,” Automatica, vol. 48, no. 11, pp. 2866–2873, Nov. 2012. doi: 10.1016/j.automatica.2012.08.022
    [38]
    X. J. Li and G. H. Yang, “Adaptive decentralized control for a class of interconnected nonlinear systems via backstepping approach and graph theory,” Automatica, vol. 76, pp. 87–95, Feb. 2017. doi: 10.1016/j.automatica.2016.10.019
    [39]
    W. N. Gao and Z. P. Jiang, “Adaptive dynamic programming and adaptive optimal output regulation of linear systems,” IEEE Trans. Automat. Control, vol. 61, no. 12, pp. 4164–4169, Dec. 2016. doi: 10.1109/TAC.2016.2548662
    [40]
    W. N. Gao, Z. P. Jiang, F. L. Lewis, and Y. B. Wang, “Leader-to-formation stability of multiagent systems: An adaptive optimal control approach,” IEEE Trans. Automat. Control, vol. 63, no. 10, pp. 3581–3587, Oct. 2018. doi: 10.1109/TAC.2018.2799526
    [41]
    H. J. Fan and W. X. Xie, “Decentralized adaptive tracking of stochastic nonlinear interconnected systems by output feedback,” in Proc. 5th IEEE Conf. Industrial Electronics and Applications, Taiwan, China, 2010, pp. 137–142.
    [42]
    D. Swaroop, J. K. Hedrick, P. P. Yip, and J. C. Gerdes, “Dynamic surface control for a class of nonlinear systems,” IEEE Trans. Automat. Control, vol. 45, no. 10, pp. 1893–1899, Oct. 2000. doi: 10.1109/TAC.2000.880994
    [43]
    H. Li, L. H. Dou, and Z. Su, “Adaptive dynamic surface based nonsingular fast terminal sliding mode control for semistrict feedback system,” J. Dyn. Syst. Meas. Control, vol. 134, pp. 021011-1–021011-9, Mar. 2012.
    [44]
    Y. J. Liu and W. Wang, “Adaptive output feedback control of uncertain nonlinear systems based on dynamic surface control technique,” Int. J. Rob. Nonlinear Control, vol. 22, no. 9, pp. 945–958, Jun. 2012. doi: 10.1002/rnc.1737
    [45]
    S. J. Yoo, J. B. Park, and Y. H. Choi, “Adaptive dynamic surface control for stabilization of parametric strict-feedback nonlinear systems with unknown time delays,” IEEE Trans. Automat. Control, vol. 52, no. 12, pp. 2360–2365, Dec. 2007. doi: 10.1109/TAC.2007.910715
    [46]
    B. Niu, H. Li, Z. Q. Zhang, J. Q. Li, T. Hayat, and F. E. Alsaadi, “Adaptive neural-network-based dynamic surface control for stochastic interconnected nonlinear nonstrict-feedback systems with dead zone,” IEEE Trans. Syst. Man Cybern.:Syst., vol. 49, no. 7, pp. 1386–1398, Jul. 2019. doi: 10.1109/TSMC.2018.2866519
    [47]
    S. W. Su, “Output-feedback dynamic surface control for a class of nonlinear non-minimum phase systems,” IEEE/CAA J. Autom. Sinica, vol. 3, no. 1, pp. 96–104, Jan. 2016. doi: 10.1109/JAS.2016.7373767
    [48]
    L. S. Chen and Q. Wang, “Adaptive robust control for a class of uncertain MIMO non-affine nonlinear systems,” IEEE/CAA J. Autom. Sinica, vol. 3, no. 1, pp. 105–112, Jan. 2016. doi: 10.1109/JAS.2016.7373768
    [49]
    S. Ling, H. Q. Wang, and P. X. Liu, “Adaptive fuzzy dynamic surface control of flexible-joint robot systems with input saturation,” IEEE/CAA J. Autom. Sinica, vol. 6, no. 1, pp. 97–107, Jan. 2019. doi: 10.1109/JAS.2019.1911330
    [50]
    Y. M. Li and S. C. Tong, “Prescribed performance adaptive fuzzy output-feedback dynamic surface control for nonlinear large-scale systems with time delays,” Informat. Sci., vol. 292, pp. 125–142, Jan. 2015. doi: 10.1016/j.ins.2014.08.060
    [51]
    Q. K. Shen, B. Jiang, and V. Cocquempot, “Adaptive fuzzy observer-based active fault-tolerant dynamic surface control for a class of nonlinear systems with actuator faults,” IEEE Trans. Fuzzy Syst., vol. 22, no. 2, pp. 338–349, Apr. 2014. doi: 10.1109/TFUZZ.2013.2254493
    [52]
    Y. H. Liu, “Adaptive dynamic surface asymptotic tracking for a class of uncertain nonlinear systems,” Int. J. Rob. Nonlinear Control, vol. 28, no. 4, pp. 1233–1245, Mar. 2018. doi: 10.1002/rnc.3947
    [53]
    L. J. Long and J. Zhao, “Decentralized adaptive neural output-feedback DSC for switched large-scale nonlinear systems,” IEEE Trans. Cybern., vol. 47, no. 4, pp. 908–919, Apr. 2017. doi: 10.1109/TCYB.2016.2533393
    [54]
    Y. X. Li and G. H. Yang, “Adaptive asymptotic tracking control of uncertain nonlinear systems with input quantization and actuator faults,” Automatica, vol. 72, pp. 177–185, Oct. 2016. doi: 10.1016/j.automatica.2016.06.008
    [55]
    M. M. Polycarpou and S. E. Weaver, “Stable adaptive neural control of nonlinear systems,” in Proc. American Control Conf., Seattle, WA, USA, 1995, pp. 847–851.
    [56]
    Y. M. Sun, B. Chen, C. Lin, H. H. Wang, and S. W. Zhou, “Adaptive neural control for a class of stochastic nonlinear systems by backstepping approach,” Informat. Sci., vol. 369, pp. 748–764, Nov. 2016. doi: 10.1016/j.ins.2016.06.010
    [57]
    S. S. Ge, C. C. Hang, T. H. Lee, and T. Zhang, Stable Adaptive Neural Network Control. New York, USA: Springer, 2002.
    [58]
    S. Mehraeen, S. Jagannathan, and M. L. Crow, “Decentralized dynamic surface control of large-scale interconnected systems in strict-feedback form using neural networks with asymptotic stabilization,” IEEE Trans. Neural Netw., vol. 22, no. 11, pp. 1709–1722, Nov. 2011. doi: 10.1109/TNN.2011.2140381

Catalog

    通讯作者: 陈斌, bchen63@163.com
    • 1. 

      沈阳化工大学材料科学与工程学院 沈阳 110142

    1. 本站搜索
    2. 百度学术搜索
    3. 万方数据库搜索
    4. CNKI搜索

    Figures(18)

    Article Metrics

    Article views (1998) PDF downloads(140) Cited by()

    Highlights

    • Compared with a large number of existing works ([2], [7], [8], [12]–[24], [30], [32], [36], [37]) in which interconnected terms need either to satisfy matching conditions or to be bounded by known or partially known functions, the decentralized control scheme proposed in this paper removes all the two widely adopted traditional conditions of the interconnected terms by using the inherent properties of Gaussian function and thereby deals with completely unknown strong interconnections successfully
    • Differently from the results in [18], [27]–[42], which only realize bounded tracking control, the asymptotic tracking control is realized in this paper even though the uncertain parameters, large-scale system structure and unknown strong interconnections are considered
    • By applying the DSC technology, the inherent “explosion of complexity” problem in backstepping is eliminated

    /

    DownLoad:  Full-Size Img  PowerPoint
    Return
    Return