A journal of IEEE and CAA , publishes high-quality papers in English on original theoretical/experimental research and development in all areas of automation

Vol. 7,  No. 5, 2020

SPECIAL ISSUE ON RESILIENT CONTROL IN LARGE-SCALE NETWORKED CYBER-PHYSICAL SYSTEMS
Resilient Control in Large-Scale Networked Cyber-Physical Systems:Guest Editorial
Giuseppe Franzè, Giancarlo Fortino, Xianghui Cao, Giuseppe Maria Luigi Sarnè, Zhen Song
2020, 7(5): 1201-1203. doi: 10.1109/JAS.2020.1003327
Abstract(1956) HTML (781) PDF(179)
Abstract:
A Resilient Control Strategy for Cyber-Physical Systems Subject to Denial of Service Attacks: A Leader-Follower Set-Theoretic Approach
Giuseppe Franzè, Domenico Famularo, Walter Lucia, Francesco Tedesco
2020, 7(5): 1204-1214. doi: 10.1109/JAS.2020.1003189
Abstract(2791) HTML (958) PDF(191)
Abstract:
Multi-agent systems are usually equipped with open communication infrastructures to improve interactions efficiency, reliability and sustainability. Although technologically cost-effective, this makes them vulnerable to cyber-attacks with potentially catastrophic consequences. To this end, we present a novel control architecture capable to deal with the distributed constrained regulation problem in the presence of time-delay attacks on the agents’ communication infrastructure. The basic idea consists of orchestrating the interconnected cyber-physical system as a leader-follower configuration so that adequate control actions are computed to isolate the attacked unit before it compromises the system operations. Simulations on a multi-area power system confirm that the proposed control scheme can reconfigure the leader-follower structure in response to denial of-service (DoS) attacks.
Secure Synchronization Control for a Class of Cyber-Physical Systems With Unknown Dynamics
Ning Wang, Xiaojian Li
2020, 7(5): 1215-1224. doi: 10.1109/JAS.2020.1003192
Abstract(1780) HTML (953) PDF(136)
Abstract:
This paper investigates the secure synchronization control problem for a class of cyber-physical systems (CPSs) with unknown system matrices and intermittent denial-of-service (DoS) attacks. For the attack free case, an optimal control law consisting of a feedback control and a compensated feedforward control is proposed to achieve the synchronization, and the feedback control gain matrix is learned by iteratively solving an algebraic Riccati equation (ARE). For considering the attack cases, it is difficult to perform the stability analysis of the synchronization errors by using the existing Lyapunov function method due to the presence of unknown system matrices. In order to overcome this difficulty, a matrix polynomial replacement method is given and it is shown that, the proposed optimal control law can still guarantee the asymptotical convergence of synchronization errors if two inequality conditions related with the DoS attacks hold. Finally, two examples are given to illustrate the effectiveness of the proposed approaches.
Stochastic DoS Attack Allocation Against Collaborative Estimation in Sensor Networks
Ya Zhang, Lishuang Du, Frank L. Lewis
2020, 7(5): 1225-1234. doi: 10.1109/JAS.2020.1003285
Abstract(2232) HTML (834) PDF(117)
Abstract:
In this paper, denial of service (DoS) attack management for destroying the collaborative estimation in sensor networks and minimizing attack energy from the attacker perspective is studied. In the communication channels between sensors and a remote estimator, the attacker chooses some channels to randomly jam DoS attacks to make their packets randomly dropped. A stochastic power allocation approach composed of three steps is proposed. Firstly, the minimum number of channels and the channel set to be attacked are given. Secondly, a necessary condition and a sufficient condition on the packet loss probabilities of the channels in the attack set are provided for general and special systems, respectively. Finally, by converting the original coupling nonlinear programming problem to a linear programming problem, a method of searching attack probabilities and power to minimize the attack energy is proposed. The effectiveness of the proposed scheme is verified by simulation examples.
Formation-Containment Control Using Dynamic Event-Triggering Mechanism for Multi-Agent Systems
Amir Amini, Amir Asif, Arash Mohammadi
2020, 7(5): 1235-1248. doi: 10.1109/JAS.2020.1003288
Abstract(2192) HTML (857) PDF(153)
Abstract:
The paper proposes a novel approach for formation-containment control based on a dynamic event-triggering mechanism for multi-agent systems. The leader-leader and follower-follower communications are reduced by utilizing the distributed dynamic event-triggered framework. We consider two separate sets of design parameters: one set comprising control and dynamic event-triggering parameters for the leaders and a second set similar to the first one with different values for the followers. The proposed algorithm includes two novel stages of co-design optimization to simultaneously compute the two sets of parameters. The design optimizations are convex and use the weighted sum approach to enable a structured trade-off between the formation-containment convergence rate and associated communications. Simulations based on non-holonomic mobile robot multi-agent systems quantify the effectiveness of the proposed approach.
IoT-Enabled Autonomous System Collaboration for Disaster-Area Management
Abenezer Girma, Niloofar Bahadori, Mrinmoy Sarkar, Tadewos G. Tadewos, Mohammad R. Behnia, M. Nabil Mahmoud, Ali Karimoddini, Abdollah Homaifar
2020, 7(5): 1249-1262. doi: 10.1109/JAS.2020.1003291
Abstract(3466) HTML (758) PDF(156)
Abstract:
Timely investigating post-disaster situations to locate survivors and secure hazardous sources is critical, but also very challenging and risky. Despite first responders putting their lives at risk in saving others, human-physical limits cause delays in response time, resulting in fatality and property damage. In this paper, we proposed and implemented a framework intended for creating collaboration between heterogeneous unmanned vehicles and first responders to make search and rescue operations safer and faster. The framework consists of unmanned aerial vehicles (UAVs), unmanned ground vehicles (UGVs), a cloud-based remote control station (RCS). A light-weight message queuing telemetry transport (MQTT) based communication is adopted for facilitating collaboration between autonomous systems. To effectively work under unfavorable disaster conditions, antenna tracker is developed as a tool to extend network coverage to distant areas, and mobile charging points for the UAVs are also implemented. The proposed framework’s performance is evaluated in terms of end-to-end delay and analyzed using architectural analysis and design language (AADL). Experimental measurements and simulation results show that the adopted communication protocol performs more efficiently than other conventional communication protocols, and the implemented UAV control mechanisms are functioning properly. Several scenarios are implemented to validate the overall effectiveness of the proposed framework and demonstrate possible use cases.
ResIoT: An IoT Social Framework Resilient to Malicious Activities
Giancarlo Fortino, Fabrizio Messina, Domenico Rosaci, Giuseppe M. L. Sarnè
2020, 7(5): 1263-1278. doi: 10.1109/JAS.2020.1003330
Abstract(2051) HTML (655) PDF(64)
Abstract:
The purpose of the next internet of things (IoT) is that of making available myriad of services to people by high sensing intelligent devices capable of reasoning and real time acting. The convergence of IoT and multi-agent systems (MAS) provides the opportunity to benefit from the social attitude of agents in order to perform machine-to-machine (M2M) coopera-tion among smart entities. However, the selection of reliable partners for cooperation represents a hard task in a mobile and federated context, especially because the trustworthiness of devices is largely unreferenced. The issues discussed above can be synthesized by recalling the well known concept of social resilience in IoT systems, i.e., the capability of an IoT network to resist to possible attacks by malicious agent that potentially could infect large areas of the network, spamming unreliable infor-mation and/or assuming unfair behaviors. In this sense, social resilience is devoted to face malicious activities of software agents in their social interactions, and do not deal with the correct working of the sensors and other information devices. In this setting, the use of a reputation model can be a practicable and effective solution to form local communities of agents on the basis of their social capabilities. In this paper, we propose a framework for agents operating in an IoT environment, called ResIoT, where the formation of communities for collaborative purposes is performed on the basis of agent reputation. In order to validate our approach, we performed an experimental campaign by means of a simulated framework, which allowed us to verify that, by our approach, devices have not any economic convenience to performs misleading behaviors. Moreover, further experimental results have shown that our approach is able to detect the nature of the active agents in the systems (i.e., honest and malicious), with an accuracy of not less than 11% compared to the best competitor tested and highlighting a high resilience with respect to some malicious activities.
Resilient Fault Diagnosis Under Imperfect Observations–A Need for Industry 4.0 Era
Alejandro White, Ali Karimoddini, Mohammad Karimadini
2020, 7(5): 1279-1288. doi: 10.1109/JAS.2020.1003333
Abstract(1654) HTML (658) PDF(65)
Abstract:
In smart industrial systems, in many cases, a fault can be captured as an event to represent the distinct nature of subsequent changes. Event-based fault diagnosis techniques are capable model-based methods for diagnosing faults from a sequence of observable events executed by the system under diagnosis. Most event-based diagnosis techniques rely on perfect observations of observable events. However, in practice, it is common to miss an observable event due to a problem in sensor-readings or communication/transmission channels. This paper develops a fault diagnosis tool, referred to as diagnoser, which can robustly detect, locate, and isolate occurred faults. The developed diagnoser is resilient against missed observations. A missed observation is detected from its successive sequence of events. Upon detecting a missed observation, the developed diagnoser automatically resets and then, asynchronously resumes the diagnosis process. This is achieved solely based on post-reset/activation observations and without interrupting the performance of the system under diagnosis. New concepts of asynchronous detectability and asynchronous diagnosability are introduced. It is shown that if asynchronous detectability and asynchronous diagnosability hold, the proposed diagnoser is capable of diagnosing occurred faults under imperfect observations. The proposed technique is applied to diagnose faults in a manufacturing process. Illustrative examples are provided to explain the details of the proposed algorithm. The result paves the way towards fostering resilient cyber-physical systems in Industry 4.0 context.
REVIEWS
Decision-Making in Driver-Automation Shared Control: A Review and Perspectives
Wenshuo Wang, Xiaoxiang Na, Dongpu Cao, Jianwei Gong, Junqiang Xi, Yang Xing, Fei-Yue Wang
2020, 7(5): 1289-1307. doi: 10.1109/JAS.2020.1003294
Abstract(8064) HTML (997) PDF(894)
Abstract:
Shared control schemes allow a human driver to work with an automated driving agent in driver-vehicle systems while retaining the driver’s abilities to control. The human driver, as an essential agent in the driver-vehicle shared control systems, should be precisely modeled regarding their cognitive processes, control strategies, and decision-making processes. The interactive strategy design between drivers and automated driving agents brings an excellent challenge for human-centric driver assistance systems due to the inherent characteristics of humans. Many open-ended questions arise, such as what proper role of human drivers should act in a shared control scheme? How to make an intelligent decision capable of balancing the benefits of agents in shared control systems? Due to the advent of these attentions and questions, it is desirable to present a survey on the decision making between human drivers and highly automated vehicles, to understand their architectures, human driver modeling, and interaction strategies under the driver-vehicle shared schemes. Finally, we give a further discussion on the key future challenges and opportunities. They are likely to shape new potential research directions.
Major Development Under Gaussian Filtering Since Unscented Kalman Filter
Abhinoy Kumar Singh
2020, 7(5): 1308-1325. doi: 10.1109/JAS.2020.1003303
Abstract(2302) HTML (697) PDF(97)
Abstract:
Filtering is a recursive estimation of hidden states of a dynamic system from noisy measurements. Such problems appear in several branches of science and technology, ranging from target tracking to biomedical monitoring. A commonly practiced approach of filtering with nonlinear systems is Gaussian filtering. The early Gaussian filters used a derivative-based implementation, and suffered from several drawbacks, such as the smoothness requirements of system models and poor stability. A derivative-free numerical approximation-based Gaussian filter, named the unscented Kalman filter (UKF), was introduced in the nineties, which offered several advantages over the derivative-based Gaussian filters. Since the proposition of UKF, derivative-free Gaussian filtering has been a highly active research area. This paper reviews significant developments made under Gaussian filtering since the proposition of UKF. The review is particularly focused on three categories of developments: i) advancing the numerical approximation methods; ii) modifying the conventional Gaussian approach to further improve the filtering performance; and iii) constrained filtering to address the problem of discrete-time formulation of process dynamics. This review highlights the computational aspect of recent developments in all three categories. The performance of various filters are analyzed by simulating them with real-life target tracking problems.
PAPERS
Secure Impulsive Synchronization in Lipschitz-Type Multi-Agent Systems Subject to Deception Attacks
Wangli He, Zekun Mo, Qing-Long Han, Feng Qian
2020, 7(5): 1326-1334. doi: 10.1109/JAS.2020.1003297
Abstract(1909) HTML (646) PDF(155)
Abstract:
Cyber attacks pose severe threats on synchronization of multi-agent systems. Deception attack, as a typical type of cyber attack, can bypass the surveillance of the attack detection mechanism silently, resulting in a heavy loss. Therefore, the problem of mean-square bounded synchronization in multi-agent systems subject to deception attacks is investigated in this paper. The control signals can be replaced with false data from controller-to-actuator channels or the controller. The success of the attack is measured through a stochastic variable. A distributed impulsive controller using a pinning strategy is redesigned, which ensures that mean-square bounded synchronization is achieved in the presence of deception attacks. Some sufficient conditions are derived, in which upper bounds of the synchronization error are given. Finally, two numerical simulations with symmetric and asymmetric network topologies are given to illustrate the theoretical results.
Time-Varying Asymmetrical BLFs Based Adaptive Finite-Time Neural Control of Nonlinear Systems With Full State Constraints
Lei Liu, Tingting Gao, Yan-Jun Liu, Shaocheng Tong
2020, 7(5): 1335-1343. doi: 10.1109/JAS.2020.1003213
Abstract(1876) HTML (774) PDF(130)
Abstract:
This paper concentrates on asymmetric barrier Lyapunov functions (ABLFs) based on finite-time adaptive neural network (NN) control methods for a class of nonlinear strict feedback systems with time-varying full state constraints. During the process of backstepping recursion, the approximation properties of NNs are exploited to address the problem of unknown internal dynamics. The ABLFs are constructed to make sure that the time-varying asymmetrical full state constraints are always satisfied. According to the Lyapunov stability and finite-time stability theory, it is proven that all the signals in the closed-loop systems are uniformly ultimately bounded (UUB) and the system output is driven to track the desired signal as quickly as possible near the origin. In the meantime, in the scope of finite-time, all states are guaranteed to stay in the pre-given range. Finally, a simulation example is proposed to verify the feasibility of the developed finite time control algorithm.
A Hybrid Brain-Computer Interface for Closed-Loop Position Control of a Robot Arm
Arnab Rakshit, Amit Konar, Atulya K. Nagar
2020, 7(5): 1344-1360. doi: 10.1109/JAS.2020.1003336
Abstract(4461) HTML (752) PDF(133)
Abstract:
Brain-Computer interfacing (BCI) has currently added a new dimension in assistive robotics. Existing brain-computer interfaces designed for position control applications suffer from two fundamental limitations. First, most of the existing schemes employ open-loop control, and thus are unable to track positional errors, resulting in failures in taking necessary online corrective actions. There are examples of a few works dealing with closed-loop electroencephalography (EEG)-based position control. These existing closed-loop brain-induced position control schemes employ a fixed order link selection rule, which often creates a bottleneck preventing time-efficient control. Second, the existing brain-induced position controllers are designed to generate a position response like a traditional first-order system, resulting in a large steady-state error. This paper overcomes the above two limitations by keeping provisions for steady-state visual evoked potential (SSVEP) induced link-selection in an arbitrary order as required for efficient control and generating a second-order response of the position-control system with gradually diminishing overshoots/undershoots to reduce steady-state errors. Other than the above, the third innovation is to utilize motor imagery and P300 signals to design the hybrid brain-computer interfacing system for the said application with gradually diminishing error-margin using speed reversal at the zero-crossings of positional errors. Experiments undertaken reveal that the steady-state error is reduced to 0.2%. The paper also provides a thorough analysis of the stability of the closed-loop system performance using the Root Locus technique.
A Recurrent Attention and Interaction Model for Pedestrian Trajectory Prediction
Xuesong Li, Yating Liu, Kunfeng Wang, Fei-Yue Wang
2020, 7(5): 1361-1370. doi: 10.1109/JAS.2020.1003300
Abstract(2440) HTML (622) PDF(119)
Abstract:
The movement of pedestrians involves temporal continuity, spatial interactivity, and random diversity. As a result, pedestrian trajectory prediction is rather challenging. Most existing trajectory prediction methods tend to focus on just one aspect of these challenges, ignoring the temporal information of the trajectory and making too many assumptions. In this paper, we propose a recurrent attention and interaction (RAI) model to predict pedestrian trajectories. The RAI model consists of a temporal attention module, spatial pooling module, and randomness modeling module. The temporal attention module is proposed to assign different weights to the input sequence of a target, and reduce the speed deviation of different pedestrians. The spatial pooling module is proposed to model not only the social information of neighbors in historical frames, but also the intention of neighbors in the current time. The randomness modeling module is proposed to model the uncertainty and diversity of trajectories by introducing random noise. We conduct extensive experiments on several public datasets. The results demonstrate that our method outperforms many that are state-of-the-art.
Learning a Deep Predictive Coding Network for a Semi-Supervised 3D-Hand Pose Estimation
Jamal Banzi, Isack Bulugu, Zhongfu Ye
2020, 7(5): 1371-1379. doi: 10.1109/JAS.2020.1003090
Abstract(2545) HTML (690) PDF(81)
Abstract:
In this paper we present a CNN based approach for a real time 3D-hand pose estimation from the depth sequence. Prior discriminative approaches have achieved remarkable success but are facing two main challenges: Firstly, the methods are fully supervised hence require large numbers of annotated training data to extract the dynamic information from a hand representation. Secondly, unreliable hand detectors based on strong assumptions or a weak detector which often fail in several situations like complex environment and multiple hands. In contrast to these methods, this paper presents an approach that can be considered as semi-supervised by performing predictive coding of image sequences of hand poses in order to capture latent features underlying a given image without supervision. The hand is modelled using a novel latent tree dependency model (LDTM) which transforms internal joint location to an explicit representation. Then the modeled hand topology is integrated with the pose estimator using data dependent method to jointly learn latent variables of the posterior pose appearance and the pose configuration respectively. Finally, an unsupervised error term which is a part of the recurrent architecture ensures smooth estimations of the final pose. Experiments on three challenging public datasets, ICVL, MSRA, and NYU demonstrate the significant performance of the proposed method which is comparable or better than state-of-the-art approaches.
Fine-Grained Resource Provisioning and Task Scheduling for Heterogeneous Applications in Distributed Green Clouds
Haitao Yuan, MengChu Zhou, Qing Liu, Abdullah Abusorrah
2020, 7(5): 1380-1393. doi: 10.1109/JAS.2020.1003177
Abstract(1647) HTML (679) PDF(65)
Abstract:
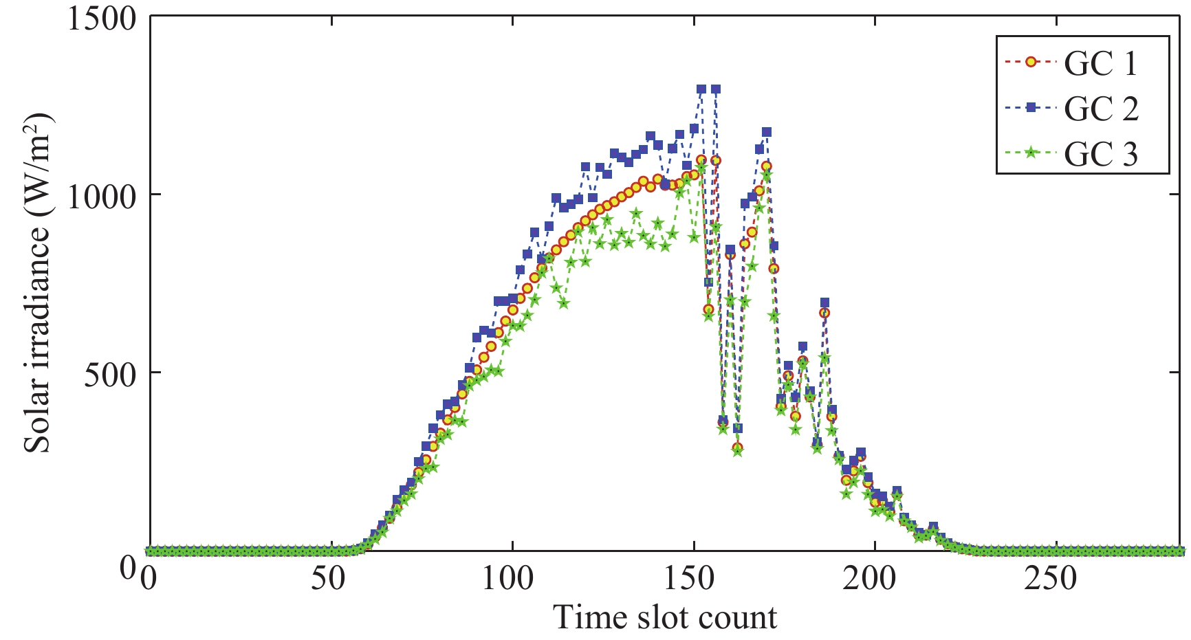
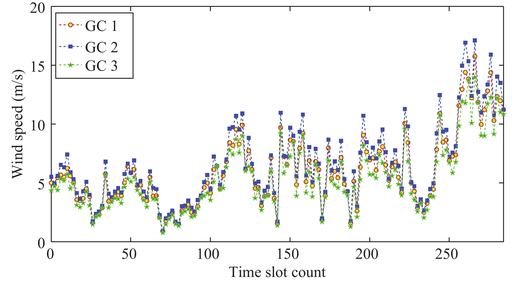
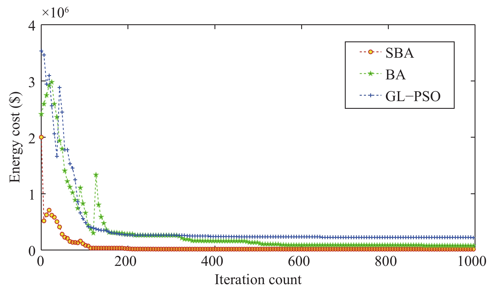
An increasing number of enterprises have adopted cloud computing to manage their important business applications in distributed green cloud (DGC) systems for low response time and high cost-effectiveness in recent years. Task scheduling and resource allocation in DGCs have gained more attention in both academia and industry as they are costly to manage because of high energy consumption. Many factors in DGCs, e.g., prices of power grid, and the amount of green energy express strong spatial variations. The dramatic increase of arriving tasks brings a big challenge to minimize the energy cost of a DGC provider in a market where above factors all possess spatial variations. This work adopts a G/G/1 queuing system to analyze the performance of servers in DGCs. Based on it, a single-objective constrained optimization problem is formulated and solved by a proposed simulated-annealing-based bees algorithm (SBA) to find SBA can minimize the energy cost of a DGC provider by optimally allocating tasks of heterogeneous applications among multiple DGCs, and specifying the running speed of each server and the number of powered-on servers in each GC while strictly meeting response time limits of tasks of all applications. Realistic data-based experimental results prove that SBA achieves lower energy cost than several benchmark scheduling methods do.
Finite-time Control of Discrete-time Systems With Variable Quantization Density in Networked Channels
Yiming Cheng, Xu Zhang, Tianhe Liu, Changhong Wang
2020, 7(5): 1394-1402. doi: 10.1109/JAS.2020.1003087
Abstract(1800) HTML (695) PDF(61)
Abstract:
This paper is concerned with the problem of finite-time control for a class of discrete-time networked systems. The measurement output and control input signals are quantized before being transmitted in communication network. The quantization density of the network is assumed to be variable depending on the throughputs of network for the sake of congestion avoidance. The variation of the quantization density modes satisfies persistent dwell-time (PDT) switching which is more general than dwell-time switching in networked channels. By using a quantization-error-dependent Lyapunov function approach, sufficient conditions are given to ensure that the quantized systems are finite-time stable and finite-time bounded with a prescribed ${\cal H}_{\infty }$ performance, upon which a set of controllers depending on the mode of quantization density are designed. In order to show the effectiveness of the designed ${\cal H}_{\infty }$ controller, we apply the developed theoretical results to a numerical example.
The Indirect Shared Steering Control Under Double Loop Structure of Driver and Automation
Yantao Tian, Yanbo Zhao, Yiran Shi, Xuanhao Cao, Ding-Li Yu
2020, 7(5): 1403-1416. doi: 10.1109/JAS.2019.1911639
Abstract(3518) HTML (927) PDF(96)
Abstract:
Due to the critical defects of techniques in fully autonomous vehicles, man-machine cooperative driving is still of great significance in today’s transportation system. Unlike the previous shared control structure, this paper introduces a double loop structure which is applied to indirect shared steering control between driver and automation. In contrast to the tandem indirect shared control, the parallel indirect shared control put the authority allocation system of steering angle into the framework to allocate the corresponding weighting coefficients reasonably and output the final desired steering angle according to the current deviation of vehicle and the accuracy of steering angles. Besides, the active disturbance rejection controller (ADRC) is also added in the frame in order to track the desired steering angle fleetly and accurately as well as restrain the internal and external disturbances effectively which including the steering friction torque, wind speed and ground interference etc. Eventually, we validated the advantages of double loop framework through three sets of double lane change and slalom experiments, respectively. Exactly as we expected, the simulation results show that the double loop structure can effectively reduce the lateral displacement error caused by the driver or the controller, significantly improve the tracking precision and keep great performance in trajectory tracking characteristics when driving errors occur in one of driver and controller.
The Fuzzy Neural Network Control Scheme With H Tracking Characteristic of Space Robot System With Dual-arm After Capturing a Spin Spacecraft
Jing Cheng, Li Chen
2020, 7(5): 1417-1424. doi: 10.1109/JAS.2018.7511180
Abstract(1422) HTML (608) PDF(57)
Abstract:
In this paper, the dynamic evolution for a dual-arm space robot capturing a spacecraft is studied, the impact effect and the coordinated stabilization control problem for post-impact closed chain system are discussed. At first, the pre-impact dynamic equations of open chain dual-arm space robot are established by Lagrangian approach, and the dynamic equations of a spacecraft are obtained by Newton-Euler method. Based on the results, with the process of integral and simplify, the response of the dual-arm space robot impacted by the spacecraft is analyzed by momentum conservation law and force transfer law. The closed chain system is formed in the post-impact phase. Closed chain constraint equations are obtained by the constraints of closed-loop geometry and kinematics. With the closed chain constraint equations, the composite system dynamic equations are derived. Secondly, the recurrent fuzzy neural network control scheme is designed for calm motion of unstable closed chain system with uncertain system parameter. In order to overcome the effects of uncertain system inertial parameters, the recurrent fuzzy neural network is used to approximate the unknown part, the control method with $\pmb H_{{\infty }}$ tracking characteristic. According to the Lyapunov theory, the global stability is demonstrated. Meanwhile, the weighted minimum-norm theory is introduced to distribute torques guarantee that cooperative operation between manipulators. At last, numerical examples simulate the response of the collision, and the efficiency of the control scheme is verified by the simulation results.
Arbitrary-Order Fractance Approximation Circuits With High Order-Stability Characteristic and Wider Approximation Frequency Bandwidth
Qiu-Yan He, Yi-Fei Pu, Bo Yu, Xiao Yuan
2020, 7(5): 1425-1436. doi: 10.1109/JAS.2020.1003009
Abstract(1904) HTML (681) PDF(55)
Abstract:
This paper discusses a novel rational approximation algorithm of arbitrary-order fractances, which has high order-stability characteristic and wider approximation frequency bandwidth. The fractor has been exploited extensively in various scientific domains. The well-known shortcoming of the existing fractance approximation circuits, such as the oscillation phenomena, is still in great need of special research attention. Motivated by this need, a novel algorithm with high order-stability characteristic and wider approximation frequency bandwidth is introduced. In order to better understand the iterating process, the approximation principle of this algorithm is investigated at first. Next, features of the iterating function and frequency-domain characteristics of the impedance function calculated by this algorithm are researched, respectively. Furthermore, approximation performance comparisons have been made between the corresponding circuit and other types of fractance approximation circuits. Finally, a fractance approximation circuit with the impedance function of negative 2/3-order is designed. The high order-stability characteristic and wider approximation frequency bandwidth are fundamental important advantages, which make our proposed algorithm competitive in practical applications.
Variational Inference Based Kernel Dynamic Bayesian Networks for Construction of Prediction Intervals for Industrial Time Series With Incomplete Input
Long Chen, Linqing Wang, Zhongyang Han, Jun Zhao, Wei Wang
2020, 7(5): 1437-1445. doi: 10.1109/JAS.2019.1911645
Abstract(2491) HTML (1414) PDF(93)
Abstract:
Prediction intervals (PIs) for industrial time series can provide useful guidance for workers. Given that the failure of industrial sensors may cause the missing point in inputs, the existing kernel dynamic Bayesian networks (KDBN), serving as an effective method for PIs construction, suffer from high computational load using the stochastic algorithm for inference. This study proposes a variational inference method for the KDBN for the purpose of fast inference, which avoids the time-consuming stochastic sampling. The proposed algorithm contains two stages. The first stage involves the inference of the missing inputs by using a local linearization based variational inference, and based on the computed posterior distributions over the missing inputs the second stage sees a Gaussian approximation for probability over the nodes in future time slices. To verify the effectiveness of the proposed method, a synthetic dataset and a practical dataset of generation flow of blast furnace gas (BFG) are employed with different ratios of missing inputs. The experimental results indicate that the proposed method can provide reliable PIs for the generation flow of BFG and it exhibits shorter computing time than the stochastic based one.
A Novel MDFA-MKECA Method With Application to Industrial Batch Process Monitoring
Yinghua Yang, Xiang Shi, Xiaozhi Liu, Hongru Li
2020, 7(5): 1446-1454. doi: 10.1109/JAS.2019.1911555
Abstract(1967) HTML (735) PDF(46)
Abstract:
For the complex batch process with characteristics of unequal batch data length, a novel data-driven batch process monitoring method is proposed based on mixed data features analysis and multi-way kernel entropy component analysis (MDFA-MKECA) in this paper. Combining the mechanistic knowledge, different mixed data features of each batch including statistical and thermodynamics entropy features, are extracted to finish data pre-processing. After that, MKECA is applied to reduce data dimensionality and finally establish a monitoring model. The proposed method is applied to a reheating furnace industry process, and the experimental results demonstrate that the MDFA-MKECA method can reduce the calculated amount and effectively provide on-line monitoring of the batch process.
A Local Deviation Constraint Based Non-Rigid Structure From Motion Approach
Xia Chen, Zhan-Li Sun, Kin-Man Lam, Zhigang Zeng
2020, 7(5): 1455-1464. doi: 10.1109/JAS.2020.1003006
Abstract(1653) HTML (679) PDF(54)
Abstract:
In many traditional non-rigid structure from motion (NRSFM) approaches, the estimation results of part feature points may significantly deviate from their true values because only the overall estimation error is considered in their models. Aimed at solving this issue, a local deviation-constrained-based column-space-fitting approach is proposed in this paper to alleviate estimation deviation. In our work, an effective model is first constructed with two terms: the overall estimation error, which is computed by a linear subspace representation, and a constraint term, which is based on the variance of the reconstruction error for each frame. Furthermore, an augmented Lagrange multipliers (ALM) iterative algorithm is presented to optimize the proposed model. Moreover, a convergence analysis is performed with three steps for the optimization process. As both the overall estimation error and the local deviation are utilized, the proposed method can achieve a good estimation performance and a relatively uniform estimation error distribution for different feature points. Experimental results on several widely used synthetic sequences and real sequences demonstrate the effectiveness and feasibility of the proposed algorithm.