A journal of IEEE and CAA , publishes high-quality papers in English on original theoretical/experimental research and development in all areas of automation
Volume 7 Issue 5
Sep.  2020

IEEE/CAA Journal of Automatica Sinica

  • JCR Impact Factor: 19.2, Top 1 (SCI Q1)
    CiteScore: 28.2, Top 1% (Q1)
    Google Scholar h5-index: 95, TOP 5
Turn off MathJax
Article Contents
Lei Liu, Tingting Gao, Yan-Jun Liu and Shaocheng Tong, "Time-Varying Asymmetrical BLFs Based Adaptive Finite-Time Neural Control of Nonlinear Systems With Full State Constraints," IEEE/CAA J. Autom. Sinica, vol. 7, no. 5, pp. 1335-1343, Sept. 2020. doi: 10.1109/JAS.2020.1003213
Citation: Lei Liu, Tingting Gao, Yan-Jun Liu and Shaocheng Tong, "Time-Varying Asymmetrical BLFs Based Adaptive Finite-Time Neural Control of Nonlinear Systems With Full State Constraints," IEEE/CAA J. Autom. Sinica, vol. 7, no. 5, pp. 1335-1343, Sept. 2020. doi: 10.1109/JAS.2020.1003213

Time-Varying Asymmetrical BLFs Based Adaptive Finite-Time Neural Control of Nonlinear Systems With Full State Constraints

doi: 10.1109/JAS.2020.1003213
Funds:  This work was supported in part by the National Natural Science Foundation of China (61803190, 61973147, 61773188) and Liaoning Revitalization Talents Program (XLYC1907050)
More Information
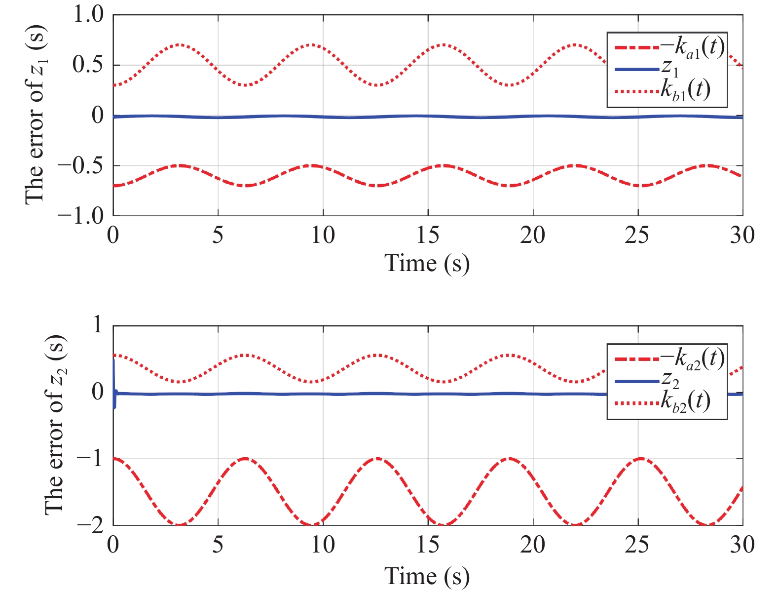
  • This paper concentrates on asymmetric barrier Lyapunov functions (ABLFs) based on finite-time adaptive neural network (NN) control methods for a class of nonlinear strict feedback systems with time-varying full state constraints. During the process of backstepping recursion, the approximation properties of NNs are exploited to address the problem of unknown internal dynamics. The ABLFs are constructed to make sure that the time-varying asymmetrical full state constraints are always satisfied. According to the Lyapunov stability and finite-time stability theory, it is proven that all the signals in the closed-loop systems are uniformly ultimately bounded (UUB) and the system output is driven to track the desired signal as quickly as possible near the origin. In the meantime, in the scope of finite-time, all states are guaranteed to stay in the pre-given range. Finally, a simulation example is proposed to verify the feasibility of the developed finite time control algorithm.

     

  • loading
  • [1]
    M. Krstic, I. Kanellakopoulos, and P. V. Kokotovic, Nonlinear and Adaptive Control Design, New York: Wiley, 1995.
    [2]
    P. V. Kokotovic, “The joy of feedback: Nonlinear and adaptive,” IEEE Control Systems Magazine, vol. 12, no. 3, pp. 7–17, Jun. 1992. doi: 10.1109/37.165507
    [3]
    M. S. D. Queiroz, D. M. Dawson, M. Agarwal, and F. J. Zhang, “Adaptive nonlinear boundary control of a flexible link robot arm,” IEEE Trans. Robotics and Autom., vol. 15, no. 4, pp. 779–787, Aug. 1999. doi: 10.1109/70.782034
    [4]
    S. Scarritt, “Nonlinear model reference adaptive control for satellite attitude tracking,” in Proc. AIAA Guidance, Navigation & Control Conf. & Exhibit, 2013.
    [5]
    D. E. Seo, "Noncertainty equivalent nonlinear adaptive control and its applications to mechanical and aerospace systems," Ph.D. dissertation, University of Texas at Austin, USA, pp. 34–57, 2007.
    [6]
    L. Liu, Y. J. Liu, and C. L. P. Chen, “Adaptive neural network control for a DC motor system with dead-zone,” Nonlinear Dynamics, vol. 72, no. 1–2, pp. 141–147, Apr. 2013. doi: 10.1007/s11071-012-0698-2
    [7]
    M. Chen and S. S. Ge, “Direct adaptive neural control for a class of uncertain nonaffine nonlinear systems based on disturbance observer,” IEEE Trans. Cybernetics, vol. 43, no. 4, pp. 1213–1225, Aug. 2013. doi: 10.1109/TSMCB.2012.2226577
    [8]
    F. Wang, Z. Y. Liu, Y. Zhang, and C. L. P. Chen, “Adaptive fuzzy control for a class of stochastic pure-feedback nonlinear systems with unknown hysteresis,” IEEE Trans. Fuzzy Systems, vol. 24, no. 1, pp. 140–152, Feb. 2016. doi: 10.1109/TFUZZ.2015.2446531
    [9]
    S. C. Tong, T. Wang, Y. M. Li, and B. Chen, “A combined backstepping and stochastic small-gain approach to robust adaptive fuzzy output feedback control,” IEEE Trans. Fuzzy Systems, vol. 21, no. 2, pp. 314–327, Apr. 2013. doi: 10.1109/TFUZZ.2012.2213260
    [10]
    K. Zhao and Y. D. Song, “Removing the feasibility conditions imposed on tracking control designs for state-constrained strict-feedback systems,” IEEE Trans. Autom. Control, vol. 64, no. 3, pp. 1265–1272, Mar. 2019. doi: 10.1109/TAC.2018.2845707
    [11]
    Y. J. Liu and S. C. Tong, “Barrier Lyapunov functions-based adaptive control for a class of nonlinear pure-feedback systems with full state constraints,” Automatica, vol. 64, pp. 70–75, 2016. doi: 10.1016/j.automatica.2015.10.034
    [12]
    H. Q. Wang, P. X. Liu, X. D. Zhao, and X. P. Liu, “Adaptive fuzzy finite-time control of nonlinear systems with actuator faults,” IEEE Trans. Cybernetics, vol. 50, no. 5, pp. 1786–1797, 2020. doi: 10.1109/TCYB.2019.2902868
    [13]
    H. Q. Wang, X. P. Liu, and K. F. Liu, “Robust adaptive neural tracking control for a class of stochastic nonlinear interconnected systems,” IEEE Trans. Neural Networks and Learning Systems, vol. 27, no. 3, pp. 510–523, 2016. doi: 10.1109/TNNLS.2015.2412035
    [14]
    H. Q. Wang, X. P. Liu, K. F. Liu, and H. R. Karimi, “Approximation based adaptive fuzzy tracking control for a class of nonstrict-feedback stochastic nonlinear time-delay systems,” IEEE Trans. Fuzzy Systems, vol. 23, no. 5, pp. 1746–1760, 2015. doi: 10.1109/TFUZZ.2014.2375917
    [15]
    Y. D. Song, Z. Y. Shen, L. He, and X. C. Huang, “Neuroadaptive control of strict feedback systems with full-state constraints and unknown actuation characteristics: an inexpensive solution,” IEEE Trans. Cybernetics, vol. 48, no. 11, pp. 3126–3134, Nov. 2018. doi: 10.1109/TCYB.2017.2759498
    [16]
    K. Zhao, Y. D. Song, T. D. Ma, and L. He, “Prescribed performance control of uncertain Euler-Lagrange systems subject to full-state constraints,” IEEE Trans. Neural Networks and Learning Systems, vol. 29, no. 8, pp. 3478–3489, Aug. 2018. doi: 10.1109/TNNLS.2017.2727223
    [17]
    D. P. Li, D. J. Li, Y. J. Liu, S. C. Tong, and C. L. Philip Chen, “Approximation-based adaptive neural tracking control of nonlinear MIMO unknown time-varying delay systems with full state constraints,” IEEE Trans. Cybernetics, vol. 47, no. 10, pp. 3100–3109, Oct. 2017. doi: 10.1109/TCYB.2017.2707178
    [18]
    L. Liu, Y. J. Liu, and S. C. Tong, “Fuzzy based multierror constraint control for switched nonlinear systems and its applications,” IEEE Trans. Fuzzy Systems, vol. 27, no. 8, pp. 1519–1531, 2019. doi: 10.1109/TFUZZ.2018.2882173
    [19]
    Y. J. Liu, Q. Zeng, S. C. Tong, C. L. Philip Chen, and L. Liu, “Actuator failure compensation-based adaptive control of active suspension systems with prescribed performance,” IEEE Trans. Industrial Electronics, 2019. doi: 10.1109/TIE.2019.2937037
    [20]
    L. Liu, Y. J. Liu, A. Q. Chen, S. C. Tong, and C. L. P. Chen, “Integral barrier Lyapunov function based adaptive control for switched nonlinear systems,” SCIENCE CHINA Information Sciences, vol. 63, no. 3, pp. 132203:1–132203:14, Mar. 2020.
    [21]
    L. Tang and D. J. Li, “Time-varying barrier Lyapunov function based adaptive neural controller design for nonlinear pure-feedback systems with unknown hysteresis,” Int. J. Control,Autom.,and Systems, vol. 17, no. 7, pp. 1642–1654, Jul. 2019. doi: 10.1007/s12555-018-0745-y
    [22]
    L. Liu, Y. J. Liu, D. P. Li, S. C. Tong, and Z. S. Wang, “Barrier Lyapunov function based adaptive fuzzy FTC for switched systems and its applications to resistance inductance capacitance circuit system,” IEEE Trans. Cybernetics, 2019.
    [23]
    J. P. Yu, L. Zhao, H. S. Yu, and C. Lin, “Barrier Lyapunov functions-based command filtered output feedback control for full-state constrained nonlinear systems,” Automatica, vol. 105, pp. 71–79, 2019. doi: 10.1016/j.automatica.2019.03.022
    [24]
    K. Zhao, Y. D. Song, and Z. R. Zhang, “Tracking control of MIMO nonlinear systems under full state constraints: A single-parameter adaptation approach free from feasibility conditions,” Automatica, vol. 55, no. 9, pp. 52–60, 2019.
    [25]
    S. M. Lu, D. P. Li, and Y. J. Liu, “Adaptive neural network control for uncertain time-varying state constrained robotics systems,” IEEE Trans. Systems,Man,and Cybernetics:Systems, vol. 49, no. 12, pp. 2511–2518, Dec. 2019. doi: 10.1109/TSMC.2017.2755377
    [26]
    L. H. Kong, W. He, C. G. Yang, G. Li, and Z. Q. Zhang, “Adaptive fuzzy control for a marine vessel with time-varying constraints,” IET Control Theory &Applications, vol. 12, no. 10, pp. 1448–1455, Mar. 2018.
    [27]
    K. P. Tee, B. B. Ren, and S. S. Ge, “Control of nonlinear systems with time-varying output constraints,” Automatica, vol. 47, no. 11, pp. 2511–2516, Nov. 2011. doi: 10.1016/j.automatica.2011.08.044
    [28]
    W. C. Meng, Q. M. Yang, and Y. X. Sun, “Adaptive neural control of nonlinear MIMO systems with time-varying output constraints,” IEEE Trans. Neural Networks and Learning Systems, vol. 26, no. 5, pp. 1074–1085, May 2015. doi: 10.1109/TNNLS.2014.2333878
    [29]
    Y. J. Liu, S. M. Lu, D. J. Li, and S. C. Tong, “Adaptive controller design-based ABLF for a class of nonlinear time-varying state constraint systems,” IEEE Trans. Systems,Man,and Cybernetics:Systems, vol. 47, no. 7, pp. 1546–1553, Jul. 2017. doi: 10.1109/TSMC.2016.2633007
    [30]
    L. Weiss and E. F. Infante, “On the stability of systems defined over a finite time interval,” Proc. the National Academy of Sciences of the United States of America, vol. 54, no. 1, pp. 44–48, 1965.
    [31]
    F. Amato, G. Carannante, G. D. Tommasi, and A. Pironti, “Input-output finite-time stability of linear systems: Necessary and sufficient conditions,” IEEE Trans. Automatic Control, vol. 57, no. 12, pp. 3051–3063, Dec. 2012. doi: 10.1109/TAC.2012.2199151
    [32]
    Z. Wang, Y. Xu, R. Q. Lu, and H. Peng, “Finite-time state estimation for coupled markovian neural networks with sensor nonlinearities,” IEEE Trans. Neural Networks and Learning Systems, vol. 28, no. 3, pp. 630–638, Mar. 2017. doi: 10.1109/TNNLS.2015.2490168
    [33]
    J. P. Yu, P. Shi, and L. Zhao, “Finite-time command filtered backstepping control for a class of nonlinear systems,” Automatica, vol. 92, pp. 173–180, 2018. doi: 10.1016/j.automatica.2018.03.033
    [34]
    T. S. Li, R. Zhao, C. L. P. Chen, L. Y. Fang, and C. Liu, “Finite-time formation control of under-actuated ships using nonlinear sliding mode control,” IEEE Trans. Cybernetics, vol. 48, no. 11, pp. 3243–3253, Nov. 2018. doi: 10.1109/TCYB.2018.2794968
    [35]
    X. Jin, “Adaptive finite-time fault-tolerant tracking control for a class of MIMO nonlinear systems with output constraints,” Int. J. Robust and Nonlinear Control, vol. 27, no. 5, pp. 722–741, 2016.
    [36]
    J. Song, Y. G. Niu, and Y. Y. Zou, “Finite-time sliding mode control synthesis under explicit output constraint,” Automatica, vol. 65, pp. 111–114, 2016. doi: 10.1016/j.automatica.2015.11.037
    [37]
    C. X. Wang and Y. Q. Wu, “Finite-time tracking control for strict-feedback nonlinear systems with time-varying output constraints,” Int. J. Systems Science, vol. 49, no. 7, pp. 1–10, Jan. 2018.
    [38]
    J. W. Xia, J. Zhang, W. Sun, B. Y. Zhang, and Z. Wang, “Finite-time adaptive fuzzy control for nonlinear systems with full state constraints,” IEEE Trans. Systems,Man,and Cybernetics:Systems, vol. 49, no. 7, pp. 1541–1548, Jul. 2019. doi: 10.1109/TSMC.2018.2854770
    [39]
    S. P. Huang and Z. R. Xiang, “Finite-time stabilization of a class of switched nonlinear systems with state constraints,” Int. J. Control, vol. 91, no. 6, pp. 1300–1313, 2017.
    [40]
    H. Y. Li, S. Y. Zhao, W. He, and R. Q. Lu, “Adaptive finite-time tracking control of full states constrained nonlinear systems with dead-zone,” Automatica, vol. 100, pp. 99–107, 2019. doi: 10.1016/j.automatica.2018.10.030
    [41]
    K. P. Tee, S. S. Ge, and E. H. Tay, “Barrier Lyapunov functions for the control of output-constrained nonlinear systems,” Automatica, vol. 45, no. 4, pp. 918–927, 2009. doi: 10.1016/j.automatica.2008.11.017

Catalog

    通讯作者: 陈斌, bchen63@163.com
    • 1. 

      沈阳化工大学材料科学与工程学院 沈阳 110142

    1. 本站搜索
    2. 百度学术搜索
    3. 万方数据库搜索
    4. CNKI搜索

    Figures(6)

    Article Metrics

    Article views (1811) PDF downloads(129) Cited by()

    /

    DownLoad:  Full-Size Img  PowerPoint
    Return
    Return