A journal of IEEE and CAA , publishes high-quality papers in English on original theoretical/experimental research and development in all areas of automation

Vol. 7,  No. 4, 2020

Display Method:
PAPERS
Parallel Control for Continuous-Time Linear Systems: A Case Study
Qinglai Wei, Hongyang Li, Fei-Yue Wang
2020, 7(4): 919-928. doi: 10.1109/JAS.2020.1003216
Abstract(2329) HTML (613) PDF(180)
Abstract:
In this paper, a new parallel controller is developed for continuous-time linear systems. The main contribution of the method is to establish a new parallel control law, where both state and control are considered as the input. The structure of the parallel control is provided, and the relationship between the parallel control and traditional feedback controls is presented. Considering the situations that the systems are controllable and incompletely controllable, the properties of the parallel control law are analyzed. The parallel controller design algorithms are given under the conditions that the systems are controllable and incompletely controllable. Finally, numerical simulations are carried out to demonstrate the effectiveness and applicability of the present method.
Stability of Nonlinear Differential-Algebraic Systems Via Additive Identity
Pierluigi Di Franco, Giordano Scarciotti, Alessandro Astolfi
2020, 7(4): 929-941. doi: 10.1109/JAS.2020.1003219
Abstract(1841) HTML (1273) PDF(171)
Abstract:
The stability analysis for nonlinear differential-algebraic systems is addressed using tools from classical control theory. Sufficient stability conditions relying on matrix inequalities are established via Lyapunov Direct Method. In addition, a novel interpretation of differential-algebraic systems as feedback interconnection of a purely differential system and an algebraic system allows reducing the stability analysis to a small-gain-like condition. The study of stability properties for constrained mechanical systems, for a class of Lipschitz differential-algebraic systems and for an academic example is used to illustrate the theory.
An Iterative Pose Estimation Algorithm Based on Epipolar Geometry With Application to Multi-Target Tracking
Jacob H. White, Randal W. Beard
2020, 7(4): 942-953. doi: 10.1109/JAS.2020.1003222
Abstract(2112) HTML (585) PDF(133)
Abstract:
This paper introduces a new algorithm for estimating the relative pose of a moving camera using consecutive frames of a video sequence. State-of-the-art algorithms for calculating the relative pose between two images use matching features to estimate the essential matrix. The essential matrix is then decomposed into the relative rotation and normalized translation between frames. To be robust to noise and feature match outliers, these methods generate a large number of essential matrix hypotheses from randomly selected minimal subsets of feature pairs, and then score these hypotheses on all feature pairs. Alternatively, the algorithm introduced in this paper calculates relative pose hypotheses by directly optimizing the rotation and normalized translation between frames, rather than calculating the essential matrix and then performing the decomposition. The resulting algorithm improves computation time by an order of magnitude. If an inertial measurement unit (IMU) is available, it is used to seed the optimizer, and in addition, we reuse the best hypothesis at each iteration to seed the optimizer thereby reducing the number of relative pose hypotheses that must be generated and scored. These advantages greatly speed up performance and enable the algorithm to run in real-time on low cost embedded hardware. We show application of our algorithm to visual multi-target tracking (MTT) in the presence of parallax and demonstrate its real-time performance on a 640 × 480 video sequence captured on a UAV. Video results are available at https://youtu.be/HhK-p2hXNnU.
Data-based Fault Tolerant Control for Affine Nonlinear Systems Through Particle Swarm Optimized Neural Networks
Haowei Lin, Bo Zhao, Derong Liu, Cesare Alippi
2020, 7(4): 954-964. doi: 10.1109/JAS.2020.1003225
Abstract(2904) HTML (548) PDF(123)
Abstract:
In this paper, a data-based fault tolerant control (FTC) scheme is investigated for unknown continuous-time (CT) affine nonlinear systems with actuator faults. First, a neural network (NN) identifier based on particle swarm optimization (PSO) is constructed to model the unknown system dynamics. By utilizing the estimated system states, the particle swarm optimized critic neural network (PSOCNN) is employed to solve the Hamilton-Jacobi-Bellman equation (HJBE) more efficiently. Then, a data-based FTC scheme, which consists of the NN identifier and the fault compensator, is proposed to achieve actuator fault tolerance. The stability of the closed-loop system under actuator faults is guaranteed by the Lyapunov stability theorem. Finally, simulations are provided to demonstrate the effectiveness of the developed method.
A Spatial-Temporal Attention Model for Human Trajectory Prediction
Xiaodong Zhao, Yaran Chen, Jin Guo, Dongbin Zhao
2020, 7(4): 965-974. doi: 10.1109/JAS.2020.1003228
Abstract(2374) HTML (758) PDF(145)
Abstract:
Human trajectory prediction is essential and promising in many related applications. This is challenging due to the uncertainty of human behaviors, which can be influenced not only by himself, but also by the surrounding environment. Recent works based on long-short term memory (LSTM) models have brought tremendous improvements on the task of trajectory prediction. However, most of them focus on the spatial influence of humans but ignore the temporal influence. In this paper, we propose a novel spatial-temporal attention (ST-Attention) model, which studies spatial and temporal affinities jointly. Specifically, we introduce an attention mechanism to extract temporal affinity, learning the importance for historical trajectory information at different time instants. To explore spatial affinity, a deep neural network is employed to measure different importance of the neighbors. Experimental results show that our method achieves competitive performance compared with state-of-the-art methods on publicly available datasets.
Approximate Dynamic Programming for Stochastic Resource Allocation Problems
Ali Forootani, Raffaele Iervolino, Massimo Tipaldi, Joshua Neilson
2020, 7(4): 975-990. doi: 10.1109/JAS.2020.1003231
Abstract(1614) HTML (460) PDF(106)
Abstract:
A stochastic resource allocation model, based on the principles of Markov decision processes (MDPs), is proposed in this paper. In particular, a general-purpose framework is developed, which takes into account resource requests for both instant and future needs. The considered framework can handle two types of reservations (i.e., specified and unspecified time interval reservation requests), and implement an overbooking business strategy to further increase business revenues. The resulting dynamic pricing problems can be regarded as sequential decision-making problems under uncertainty, which is solved by means of stochastic dynamic programming (DP) based algorithms. In this regard, Bellman’s backward principle of optimality is exploited in order to provide all the implementation mechanisms for the proposed reservation pricing algorithm. The curse of dimensionality, as the inevitable issue of the DP both for instant resource requests and future resource reservations, occurs. In particular, an approximate dynamic programming (ADP) technique based on linear function approximations is applied to solve such scalability issues. Several examples are provided to show the effectiveness of the proposed approach.
Concrete Defects Inspection and 3D Mapping Using CityFlyer Quadrotor Robot
Liang Yang, Bing Li, Wei Li, Howard Brand, Biao Jiang, Jizhong Xiao
2020, 7(4): 991-1002. doi: 10.1109/JAS.2020.1003234
Abstract(1439) HTML (542) PDF(67)
Abstract:
The concrete aging problem has gained more attention in recent years as more bridges and tunnels in the United States lack proper maintenance. Though the Federal Highway Administration requires these public concrete structures to be inspected regularly, on-site manual inspection by human operators is time-consuming and labor-intensive. Conventional inspection approaches for concrete inspection, using RGB image-based thresholding methods, are not able to determine metric information as well as accurate location information for assessed defects for conditions. To address this challenge, we propose a deep neural network (DNN) based concrete inspection system using a quadrotor flying robot (referred to as CityFlyer) mounted with an RGB-D camera. The inspection system introduces several novel modules. Firstly, a visual-inertial fusion approach is introduced to perform camera and robot positioning and structure 3D metric reconstruction. The reconstructed map is used to retrieve the location and metric information of the defects. Secondly, we introduce a DNN model, namely AdaNet, to detect concrete spalling and cracking, with the capability of maintaining robustness under various distances between the camera and concrete surface. In order to train the model, we craft a new dataset, i.e., the concrete structure spalling and cracking (CSSC) dataset, which is released publicly to the research community. Finally, we introduce a 3D semantic mapping method using the annotated framework to reconstruct the concrete structure for visualization. We performed comparative studies and demonstrated that our AdaNet can achieve 8.41% higher detection accuracy than ResNets and VGGs. Moreover, we conducted five field tests, of which three are manual hand-held tests and two are drone-based field tests. These results indicate that our system is capable of performing metric field inspection, and can serve as an effective tool for civil engineers.
Evaluating Group Formation in Virtual Communities
Giancarlo Fortino, Antonio Liotta, Fabrizio Messina, Domenico Rosaci, Giuseppe M. L. Sarnè
2020, 7(4): 1003-1015. doi: 10.1109/JAS.2020.1003237
Abstract(1854) HTML (495) PDF(39)
Abstract:
In this paper, we are interested in answering the following research question: “Is it possible to form effective groups in virtual communities by exploiting trust information without significant overhead, similarly to real user communities?” In order to answer this question, instead of adopting the largely used approach of exploiting the opinions provided by all the users of the community (called global reputation), we propose to use a particular form of reputation, called local reputation. We also propose an algorithm for group formation able to implement the proposed procedure to form effective groups in virtual communities. Another interesting question is how to measure the effectiveness of groups in virtual communities. To this aim we introduce the $G_k$ index in a measure of the effectiveness of the group formation. We tested our algorithm by realizing some experimental trials on real data from the real world EPINIONS and CIAO communities, showing the significant advantages of our procedure w.r.t. another prominent approach based on traditional global reputation.
A Study on Hovering Control of Small Aerial Robot by Sensing Existing Floor Features
Chinthaka Premachandra, Dang Ngoc Hoang Thanh, Tomotaka Kimura, Hiroharu Kawanaka
2020, 7(4): 1016-1025. doi: 10.1109/JAS.2020.1003240
Abstract(1488) HTML (1215) PDF(98)
Abstract:
Since precise self-position estimation is required for autonomous flight of aerial robots, there has been some studies on self-position estimation of indoor aerial robots. In this study, we tackle the self-position estimation problem by mounting a small downward-facing camera on the chassis of an aerial robot. We obtain robot position by sensing the features on the indoor floor. In this work, we used the vertex points (tile corners) where four tiles on a typical tiled floor connected, as an existing feature of the floor. Furthermore, a small lightweight microcontroller is mounted on the robot to perform image processing for the on-board camera. A lightweight image processing algorithm is developed. So, the real-time image processing could be performed by the microcontroller alone which leads to conduct on-board real time tile corner detection. Furthermore, same microcontroller performs control value calculation for flight commanding. The flight commands are implemented based on the detected tile corner information. The above mentioned all devices are mounted on an actual machine, and the effectiveness of the system was investigated.
AI-Based Modeling and Data-Driven Evaluation for Smart Manufacturing Processes
Mohammadhossein Ghahramani, Yan Qiao, MengChu Zhou, Adrian O’Hagan, James Sweeney
2020, 7(4): 1026-1037. doi: 10.1109/JAS.2020.1003114
Abstract(2823) HTML (573) PDF(165)
Abstract:
Smart manufacturing refers to optimization techniques that are implemented in production operations by utilizing advanced analytics approaches. With the widespread increase in deploying industrial internet of things (IIOT) sensors in manufacturing processes, there is a progressive need for optimal and effective approaches to data management. Embracing machine learning and artificial intelligence to take advantage of manufacturing data can lead to efficient and intelligent automation. In this paper, we conduct a comprehensive analysis based on evolutionary computing and neural network algorithms toward making semiconductor manufacturing smart. We propose a dynamic algorithm for gaining useful insights about semiconductor manufacturing processes and to address various challenges. We elaborate on the utilization of a genetic algorithm and neural network to propose an intelligent feature selection algorithm. Our objective is to provide an advanced solution for controlling manufacturing processes and to gain perspective on various dimensions that enable manufacturers to access effective predictive technologies.
Convolutional Multi-Head Self-Attention on Memory for Aspect Sentiment Classification
Yaojie Zhang, Bing Xu, Tiejun Zhao
2020, 7(4): 1038-1044. doi: 10.1109/JAS.2020.1003243
Abstract(1762) HTML (500) PDF(94)
Abstract:
This paper presents a method for aspect based sentiment classification tasks, named convolutional multi-head self-attention memory network (CMA-MemNet). This is an improved model based on memory networks, and makes it possible to extract more rich and complex semantic information from sequences and aspects. In order to fix the memory network’s inability to capture context-related information on a word-level, we propose utilizing convolution to capture n-gram grammatical information. We use multi-head self-attention to make up for the problem where the memory network ignores the semantic information of the sequence itself. Meanwhile, unlike most recurrent neural network (RNN) long short term memory (LSTM), gated recurrent unit (GRU) models, we retain the parallelism of the network. We experiment on the open datasets SemEval-2014 Task 4 and SemEval-2016 Task 6. Compared with some popular baseline methods, our model performs excellently.
Simulation and Field Testing of Multiple Vehicles Collision Avoidance Algorithms
Chaoyue Zu, Chao Yang, Jian Wang, Wenbin Gao, Dongpu Cao, Fei-Yue Wang
2020, 7(4): 1045-1063. doi: 10.1109/JAS.2020.1003246
Abstract(1687) HTML (461) PDF(85)
Abstract:
A global planning algorithm for intelligent vehicles is designed based on the A* algorithm, which provides intelligent vehicles with a global path towards their destinations. A distributed real-time multiple vehicle collision avoidance (MVCA) algorithm is proposed by extending the reciprocal ${ n}$-body collision avoidance method. MVCA enables the intelligent vehicles to choose their destinations and control inputs independently, without needing to negotiate with each other or with the coordinator. Compared to the centralized trajectory-planning algorithm, MVCA reduces computation costs and greatly improves the robustness of the system. Because the destination of each intelligent vehicle can be regarded as private, which can be protected by MVCA, at the same time MVCA can provide a real-time trajectory planning for intelligent vehicles. Therefore, MVCA can better improve the safety of intelligent vehicles. The simulation was conducted in MATLAB, including crossroads scene simulation and circular exchange position simulation. The results show that MVCA behaves safely and reliably. The effects of latency and packet loss on MVCA are also statistically investigated through theoretically formulating broadcasting process based on one-dimensional Markov chain. The results uncover that the tolerant delay should not exceed the half of deciding cycle of trajectory planning, and shortening the sending interval could alleviate the negative effects caused by the packet loss to an extent. The cases of short delay (${ < 100}$ ms) and low packet loss (${ < 5\%}$) can bring little influence to those trajectory planning algorithms that only depend on V2V to sense the context, but the unpredictable collision may occur if the delay and packet loss are further worsened. The MVCA was also tested by a real intelligent vehicle, the test results prove the operability of MVCA.
Aperiodic Sampled-Data Control of Distributed Networked Control Systems Under Stochastic Cyber-Attacks
Kritika Bansal, Pankaj Mukhija
2020, 7(4): 1064-1073. doi: 10.1109/JAS.2020.1003249
Abstract(1273) HTML (463) PDF(59)
Abstract:
This paper examines the stabilization problem of a distributed networked control system under the effect of cyber-attacks by employing a hybrid aperiodic triggering mechanism. The cyber-attack considered in the paper is a stochastic deception attack at the sensor-controller end. The probability of the occurrence of attack on a subsystem is represented using a random variable. A decentralized hybrid sampled-data strategy is introduced to save energy consumption and reduce the transmission load of the network. In the proposed decentralized strategy, each subsystem can decide independently whether its state should be transmitted to the controller or not. The scheme of the hybrid triggering mechanism for each subsystem composed of two stages: In the first stage, the next sampling instant is computed using a self-triggering strategy. Subsequently, in the second stage, an event-triggering condition is checked at these sampling instants and the control signal is computed only if the event-triggering condition is violated. The self-triggering condition used in the first stage is dependent on the selection of event-triggering condition of the second stage. Finally, a comparison of the proposed approach with other triggering mechanisms existing in the literature is presented in terms of the sampling instants, transmission frequency and performance measures through simulation examples.
Three-Dimensional Scene Encryption Algorithm Based on Phase Iteration Algorithm of the Angular-Spectral Domain
Chao Han, Yuzhen Shen
2020, 7(4): 1074-1080. doi: 10.1109/JAS.2019.1911726
Abstract(1701) HTML (617) PDF(63)
Abstract:
In order to increase the capacity of encrypted information and reduce the loss of information transmission, a three-dimensional (3D) scene encryption algorithm based on the phase iteration of the angular spectrum domain is proposed in this paper. The algorithm, which adopts the layer-oriented method, generates the computer generated hologram by encoding the three-dimensional scene. Then the computer generated hologram is encoded into three pure phase functions by adopting the phase iterative algorithm based on angular spectrum domain, and the encryption process is completed. The three-dimensional scene encryption can improve the capacity of the information, and the three-phase iterative algorithm can guarantee the security of the encryption information. The numerical simulation results show that the algorithm proposed in this paper realized the encryption and decryption of three-dimensional scenes. At the same time, it can ensure the safety of the encrypted information and increase the capacity of the encrypted information.
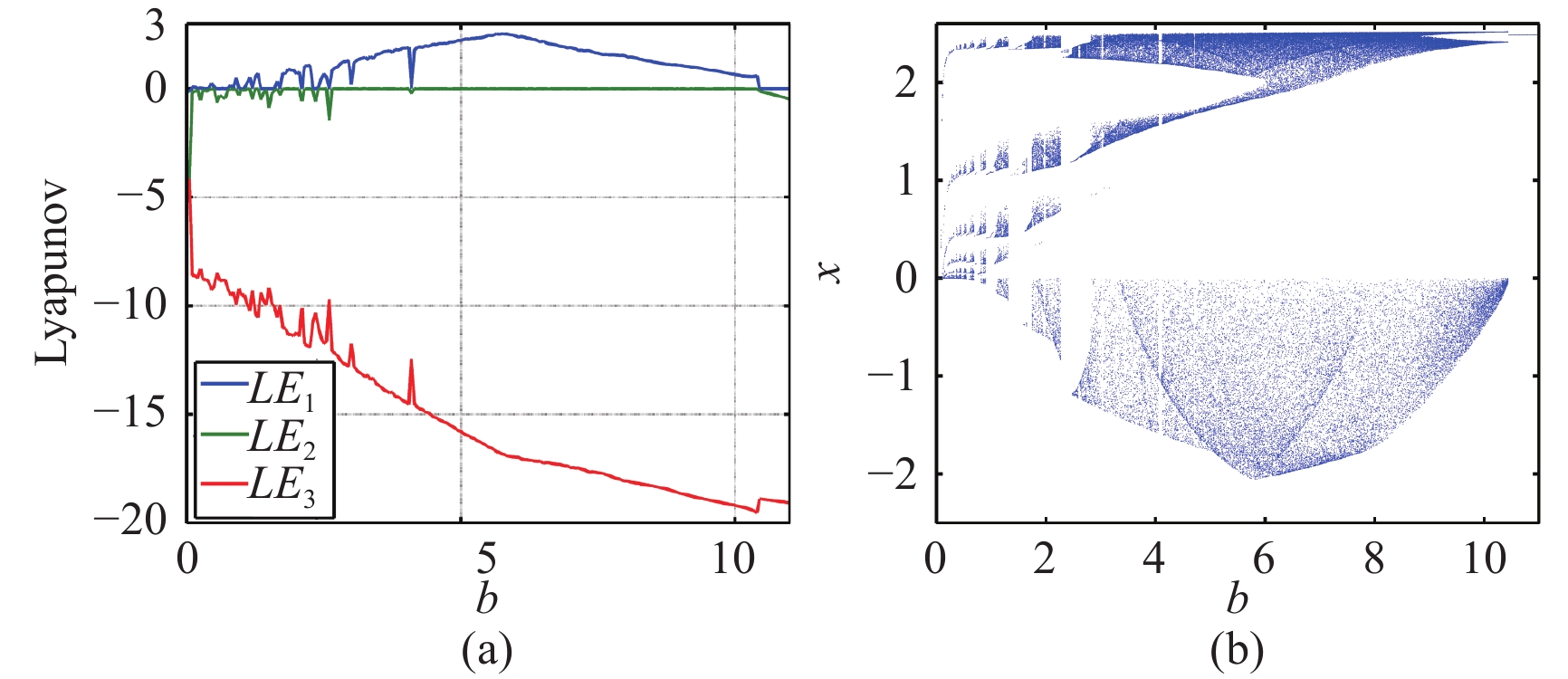
An Exponential Chaotic Oscillator Design and Its Dynamic Analysis
Xiaoyuan Wang, Chenxi Jin, Xiaotao Min, Dongsheng Yu, Herbert Ho Ching Iu
2020, 7(4): 1081-1086. doi: 10.1109/JAS.2020.1003252
Abstract(1231) HTML (468) PDF(50)
Abstract:
After years of development, chaotic circuits have possessed many different mathematic forms and multiple realization methods. However, in most of the existing chaotic systems, the nonlinear units are composed of the product terms. In this paper, in order to obtain a chaotic oscillator with higher nonlinearity and complexity to meet the needs of utilization, we discuss a novel chaotic system whose nonlinear term is realized by an exponential term. The new exponential chaotic oscillator is constructed by adding an exponential term to the classical Lü system. To further investigate the dynamic characteristics of the oscillator, classical theoretical analyses have been performed, such as phase diagrams, equilibrium points, stabilities of the system, Poincaré mappings, Lyapunov exponent spectrums, and bifurcation diagrams. Then through the National Institute of Standards and Technology (NIST) statistical test, it is proved that the chaotic sequence generated by the exponential chaotic oscillator is more random than that produced by the Lü system. In order to further verify the practicability of this chaotic oscillator, by applying the improved modular design method, the system equivalent circuit has been realized and proved by the Multisim simulation. The theoretical analysis and the Multisim simulation results are in good agreement.
A Nonlinear Coordinated Approach to Enhance the Transient Stability of Wind Energy-Based Power Systems
Mohammad Javad Morshed
2020, 7(4): 1087-1097. doi: 10.1109/JAS.2020.1003255
Abstract(1113) HTML (471) PDF(69)
Abstract:
This paper proposes a novel framework that enables the simultaneous coordination of the controllers of doubly fed induction generators (DFIGs) and synchronous generators (SGs). The proposed coordination approach is based on the zero dynamics method aims at enhancing the transient stability of multi-machine power systems under a wide range of operating conditions. The proposed approach was implemented to the IEEE 39-bus power systems. Transient stability margin measured in terms of critical clearing time along with eigenvalue analysis and time domain simulations were considered in the performance assessment. The obtained results were also compared to those achieved using a conventional power system stabilizer/power oscillation (PSS/POD) technique and the interconnection and damping assignment passivity-based controller (IDA-PBC). The performance analysis confirmed the ability of the proposed approach to enhance damping and improve system’s transient stability margin under a wide range of operating conditions.
Distributed Adaptive Fault-Tolerant Output Regulation of Heterogeneous Multi-Agent Systems With Coupling Uncertainties and Actuator Faults
Chao Deng, Weinan Gao, Weiwei Che
2020, 7(4): 1098-1106. doi: 10.1109/JAS.2020.1003258
Abstract(1701) HTML (492) PDF(81)
Abstract:
In this paper, we consider the distributed adaptive fault-tolerant output regulation problem for heterogeneous multiagent systems with matched system uncertainties and mismatched coupling uncertainties among subsystems under the influence of actuator faults. First, distributed finite-time observers are proposed for all subsystems to observe the state of the exosystem. Then, a novel fault-tolerant controller is designed to compensate for the influence of matched system uncertainties and actuator faults. By using the linear matrix inequality technique, a sufficient condition is provided to guarantee the solvability of the considered problem in the presence of mismatched coupling uncertainties. Moreover, it is shown that the system in closed-loop with the developed controller can achieve output regulation by using the Lyapunov stability theory and cyclic-small-gain theory. Finally, a numerical example is given to illustrate the effectiveness of the obtained result.
Study on the Driving Style Adaptive Vehicle Longitudinal Control Strategy
Jing Huang, Yimin Chen, Xiaoyan Peng, Lin Hu, Dongpu Cao
2020, 7(4): 1107-1115. doi: 10.1109/JAS.2020.1003261
Abstract(1579) HTML (519) PDF(71)
Abstract:
This paper presents a fusion control strategy of adaptive cruise control (ACC) and collision avoidance (CA), which takes into account a driver’s behavioral style. First, a questionnaire survey was performed to identify driver type, and the corresponding driving behavioral data were collected via driving simulator experiments, which served as the template data for the online identification of driver type. Then, the driver-adaptive ACC/CA fusion control strategy was designed, and its effect was verified by virtual experiments. The results indicate that the proposed control strategy could achieve the fusion control of ACC and CA successfully and improve driver adaptability and comfort.
LESO-based Position Synchronization Control for Networked Multi-Axis Servo Systems With Time-Varying Delay
Qi Wu, Li Yu, Yao-Wei Wang, Wen-An Zhang
2020, 7(4): 1116-1123. doi: 10.1109/JAS.2020.1003264
Abstract(1399) HTML (508) PDF(51)
Abstract:
The position synchronization control (PSC) problem is studied for networked multi-axis servo systems (NMASSs) with time-varying delay that is smaller than one sampling period. To improve the control performance of the system, time-varying delays, modeling uncertainties, and external disturbances are first modeled as a lumped disturbance. Then, a linear extended state observer (LESO) is devised to estimate the system state and the lumped disturbance, and a linear feedback controller with disturbance compensation is designed to perform individual-axis tracking control. After that, a cross-coupled control approach is used to further improve synchronization performance. The bounded-input-bounded-output (BIBO) stability of the closed-loop control system is analyzed. Finally, both simulation and experiment are carried out to demonstrate the effectiveness of the proposed method.
3D Shape Reconstruction of Lumbar Vertebra From Two X-ray Images and a CT Model
Longwei Fang, Zuowei Wang, Zhiqiang Chen, Fengzeng Jian, Shuo Li, Huiguang He
2020, 7(4): 1124-1133. doi: 10.1109/JAS.2019.1911528
Abstract(2552) HTML (896) PDF(115)
Abstract:
Structure reconstruction of 3D anatomy from bi-planar X-ray images is a challenging topic. Traditionally, the elastic-model-based method was used to reconstruct 3D shapes by deforming the control points on the elastic mesh. However, the reconstructed shape is not smooth because the limited control points are only distributed on the edge of the elastic mesh. Alternatively, statistical-model-based methods, which include shape-model-based and intensity-model-based methods, are introduced due to their smooth reconstruction. However, both suffer from limitations. With the shape-model-based method, only the boundary profile is considered, leading to the loss of valid intensity information. For the intensity-based-method, the computation speed is slow because it needs to calculate the intensity distribution in each iteration. To address these issues, we propose a new reconstruction method using X-ray images and a specimen’s CT data. Specifically, the CT data provides both the shape mesh and the intensity model of the vertebra. Intensity model is used to generate the deformation field from X-ray images, while the shape model is used to generate the patient specific model by applying the calculated deformation field. Experiments on the public synthetic dataset and clinical dataset show that the average reconstruction errors are 1.1 mm and 1.2 mm, separately. The average reconstruction time is 3 minutes.
Solving Multitrip Pickup and Delivery Problem With Time Windows and Manpower Planning Using Multiobjective Algorithms
Jiahai Wang, Yuyan Sun, Zizhen Zhang, Shangce Gao
2020, 7(4): 1134-1153. doi: 10.1109/JAS.2020.1003204
Abstract(1521) HTML (584) PDF(82)
Abstract:
The multitrip pickup and delivery problem with time windows and manpower planning (MTPDPTW-MP) determines a set of ambulance routes and finds staff assignment for a hospital. It involves different stakeholders with diverse interests and objectives. This study firstly introduces a multiobjective MTPDPTW-MP (MO-MTPDPTWMP) with three objectives to better describe the real-world scenario. A multiobjective iterated local search algorithm with adaptive neighborhood selection (MOILS-ANS) is proposed to solve the problem. MOILS-ANS can generate a diverse set of alternative solutions for decision makers to meet their requirements. To better explore the search space, problem-specific neighborhood structures and an adaptive neighborhood selection strategy are carefully designed in MOILS-ANS. Experimental results show that the proposed MOILS-ANS significantly outperforms the other two multiobjective algorithms. Besides, the nature of objective functions and the properties of the problem are analyzed. Finally, the proposed MOILS-ANS is compared with the previous single-objective algorithm and the benefits of multiobjective optimization are discussed.
C-Vine Pair Copula Based Wind Power Correlation Modelling in Probabilistic Small Signal Stability Analysis
Jin Xu, Wei Wu, Keyou Wang, Guojie Li
2020, 7(4): 1154-1160. doi: 10.1109/JAS.2020.1003267
Abstract(1153) HTML (400) PDF(26)
Abstract:
The increasing integration of wind power generation brings more uncertainty into the power system. Since the correlation may have a notable influence on the power system, the output powers of wind farms are generally considered as correlated random variables in uncertainty analysis. In this paper, the C-vine pair copula theory is introduced to describe the complicated dependence of multidimensional wind power injection, and samples obeying this dependence structure are generated. Monte Carlo simulation is performed to analyze the small signal stability of a test system. The probabilistic stability under different correlation models and different operating conditions scenarios is investigated. The results indicate that the probabilistic small signal stability analysis adopting pair copula model is more accurate and stable than other dependence models under different conditions.
Distribution of Miss Distance for Pursuit-Evasion Problem
Shengwen Xiang, Hongqi Fan, Qiang Fu
2020, 7(4): 1161-1168. doi: 10.1109/JAS.2019.1911552
Abstract(1712) HTML (548) PDF(65)
Abstract:
Miss distance is a critical parameter of assessing the performance for highly maneuvering targets interception (HMTI). In a realistic terminal guidance system, the control of pursuer $ u $ depends on the estimate of unknown state, thus the miss distance becomes a random variable with a prior unknown distribution. Currently, such a distribution is mainly evaluated by the method of Monte Carlo simulation. In this paper, by integrating the estimation error model of zero-effort miss distance (ZEM) obtained by our previous work, an analytic method for solving the distribution of miss distance is proposed, in which the system is presumed to use a bang-bang control strategy. By comparing with the results of Monte Carlo simulations under four different types of disturbances (maneuvers), the correctness of the proposed method is validated. Results of this paper provide a powerful tool for the design, analysis and performance evaluation of guidance system.
Parallel Distance: A New Paradigm of Measurement for Parallel Driving
Teng Liu, Hong Wang, Bin Tian, Yunfeng Ai, Long Chen
2020, 7(4): 1169-1178. doi: 10.1109/JAS.2019.1911633
Abstract(1593) HTML (516) PDF(43)
Abstract:
In this paper, a new paradigm named parallel dis-tance is presented to measure the data information in parallel driving system. As an example, the core variables in the parallel driving system are measured and evaluated in the parallel distance framework. First, the parallel driving 3.0 system included control and management platform, intelligent vehicle platform and remote-control platform is introduced. Then, Markov chain (MC) is utilized to model the transition probability matrix of control commands in these systems. Furthermore, to distinguish the control variables in artificial and physical driving conditions, different distance calculation methods are enumerated to specify the differences between the virtual and real signals. By doing this, the real system can be guided and the virtual system can be im-proved. Finally, simulation results exhibit the merits and multiple applications of the proposed parallel distance framework.
Path Planning for Intelligent Robots Based on Deep Q-learning With Experience Replay and Heuristic Knowledge
Lan Jiang, Hongyun Huang, Zuohua Ding
2020, 7(4): 1179-1189. doi: 10.1109/JAS.2019.1911732
Abstract(3074) HTML (538) PDF(216)
Abstract:
Path planning and obstacle avoidance are two challenging problems in the study of intelligent robots. In this paper, we develop a new method to alleviate these problems based on deep Q-learning with experience replay and heuristic knowledge. In this method, a neural network has been used to resolve the “curse of dimensionality” issue of the Q-table in reinforcement learning. When a robot is walking in an unknown environment, it collects experience data which is used for training a neural network; such a process is called experience replay. Heuristic knowledge helps the robot avoid blind exploration and provides more effective data for training the neural network. The simulation results show that in comparison with the existing methods, our method can converge to an optimal action strategy with less time and can explore a path in an unknown environment with fewer steps and larger average reward.
Avoiding Non-Manhattan Obstacles Based on Projection of Spatial Corners in Indoor Environment
Luping Wang, Hui Wei
2020, 7(4): 1190-1200. doi: 10.1109/JAS.2020.1003117
Abstract(1402) HTML (520) PDF(45)
Abstract:
Monocular vision-based navigation is a considerable ability for a home mobile robot. However, due to diverse disturbances, helping robots avoid obstacles, especially non-Manhattan obstacles, remains a big challenge. In indoor environments, there are many spatial right-corners that are projected into two dimensional projections with special geometric configurations. These projections, which consist of three lines, might enable us to estimate their position and orientation in 3D scenes. In this paper, we present a method for home robots to avoid non-Manhattan obstacles in indoor environments from a monocular camera. The approach first detects non-Manhattan obstacles. Through analyzing geometric features and constraints, it is possible to estimate posture differences between orientation of the robot and non-Manhattan obstacles. Finally according to the convergence of posture differences, the robot can adjust its orientation to keep pace with the pose of detected non-Manhattan obstacles, making it possible avoid these obstacles by itself. Based on geometric inferences, the proposed approach requires no prior training or any knowledge of the camera’s internal parameters, making it practical for robots navigation. Furthermore, the method is robust to errors in calibration and image noise. We compared the errors from corners of estimated non-Manhattan obstacles against the ground truth. Furthermore, we evaluate the validity of convergence of differences between the robot orientation and the posture of non-Manhattan obstacles. The experimental results showed that our method is capable of avoiding non-Manhattan obstacles, meeting the requirements for indoor robot navigation.