A journal of IEEE and CAA , publishes high-quality papers in English on original theoretical/experimental research and development in all areas of automation
Volume 7 Issue 5
Sep.  2020

IEEE/CAA Journal of Automatica Sinica

  • JCR Impact Factor: 19.2, Top 1 (SCI Q1)
    CiteScore: 28.2, Top 1% (Q1)
    Google Scholar h5-index: 95, TOP 5
Turn off MathJax
Article Contents
Qiu-Yan He, Yi-Fei Pu, Bo Yu and Xiao Yuan, "Arbitrary-Order Fractance Approximation Circuits With High Order-Stability Characteristic and Wider Approximation Frequency Bandwidth," IEEE/CAA J. Autom. Sinica, vol. 7, no. 5, pp. 1425-1436, Sept. 2020. doi: 10.1109/JAS.2020.1003009
Citation: Qiu-Yan He, Yi-Fei Pu, Bo Yu and Xiao Yuan, "Arbitrary-Order Fractance Approximation Circuits With High Order-Stability Characteristic and Wider Approximation Frequency Bandwidth," IEEE/CAA J. Autom. Sinica, vol. 7, no. 5, pp. 1425-1436, Sept. 2020. doi: 10.1109/JAS.2020.1003009

Arbitrary-Order Fractance Approximation Circuits With High Order-Stability Characteristic and Wider Approximation Frequency Bandwidth

doi: 10.1109/JAS.2020.1003009
Funds:  This work was supported by the National Key Research and Development Program Foundation of China (2018YFC0830300) and National Natural Science Foundation of China (61571312)
More Information
  • This paper discusses a novel rational approximation algorithm of arbitrary-order fractances, which has high order-stability characteristic and wider approximation frequency bandwidth. The fractor has been exploited extensively in various scientific domains. The well-known shortcoming of the existing fractance approximation circuits, such as the oscillation phenomena, is still in great need of special research attention. Motivated by this need, a novel algorithm with high order-stability characteristic and wider approximation frequency bandwidth is introduced. In order to better understand the iterating process, the approximation principle of this algorithm is investigated at first. Next, features of the iterating function and frequency-domain characteristics of the impedance function calculated by this algorithm are researched, respectively. Furthermore, approximation performance comparisons have been made between the corresponding circuit and other types of fractance approximation circuits. Finally, a fractance approximation circuit with the impedance function of negative 2/3-order is designed. The high order-stability characteristic and wider approximation frequency bandwidth are fundamental important advantages, which make our proposed algorithm competitive in practical applications.

     

  • loading
  • [1]
    Y. Su and Y. Wang, “Parameter estimation for fractional diffusion process with discrete observations,” J. Function Spaces, 2019. doi: 10.1155/2019/9036285
    [2]
    W. Hamrouni and A. Abdennadher, “Random walk’s models for fractional diffusion equation,” Discrete and Continuous Dynamical Systems - Series B, vol. 21, no. 8, pp. 2509–2530, 2017.
    [3]
    G. C. Wu, D. Baleanu, Z. G. Deng, and S. D. Zeng, “Lattice fractional diffusion equation in terms of a rieszcaputo difference,” Physica A Statistical Mechanics and Its Applications, vol. 438, pp. 335–339, 2015. doi: 10.1016/j.physa.2015.06.024
    [4]
    G. Karamali, M. Dehghan, and M. Abbaszadeh, “Numerical solution of a time-fractional PDE in the electroanalytical chemistry by a local meshless method,” Engineering with Computers, vol. 35, no. 1, pp. 87–100, 2019. doi: 10.1007/s00366-018-0585-7
    [5]
    K. B. Oldham, “Interrelation of current and concentration at electrodes,” J. Applied Electrochemistry, vol. 21, no. 12, pp. 1068–1072, 1991. doi: 10.1007/BF01041448
    [6]
    C. Wu and W. Rui, “Method of separation variables combined with homogenous balanced principle for searching exact solutions of nonlinear time-fractional biological population model,” Communications in Nonlinear Science and Numerical Simulation, vol. 63, pp. 88–100, 2018. doi: 10.1016/j.cnsns.2018.03.009
    [7]
    D. Craiem and R. L. Magin, “Fractional order models of viscoelasticity as an alternative in the analysis of red blood cell (RBC) membrane mechanics,” Physical Biology, vol. 7, no. 1, pp. 13001, 2010. doi: 10.1088/1478-3975/7/1/013001
    [8]
    C. Izaguirre-Espinosa, A.-J. Muñoz-Vázquez, A. Sánchez-Orta, V. Parra-Vega, and I. Fantoni, “Fractional-order control for robust position/yaw tracking of quadrotors with experiments,” IEEE Trans. Control Systems Technology, vol. 27, no. 4, pp. 1645–1650, 2019. doi: 10.1109/TCST.2018.2831175
    [9]
    M. Shahvali, M.-B. Naghibi-Sistani, and H. Modares, “Distributed consensus control for a network of incommensurate fractional-order systems,” IEEE Control Systems Letters, vol. 3, no. 2, pp. 481–486, 2019. doi: 10.1109/LCSYS.2019.2903227
    [10]
    A. Chevalier, C. Francis, C. Copot, C. M. Ionescu, and R. De Keyser, “Fractional-order PID design: Towards trans. from state-of-art to state-of-use,” ISA Trans., vol. 84, pp. 178–186, 2019. doi: 10.1016/j.isatra.2018.09.017
    [11]
    R. De Keyser, C. I. Muresan, and C. M. Ionescu, “An efficient algorithm for low-order direct discrete-time implementation of fractional order transfer functions,” ISA Trans., vol. 74, pp. 229–238, 2018. doi: 10.1016/j.isatra.2018.01.026
    [12]
    R. De Keyser, C. I. Muresan, and C. M. Ionescu, “A novel auto-tuning method for fractional order PI/PD controllers,” ISA Trans., vol. 62, pp. 268–275, 2016. doi: 10.1016/j.isatra.2016.01.021
    [13]
    R. D. Keyser and C. I. Muresan, “Analysis of a new continuous-todiscrete-time operator for the approximation of fractional order systems,” in Proc. IEEE Int. Conf. Systems, Man, and Cybernetics, 2016, pp. 3211–3216.
    [14]
    L. Liu, S. Tian, D. Xue, T. Zhang, and Y. Chen, “Continuous fractional-order zero phase error tracking control,” ISA Trans., vol. 75, pp. 226–235, 2018. doi: 10.1016/j.isatra.2018.01.025
    [15]
    W. Zheng, Y. Luo, X. Wang, Y. Pi, and Y. Chen, “Fractional order PIλDμ controller design for satisfying time and frequency domain specifications simultaneously,” ISA Trans., vol. 68, pp. 212–222, 2017. doi: 10.1016/j.isatra.2017.02.016
    [16]
    A. Tepljakov, E. A. Gonzalez, E. Petlenkov, J. Belikov, C. A. Monje, and I. Petráš, “Incorporation of fractional-order dynamics into an existing PI/PID DC motor control loop,” ISA Trans., vol. 60, pp. 262–273, 2016. doi: 10.1016/j.isatra.2015.11.012
    [17]
    I. Dimeas, I. Petráš, and C. Psychalinos, “New analog implementation technique for fractional-order controller: a DC motor control,” AEÜ Int. J. Electronics and Communications, vol. 78, pp. 192–200, 2017. doi: 10.1016/j.aeue.2017.03.010
    [18]
    A. Oustaloup, F. Levron, B. Mathieu, and F. M. Nanot, “Frequencyband complex noninteger differentiator: Characterization and synthesis,” IEEE Trans. Circuits and Systems I:Fundamental Theory and Applications, vol. 47, no. 1, pp. 25–39, 2000. doi: 10.1109/81.817385
    [19]
    Y. Luo and Y. Chen, “Fractional order [proportional derivative] controller for a class of fractional order systems,” Automatica, vol. 45, no. 10, pp. 2446–2450, 2009. doi: 10.1016/j.automatica.2009.06.022
    [20]
    G. Fedele, “A fractional-order repetitive controller for periodic disturbance rejection,” IEEE Trans. Automatic Control, vol. 63, no. 5, pp. 1426–1433, 2018. doi: 10.1109/TAC.2017.2748346
    [21]
    O. Atan, “Implementation and simulation of fractional order chaotic circuits with time-delay,” Analog Integrated Circuits and Signal Processing, vol. 96, no. 3, pp. 485–494, 2018. doi: 10.1007/s10470-018-1189-2
    [22]
    T. C. Lin and T. Y. Lee, “Chaos synchronization of uncertain fractional-order chaotic systems with time delay based on adaptive fuzzy sliding mode control,” IEEE Trans. Fuzzy Systems, vol. 19, no. 4, pp. 623–635, 2011. doi: 10.1109/TFUZZ.2011.2127482
    [23]
    G. M. Mahmoud, T. M. Abed-Elhameed, and M. E. Ahmed, “Generalization of combination-combination synchronization of chaotic ndimensional fractional-order dynamical systems,” Nonlinear Dynamics, vol. 83, no. 4, pp. 1885–1893, 2016. doi: 10.1007/s11071-015-2453-y
    [24]
    H. Zhu, S. Zhou, and J. Zhang, “Chaos and synchronization of the fractional-order Chuas system,” Chaos Solitons and Fractals, vol. 26, no. 03, pp. 1595–1603, 2016.
    [25]
    S. Yang, J. Yu, C. Hu, and H. Jiang, “Quasi-projective synchronization of fractional-order complex-valued recurrent neural networks,” Neural Networks, vol. 104, pp. 104–113, 2018. doi: 10.1016/j.neunet.2018.04.007
    [26]
    G. Velmurugan and R. Rakkiyappan, “Hybrid projective synchronization of fractional-order memristor-based neural networks with time delays,” Nonlinear Dynamics, vol. 11, no. 3, pp. 1–14, 2015.
    [27]
    H. B. Bao and J. D. Cao, “Projective synchronization of fractional-order memristor-based neural networks,” Neural Networks the Official J. Int. Neural Network Society, vol. 63, pp. 1, 2015. doi: 10.1016/j.neunet.2014.10.007
    [28]
    R. Rakkiyappan, J. Cao, and G. Velmurugan, “Existence and uniform stability analysis of fractional-order complex-valued neural networks with time delays,” IEEE Trans. Neural Networks and Learning Systems, vol. 26, no. 1, pp. 84–97, 2015. doi: 10.1109/TNNLS.2014.2311099
    [29]
    Y. F. Pu, Z. Yi, and J. L. Zhou, “Fractional Hopfield neural networks: Fractional dynamic associative recurrent neural networks,” IEEE Trans. Neural Networks and Learning Systems, vol. 28, no. 10, pp. 2319–2333, 2017. doi: 10.1109/TNNLS.2016.2582512
    [30]
    Y. F. Pu, “Analog circuit realization of arbitrary-order fractional Hopfield neural networks: A novel application of fractor to defense against chip cloning attacks,” IEEE Access, vol. 4, no. 99, pp. 5417–5435, 2016.
    [31]
    G. S. Liang, Y. M. Jing, C. Liu, and L. Ma, “Passive synthesis of a class of fractional immittance function based on multivariable theory,” J. Circuits,Systems and Computers, vol. 27, no. 5, 2018. doi: 10.1142/S0218126618500743
    [32]
    A. Adhikary, S. Sen, and K. Biswas, “Practical realization of tunable fractional order parallel resonator and fractional order filters,” IEEE Trans. Circuits and Systems I:Regular Papers, vol. 63, no. 8, pp. 1142–1151, 2016. doi: 10.1109/TCSI.2016.2568262
    [33]
    S. L. Wu and M. Al-Khaleel, “Parameter optimization in waveform relaxation for fractional-order RC circuits,” IEEE Trans. Circuits and Systems I:Regular Papers, vol. 64, no. 7, pp. 1781–1790, 2017. doi: 10.1109/TCSI.2017.2682119
    [34]
    M. S. Sarafraz and M. S. Tavazoei, “Passive realization of fractionalorder impedances by a fractional element and RLC components: Conditions and procedure,” IEEE Trans. Circuits and Systems I Regular Papers, vol. 64, no. 3, pp. 585–595, 2017. doi: 10.1109/TCSI.2016.2614249
    [35]
    X. Yuan, Mathematical Principles of Fractance Approximation Circuits, Science Press, Beijing, 2015.
    [36]
    B. Yu, Q. Y. He, and X. Yuan, “Scaling fractal-lattice franctance approximation circuits of arbitrary order and irregular lattice type scaling equation,” Acta Physica Sinica, vol. 67, no. 7, 2018.
    [37]
    Y. F. Pu, X. Yuan, and B. Yu, “Analog circuit implementation of fractional-order memristor: Arbitrary-order lattice scaling fracmemristor,” IEEE Trans. Circuits and Systems I:Regular Papers, vol. 65, no. 9, pp. 2903–2916, 2018. doi: 10.1109/TCSI.2018.2789907
    [38]
    A. Charef, “Analogue realisation of fractional-order integrator, differentiator and fractional PIλDμ controller,” IEE Proceedings-Control Theory and Applications, vol. 153, no. 6, pp. 714–720, 2006. doi: 10.1049/ip-cta:20050019
    [39]
    A. Adhikary, P. Sen, S. Sen, and K. Biswas, “Design and performance study of dynamic fractors in any of the four quadrants,” Circuits Systems and Signal Processing, vol. 35, no. 6, pp. 1909–1932, 2016. doi: 10.1007/s00034-015-0213-3
    [40]
    Q. Y. He, Y. F. Pu, B. Yu, and X. Yuan, “Scaling fractal-chuan fractance approximation circuits of arbitrary order,” Circuits,Systems,and Signal Processing, vol. 38, no. 11, pp. 4933–4958, 2019.
    [41]
    A. Oustaloup, O. Cois, P. Lanusse, P. Melchior, X. Moreau, and J. Sabatier, “The crone aproach: Theoretical developments and major applications,” IFAC Proceedings Volumes, vol. 39, no. 11, pp. 324–354, 2006. doi: 10.3182/20060719-3-PT-4902.00059
    [42]
    G. Carlson and C. Halijak, “Approximation of fractional capacitors (1/s)1/n by a regular newton process,” IEEE Trans. Circuit Theory, vol. 11, no. 2, pp. 210–213, 1964. doi: 10.1109/TCT.1964.1082270
    [43]
    Q. Y. He and X. Yuan, “Carlson iteration and rational approximations of arbitrary order fractional calculus operator,” Acta Physica Sinica, vol. 65, no. 16, pp. 25–34, 2016.
    [44]
    Q. Y. He, B. Yu, and X. Yuan, “Carlson iterating rational approximation and performance analysis of fractional operator with arbitrary order,” Chin. Phys. B, vol. 26, no. 4, pp. 66–74, 2017.
    [45]
    K. Biswas, S. Sen, and P. K. Dutta, “Realization of a constant phase element and its performance study in a differentiator circuit,” IEEE Trans. Circuits and Systems II:Express Briefs, vol. 53, no. 9, pp. 802–806, 2006. doi: 10.1109/TCSII.2006.879102
    [46]
    D. Mondal and K. Biswas, “Performance study of fractional order integrator using single-component fractional order element,” IET Circuits Devices and Systems, vol. 5, no. 4, pp. 334–342, 2011. doi: 10.1049/iet-cds.2010.0366
    [47]
    B. Yu, Q. Y. He, X. Yuan, and L. X. Yang, “Approximation performance analyses and applications of F characteristics in fractance approximation circuit,” J. Sichuan University (Natural Science Edition), vol. 55, no. 2, pp. 301–306, 2018.
    [48]
    P. P. Liu, X. Yuan, L. Tao, and Z. Yi, “Operational characteristics and approximation performance analysis of oustaloup fractance circuits,” J. Sichuan University (Natural Science Edition), vol. 53, no. 2, 2016.
    [49]
    P. P. Liu and X. Yuan, “Approximation performance analysis of Oustaloup rational approximation of ideal fractance,” J. Sichuan University (Engineering Science Edition), no. s2, pp. 147–154, 2016.

Catalog

    通讯作者: 陈斌, bchen63@163.com
    • 1. 

      沈阳化工大学材料科学与工程学院 沈阳 110142

    1. 本站搜索
    2. 百度学术搜索
    3. 万方数据库搜索
    4. CNKI搜索

    Figures(17)  / Tables(5)

    Article Metrics

    Article views (1776) PDF downloads(55) Cited by()

    Highlights

    • Fractor is a burgeoning new circuit element with fractance (abbreviation of fractional-order impedance). The ideal fractor does not currently exist and its approximate physical realization is called a fractance approximation circuit. There are oscillation phenomena in the existing fractance approximation circuits. This paper discusses an improved rational approximation algorithm of arbitrary-order fractances, which has high order-stability characteristic and wider approximation frequency bandwidth.
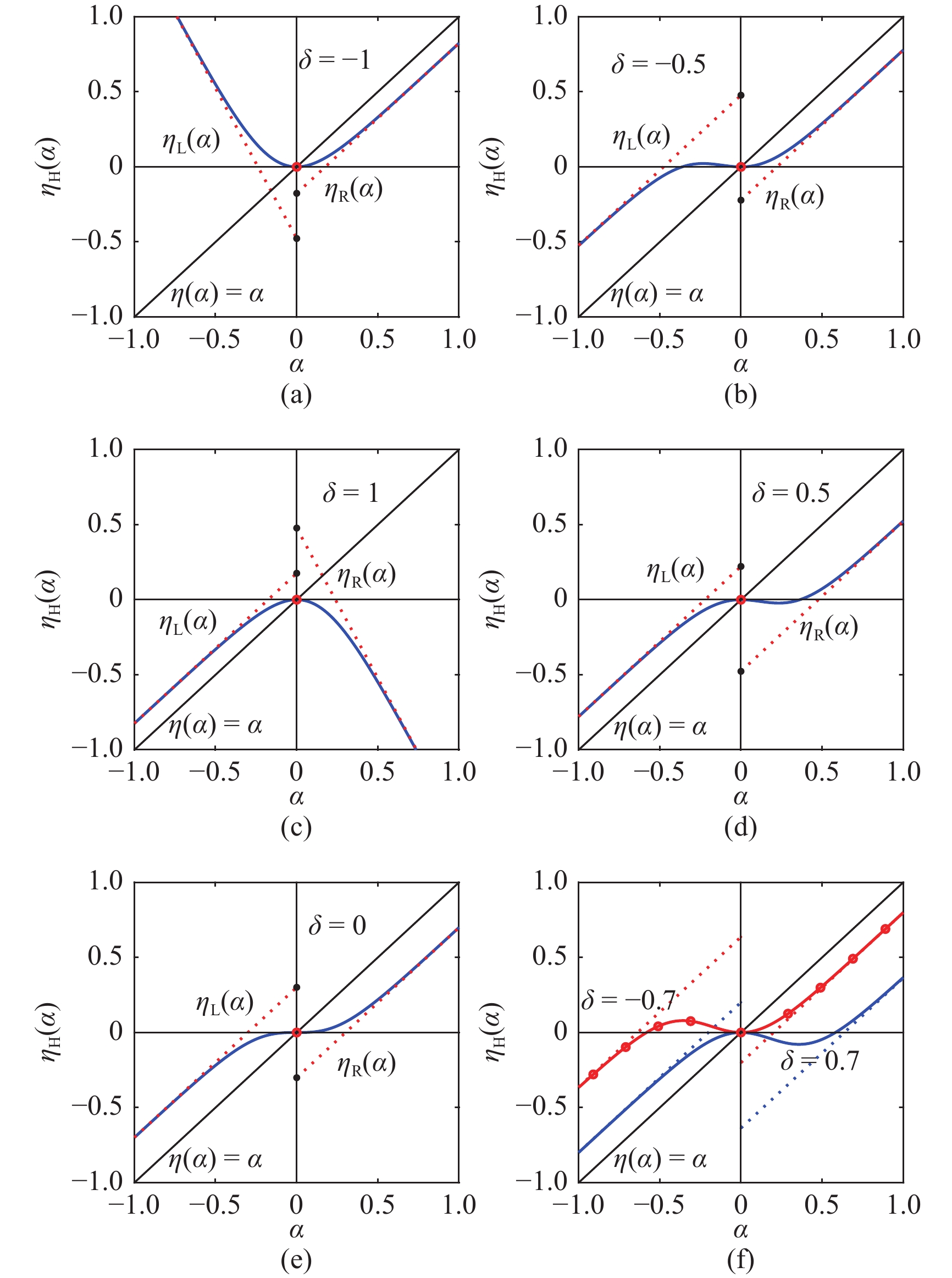
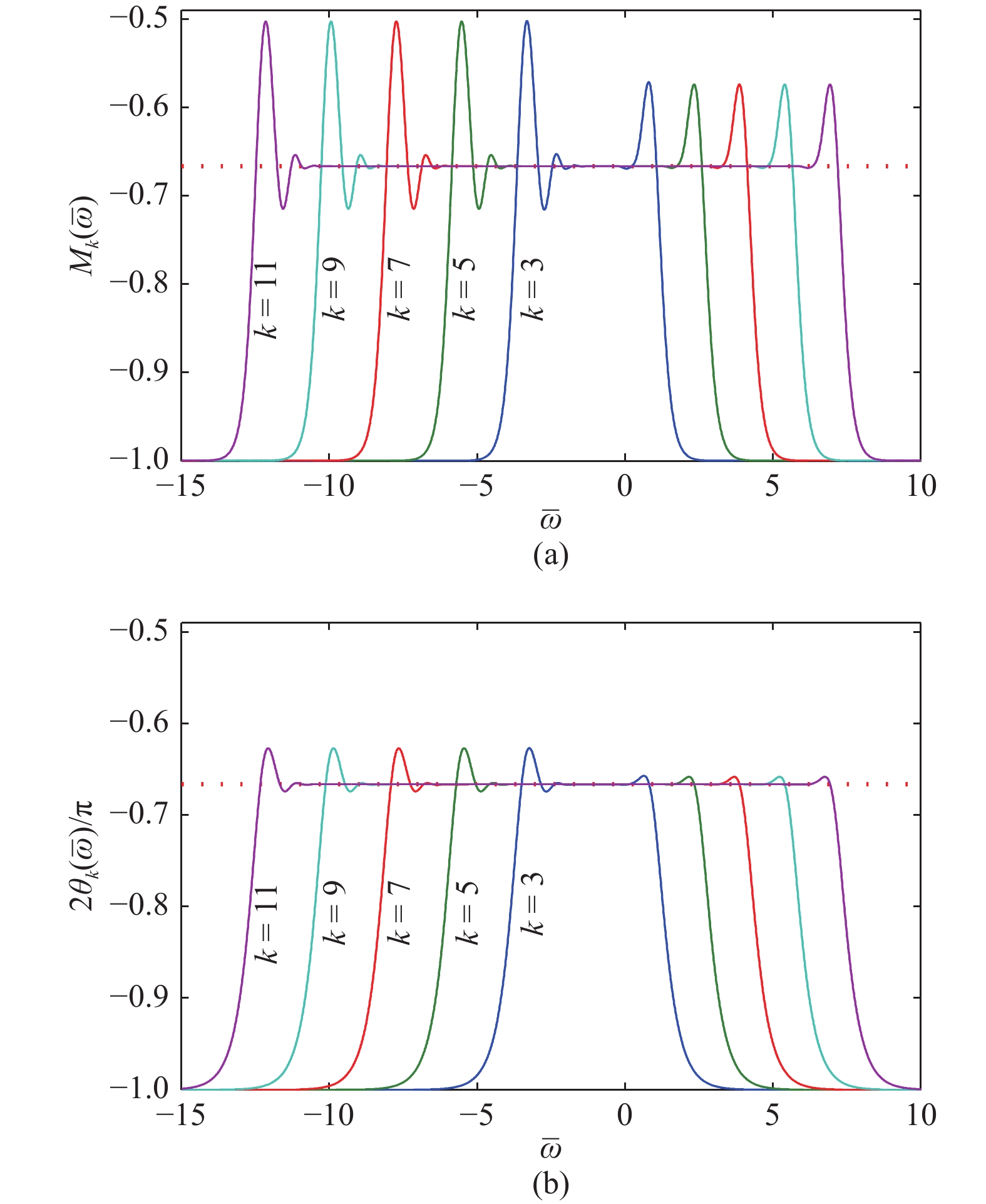
    • Compared with the related algorithms, the predistortion exponent of this algorithm is not limited to be zero and has a value between -1 and 1. In order to better understand that why the algorithm is with high order-stability characteristic and wider approximation frequency bandwidth, features of the iterating function and frequency-domain characteristics of the impedance function calculated by this algorithm are researched in detail.
    • Approximation performance comparisons have been made between the corresponding circuit and other types of fractance approximation circuits. Moreover, a fractance approximation circuit with the impedance function of -2/3-order is designed to verify the practicality of the algorithm.

    /

    DownLoad:  Full-Size Img  PowerPoint
    Return
    Return