A journal of IEEE and CAA , publishes high-quality papers in English on original theoretical/experimental research and development in all areas of automation

Vol. 10,  No. 5, 2023

Display Method:
REVIEWS
Cryptocurrency Transaction Network Embedding From Static and Dynamic Perspectives: An Overview
Yue Zhou, Xin Luo, MengChu Zhou
2023, 10(5): 1105-1121. doi: 10.1109/JAS.2023.123450
Abstract(1843) HTML (483) PDF(279)
Abstract:
Cryptocurrency, as a typical application scene of blockchain, has attracted broad interests from both industrial and academic communities. With its rapid development, the cryptocurrency transaction network embedding (CTNE) has become a hot topic. It embeds transaction nodes into low-dimensional feature space while effectively maintaining a network structure, thereby discovering desired patterns demonstrating involved users’ normal and abnormal behaviors. Based on a wide investigation into the state-of-the-art CTNE, this survey has made the following efforts: 1) categorizing recent progress of CTNE methods, 2) summarizing the publicly available cryptocurrency transaction network datasets, 3) evaluating several widely-adopted methods to show their performance in several typical evaluation protocols, and 4) discussing the future trends of CTNE. By doing so, it strives to provide a systematic and comprehensive overview of existing CTNE methods from static to dynamic perspectives, thereby promoting further research into this emerging and important field.
A Brief Overview of ChatGPT: The History, Status Quo and Potential Future Development
Tianyu Wu, Shizhu He, Jingping Liu, Siqi Sun, Kang Liu, Qing-Long Han, Yang Tang
2023, 10(5): 1122-1136. doi: 10.1109/JAS.2023.123618
Abstract(18195) HTML (745) PDF(5250)
Abstract:

ChatGPT, an artificial intelligence generated content (AIGC) model developed by OpenAI, has attracted worldwide attention for its capability of dealing with challenging language understanding and generation tasks in the form of conversations. This paper briefly provides an overview on the history, status quo and potential future development of ChatGPT, helping to provide an entry point to think about ChatGPT. Specifically, from the limited open-accessed resources, we conclude the core techniques of ChatGPT, mainly including large-scale language models, in-context learning, reinforcement learning from human feedback and the key technical steps for developing ChatGPT. We further analyze the pros and cons of ChatGPT and we rethink the duality of ChatGPT in various fields. Although it has been widely acknowledged that ChatGPT brings plenty of opportunities for various fields, mankind should still treat and use ChatGPT properly to avoid the potential threat, e.g., academic integrity and safety challenge. Finally, we discuss several open problems as the potential development of ChatGPT.

PAPERS
Enhancing Iterative Learning Control With Fractional Power Update Law
Zihan Li, Dong Shen, Xinghuo Yu
2023, 10(5): 1137-1149. doi: 10.1109/JAS.2023.123525
Abstract(1161) HTML (181) PDF(173)
Abstract:
The P-type update law has been the mainstream technique used in iterative learning control (ILC) systems, which resembles linear feedback control with asymptotical convergence. In recent years, finite-time control strategies such as terminal sliding mode control have been shown to be effective in ramping up convergence speed by introducing fractional power with feedback. In this paper, we show that such mechanism can equally ramp up the learning speed in ILC systems. We first propose a fractional power update rule for ILC of single-input-single-output linear systems. A nonlinear error dynamics is constructed along the iteration axis to illustrate the evolutionary converging process. Using the nonlinear mapping approach, fast convergence towards the limit cycles of tracking errors inherently existing in ILC systems is proven. The limit cycles are shown to be tunable to determine the steady states. Numerical simulations are provided to verify the theoretical results.
A Line Complex-Based Evolutionary Algorithm for Many-Objective Optimization
Liang Zhang, Qi Kang, Qi Deng, Luyuan Xu, Qidi Wu
2023, 10(5): 1150-1167. doi: 10.1109/JAS.2023.123495
Abstract(1728) HTML (95) PDF(111)
Abstract:

In solving many-objective optimization problems (MaOPs), existing nondominated sorting-based multi-objective evolutionary algorithms suffer from the fast loss of selection pressure. Most candidate solutions become nondominated during the evolutionary process, thus leading to the failure of producing offspring toward Pareto-optimal front with diversity. Can we find a more effective way to select nondominated solutions and resolve this issue? To answer this critical question, this work proposes to evolve solutions through line complex rather than solution points in Euclidean space. First, Plücker coordinates are used to project solution points to line complex composed of position vectors and momentum ones. Besides position vectors of the solution points, momentum vectors are used to extend the comparability of nondominated solutions and enhance selection pressure. Then, a new distance function designed for high-dimensional space is proposed to replace Euclidean distance as a more effective distance-based estimator. Based on them, a novel many-objective evolutionary algorithm (MaOEA) is proposed by integrating a line complex-based environmental selection strategy into the NSGA-III framework. The proposed algorithm is compared with the state of the art on widely used benchmark problems with up to 15 objectives. Experimental results demonstrate its superior competitiveness in solving MaOPs.

A Chaotic Local Search-Based Particle Swarm Optimizer for Large-Scale Complex Wind Farm Layout Optimization
Zhenyu Lei, Shangce Gao, Zhiming Zhang, Haichuan Yang, Haotian Li
2023, 10(5): 1168-1180. doi: 10.1109/JAS.2023.123387
Abstract(1860) HTML (150) PDF(136)
Abstract:

Wind energy has been widely applied in power generation to alleviate climate problems. The wind turbine layout of a wind farm is a primary factor of impacting power conversion efficiency due to the wake effect that reduces the power outputs of wind turbines located in downstream. Wind farm layout optimization (WFLO) aims to reduce the wake effect for maximizing the power outputs of the wind farm. Nevertheless, the wake effect among wind turbines increases significantly as the number of wind turbines increases in the wind farm, which severely affect power conversion efficiency. Conventional heuristic algorithms suffer from issues of low solution quality and local optimum for large-scale WFLO under complex wind scenarios. Thus, a chaotic local search-based genetic learning particle swarm optimizer (CGPSO) is proposed to optimize large-scale WFLO problems. CGPSO is tested on four larger-scale wind farms under four complex wind scenarios and compares with eight state-of-the-art algorithms. The experiment results indicate that CGPSO significantly outperforms its competitors in terms of performance, stability, and robustness. To be specific, a success and failure memories-based selection is proposed to choose a chaotic map for chaotic search local. It improves the solution quality. The parameter and search pattern of chaotic local search are also analyzed for WFLO problems.

Residual-Based False Data Injection Attacks Against Multi-Sensor Estimation Systems
Haibin Guo, Jian Sun, Zhong-Hua Pang
2023, 10(5): 1181-1191. doi: 10.1109/JAS.2023.123441
Abstract(1177) HTML (363) PDF(97)
Abstract:

This paper investigates the security issue of multi-sensor remote estimation systems. An optimal stealthy false data injection (FDI) attack scheme based on historical and current residuals, which only tampers with the measurement residuals of partial sensors due to limited attack resources, is proposed to maximally degrade system estimation performance. The attack stealthiness condition is given, and then the estimation error covariance in compromised state is derived to quantify the system performance under attack. The optimal attack strategy is obtained by solving several convex optimization problems which maximize the trace of the compromised estimation error covariance subject to the stealthiness condition. Moreover, due to the constraint of attack resources, the selection principle of the attacked sensor is provided to determine which sensor is attacked so as to hold the most impact on system performance. Finally, simulation results are presented to verify the theoretical analysis.

Coarse-to-Fine Video Instance Segmentation With Factorized Conditional Appearance Flows
Zheyun Qin, Xiankai Lu, Xiushan Nie, Dongfang Liu, Yilong Yin, Wenguan Wang
2023, 10(5): 1192-1208. doi: 10.1109/JAS.2023.123456
Abstract(1666) HTML (773) PDF(238)
Abstract:

We introduce a novel method using a new generative model that automatically learns effective representations of the target and background appearance to detect, segment and track each instance in a video sequence. Differently from current discriminative tracking-by-detection solutions, our proposed hierarchical structural embedding learning can predict more high-quality masks with accurate boundary details over spatio-temporal space via the normalizing flows. We formulate the instance inference procedure as a hierarchical spatio-temporal embedded learning across time and space. Given the video clip, our method first coarsely locates pixels belonging to a particular instance with Gaussian distribution and then builds a novel mixing distribution to promote the instance boundary by fusing hierarchical appearance embedding information in a coarse-to-fine manner. For the mixing distribution, we utilize a factorization condition normalized flow fashion to estimate the distribution parameters to improve the segmentation performance. Comprehensive qualitative, quantitative, and ablation experiments are performed on three representative video instance segmentation benchmarks (i.e., YouTube-VIS19, YouTube-VIS21, and OVIS) and the effectiveness of the proposed method is demonstrated. More impressively, the superior performance of our model on an unsupervised video object segmentation dataset (i.e., DAVIS19) proves its generalizability. Our algorithm implementations are publicly available at

https://github.com/zyqin19/HEVis

.

Automatic Lane-Level Intersection Map Generation using Low-Channel Roadside LiDAR
Hui Liu, Ciyun Lin, Bowen Gong, Dayong Wu
2023, 10(5): 1209-1222. doi: 10.1109/JAS.2023.123183
Abstract(1868) HTML (357) PDF(126)
Abstract:

A lane-level intersection map is a cornerstone in high-definition (HD) traffic network maps for autonomous driving and high-precision intelligent transportation systems applications such as traffic management and control, and traffic accident evaluation and prevention. Mapping an HD intersection is time-consuming, labor-intensive, and expensive with conventional methods. In this paper, we used a low-channel roadside light detection and range sensor (LiDAR) to automatically and dynamically generate a lane-level intersection, including the signal phases, geometry, layout, and lane directions. First, a mathematical model was proposed to describe the topology and detail of a lane-level intersection. Second, continuous and discontinuous traffic object trajectories were extracted to identify the signal phases and times. Third, the layout, geometry, and lane direction were identified using the convex hull detection algorithm for trajectories. Fourth, a sliding window algorithm was presented to detect the lane marking and extract the lane, and the virtual lane connecting the inbound and outbound of the intersection were generated using the vehicle trajectories within the intersection and considering the traffic rules. In the field experiment, the mean absolute estimation error is 2 s for signal phase and time identification. The lane marking identification Precision and Recall are 96% and 94.12%, respectively. Compared with the satellite-based, MMS-based, and crowdsourcing-based lane mapping methods, the average lane location deviation is 0.2 m and the update period is less than one hour by the proposed method with low-channel roadside LiDAR.

Maximum Correntropy Kalman Filtering for Non-Gaussian Systems With State Saturations and Stochastic Nonlinearities
Bo Shen, Xuelin Wang, Lei Zou
2023, 10(5): 1223-1233. doi: 10.1109/JAS.2023.123195
Abstract(1899) HTML (380) PDF(114)
Abstract:

This paper tackles the maximum correntropy Kalman filtering problem for discrete time-varying non-Gaussian systems subject to state saturations and stochastic nonlinearities. The stochastic nonlinearities, which take the form of state-multiplicative noises, are introduced in systems to describe the phenomenon of nonlinear disturbances. To resist non-Gaussian noises, we consider a new performance index called maximum correntropy criterion (MCC) which describes the similarity between two stochastic variables. To enhance the “robustness” of the kernel parameter selection on the resultant filtering performance, the Cauchy kernel function is adopted to calculate the corresponding correntropy. The goal of this paper is to design a Kalman-type filter for the underlying systems via maximizing the correntropy between the system state and its estimate. By taking advantage of an upper bound on the one-step prediction error covariance, a modified MCC-based performance index is constructed. Subsequently, with the assistance of a fixed-point theorem, the filter gain is obtained by maximizing the proposed cost function. In addition, a sufficient condition is deduced to ensure the uniqueness of the fixed point. Finally, the validity of the filtering method is tested by simulating a numerical example.

Resilient and Safe Platooning Control of Connected Automated Vehicles Against Intermittent Denial-of-Service Attacks
Xiaohua Ge, Qing-Long Han, Qing Wu, Xian-Ming Zhang
2023, 10(5): 1234-1251. doi: 10.1109/JAS.2022.105845
Abstract(1548) HTML (287) PDF(148)
Abstract:

Connected automated vehicles (CAVs) serve as a promising enabler for future intelligent transportation systems because of their capabilities in improving traffic efficiency and driving safety, and reducing fuel consumption and vehicle emissions. A fundamental issue in CAVs is platooning control that empowers a convoy of CAVs to be cooperatively maneuvered with desired longitudinal spacings and identical velocities on roads. This paper addresses the issue of resilient and safe platooning control of CAVs subject to intermittent denial-of-service (DoS) attacks that disrupt vehicle-to-vehicle communications. First, a heterogeneous and uncertain vehicle longitudinal dynamic model is presented to accommodate a variety of uncertainties, including diverse vehicle masses and engine inertial delays, unknown and nonlinear resistance forces, and a dynamic platoon leader. Then, a resilient and safe distributed longitudinal platooning control law is constructed with an aim to preserve simultaneous individual vehicle stability, attack resilience, platoon safety and scalability. Furthermore, a numerically efficient offline design algorithm for determining the desired platoon control law is developed, under which the platoon resilience against DoS attacks can be maximized but the anticipated stability, safety and scalability requirements remain preserved. Finally, extensive numerical experiments are provided to substantiate the efficacy of the proposed platooning method.

Adaptive Fixed-Time Control of Nonlinear MASs With Actuator Faults
Hongru Ren, Hui Ma, Hongyi Li, Zhenyou Wang
2023, 10(5): 1252-1262. doi: 10.1109/JAS.2023.123558
Abstract(1494) HTML (251) PDF(154)
Abstract:

The adaptive fixed-time consensus problem for a class of nonlinear multi-agent systems (MASs) with actuator faults is considered in this paper. To approximate the unknown nonlinear functions in MASs, radial basis function neural networks are used. In addition, the first order sliding mode differentiator is utilized to solve the “explosion of complexity” problem, and a filter error compensation method is proposed to ensure the convergence of filter error in fixed time. With the help of the Nussbaum function, the actuator failure compensation mechanism is constructed. By designing the adaptive fixed-time controller, all signals in MASs are bounded, and the consensus errors between the leader and all followers converge to a small area of origin. Finally, the effectiveness of the proposed control method is verified by simulation examples.

Kernel-Based State-Space Kriging for Predictive Control
A. Daniel Carnerero, Daniel R. Ramirez, Daniel Limon, Teodoro Alamo
2023, 10(5): 1263-1275. doi: 10.1109/JAS.2023.123459
Abstract(1683) HTML (155) PDF(98)
Abstract:

In this paper, we extend the state-space kriging (SSK) modeling technique presented in a previous work by the authors in order to consider non-autonomous systems. SSK is a data-driven method that computes predictions as linear combinations of past outputs. To model the nonlinear dynamics of the system, we propose the kernel-based state-space kriging (K-SSK), a new version of the SSK where kernel functions are used instead of resorting to considerations about the locality of the data. Also, a Kalman filter can be used to improve the predictions at each time step in the case of noisy measurements. A constrained tracking nonlinear model predictive control (NMPC) scheme using the black-box input-output model obtained by means of the K-SSK prediction method is proposed. Finally, a simulation example and a real experiment are provided in order to assess the performance of the proposed controller.

Integral Event-Triggered Attack-Resilient Control of Aircraft-on-Ground Synergistic Turning System With Uncertain Tire Cornering Stiffness
Chenglong Du, Fanbiao Li, Yang Shi, Chunhua Yang, Weihua Gui
2023, 10(5): 1276-1287. doi: 10.1109/JAS.2023.123480
Abstract(827) HTML (114) PDF(56)
Abstract:
This article proposes an integral-based event-triggered attack-resilient control method for the aircraft-on-ground (AoG) synergistic turning system with uncertain tire cornering stiffness under stochastic deception attacks. First, a novel AoG synergistic turning model is established with synergistic reverse steering of the front and main wheels to decrease the steering angle of the AoG fuselage, thus reducing the steady-state error when it follows a path with some large curvature. Considering that the tire cornering stiffness of the front and main wheels vary during steering, a dynamical observer is designed to adaptively identify them and estimate the system state at the same time. Then, an integral-based event-triggered mechanism (I-ETM) is synthesized to reduce the transmission frequency at the observer-to-controller end, where stochastic deception attacks may occur at any time with a stochastic probability. Moreover, an attack-resilient controller is designed to guarantee that the closed-loop system is robust $ {\cal{L}}_2$-stable under stochastic attacks and external disturbances. A co-design method is provided to get feasible solutions for the observer, controller, and I-ETM simultaneously. An optimization program is further presented to make a tradeoff between the robustness of the control scheme and the saving of communication resources. Finally, the low- and high-probability stochastic deception attacks are considered in the simulations. The results have illustrated that the AoG synergistic turning system with the proposed control method follows a path with some large curvature well under stochastic deception attacks. Furthermore, compared with the static event-triggered mechanisms, the proposed I-ETM has demonstrated its superiority in saving communication resources.
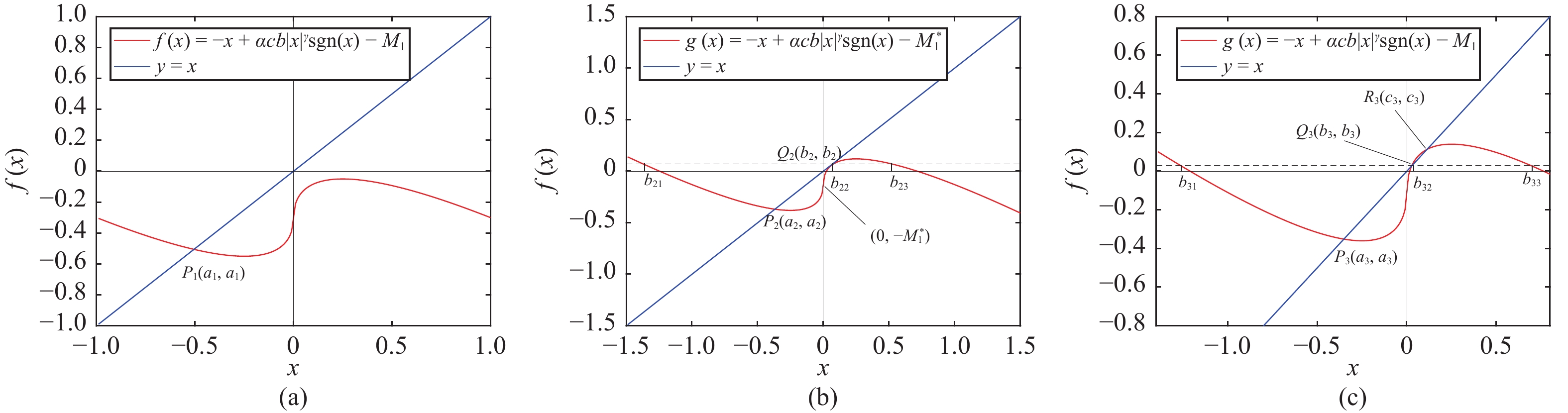
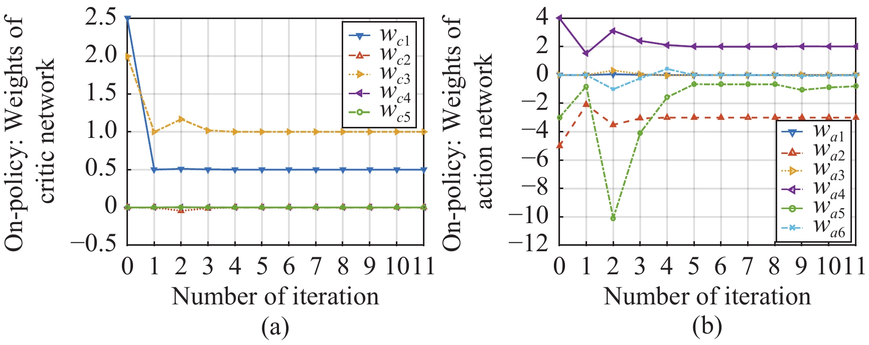
A Data-Based Feedback Relearning Algorithm for Uncertain Nonlinear Systems
Chaoxu Mu, Yong Zhang, Guangbin Cai, Ruijun Liu, Changyin Sun
2023, 10(5): 1288-1303. doi: 10.1109/JAS.2023.123186
Abstract(1408) HTML (240) PDF(73)
Abstract:

In this paper, a data-based feedback relearning algorithm is proposed for the robust control problem of uncertain nonlinear systems. Motivated by the classical on-policy and off-policy algorithms of reinforcement learning, the online feedback relearning (FR) algorithm is developed where the collected data includes the influence of disturbance signals. The FR algorithm has better adaptability to environmental changes (such as the control channel disturbances) compared with the off-policy algorithm, and has higher computational efficiency and better convergence performance compared with the on-policy algorithm. Data processing based on experience replay technology is used for great data efficiency and convergence stability. Simulation experiments are presented to illustrate convergence stability, optimality and algorithmic performance of FR algorithm by comparison.

A Novel Obstacle Avoidance Consensus Control for Multi-AUV Formation System
Linling Wang, Daqi Zhu, Wen Pang, Chaomin Luo
2023, 10(5): 1304-1318. doi: 10.1109/JAS.2023.123201
Abstract(2649) HTML (123) PDF(142)
Abstract:

In this paper, the fixed-time event-triggered obstacle avoidance consensus control for a multi-AUV time-varying formation system in a 3D environment is presented by using an improved artificial potential field and leader-follower strategy (IAPF-LF). Firstly, the proposed fixed-time control can achieve the desired multi-AUV formation within a fixed settling time in any initial system state. Secondly, an event-triggered communication strategy is developed to govern the communication among AUVs, and the communication energy consumption can be decremented. The time-varying formation obstacle avoidance control algorithm based on IAPF-LF is designed to avoid static and dynamic obstacles, the desired formation is maintained in the presence of external disturbances, and there is no Zeno behavior under the fixed-time event-triggered consensus control strategy. The stability of the system is proved by the Lyapunov function and inequality scaling. Finally, simulation examples and water pool experiments are reported to verify the performance of the proposed theoretical algorithms.

LETTERS
Sliding Mode Control for Recurrent Neural Networks With Time-Varying Delays and Impulsive Effects
Lanfeng Hua, Kaibo Shi, Zheng-Guang Wu, Soohee Han, Shouming Zhong
2023, 10(5): 1319-1321. doi: 10.1109/JAS.2023.123372
Abstract(991) HTML (95) PDF(72)
Abstract:
Vision-Based Fixed-Time Uncooperative Aerial Target Tracking for UAV
Peng Sun, Siqi Li, Bing Zhu, Zongyu Zuo, Xiaohua Xia
2023, 10(5): 1322-1324. doi: 10.1109/JAS.2023.123510
Abstract(929) HTML (94) PDF(80)
Abstract:
Model-Free Formation Control of Autonomous Underwater Vehicles: A Broad Learning-Based Solution
Wenqiang Cao, Jing Yan, Xian Yang, Xiaoyuan Luo, Xinping Guan
2023, 10(5): 1325-1328. doi: 10.1109/JAS.2023.123165
Abstract(787) HTML (95) PDF(63)
Abstract:
Towards Energy-Efficient Autonomous Driving: A Multi-Objective Reinforcement Learning Approach
Xiangkun He, Chen Lv
2023, 10(5): 1329-1331. doi: 10.1109/JAS.2023.123378
Abstract(820) HTML (88) PDF(69)
Abstract:
A Semi-Looped-Functional for Stability Analysis of Sampled-Data Systems
Zhaoliang Sheng, Chong Lin, Shengyuan Xu
2023, 10(5): 1332-1335. doi: 10.1109/JAS.2023.123498
Abstract(736) HTML (136) PDF(46)
Abstract:
A Novel Memory-Based Scheduling Protocol for Networked Control Systems Under Stochastic Attacks and Bandwidth Constraint
Hongchenyu Yang, Chen Peng, Zhiru Cao
2023, 10(5): 1336-1339. doi: 10.1109/JAS.2023.123162
Abstract(592) HTML (120) PDF(34)
Abstract:
Vibration Control of an Experimental Flexible Manipulator Against Input Saturation
Zhijia Zhao, Sentao Cai, Ge Ma, F. Richard Yu
2023, 10(5): 1340-1342. doi: 10.1109/JAS.2023.123345
Abstract(593) HTML (104) PDF(45)
Abstract:
Path Following of Underactuated Autonomous Surface Vessels With Surge Velocity Constraint and Asymmetric Saturation
Yalei Yu, Chen Guo, Tieshan Li
2023, 10(5): 1343-1345. doi: 10.1109/JAS.2023.123168
Abstract(778) HTML (100) PDF(49)
Abstract:
Early-Awareness Collision Avoidance in Optimal Multi-Agent Path Planning With Temporal Logic Specifications
Yiwei Zheng, Aiwen Lai, Xiao Yu, Weiyao Lan
2023, 10(5): 1346-1348. doi: 10.1109/JAS.2022.106043
Abstract(914) HTML (84) PDF(68)
Abstract:
Robust Control of Manned Submersible Vehicle With Nonlinear MPC and Disturbance Observer
Qiuxin Zhong, Xing Fang, Zhengtao Ding, Fei Liu
2023, 10(5): 1349-1351. doi: 10.1109/JAS.2023.123429
Abstract(591) HTML (75) PDF(60)
Abstract:
Distributed Adaptive Asymptotic Tracking of 2-D Vehicular Platoon Systems With Actuator Faults and Spacing Constraints
Jiayi Lei, Yuan-Xin Li, Shaocheng Tong
2023, 10(5): 1352-1354. doi: 10.1109/JAS.2023.123150
Abstract(938) HTML (121) PDF(63)
Abstract: