A journal of IEEE and CAA , publishes high-quality papers in English on original theoretical/experimental research and development in all areas of automation
Volume 10 Issue 5
May  2023

IEEE/CAA Journal of Automatica Sinica

  • JCR Impact Factor: 19.2, Top 1 (SCI Q1)
    CiteScore: 28.2, Top 1% (Q1)
    Google Scholar h5-index: 95, TOP 5
Turn off MathJax
Article Contents
A. D. Carnerero, D. R. Ramirez, D. Limon, and  T. Alamo,  “Kernel-based state-space kriging for predictive control,” IEEE/CAA J. Autom. Sinica, vol. 10, no. 5, pp. 1263–1275, May 2023. doi: 10.1109/JAS.2023.123459
Citation: A. D. Carnerero, D. R. Ramirez, D. Limon, and  T. Alamo,  “Kernel-based state-space kriging for predictive control,” IEEE/CAA J. Autom. Sinica, vol. 10, no. 5, pp. 1263–1275, May 2023. doi: 10.1109/JAS.2023.123459

Kernel-Based State-Space Kriging for Predictive Control

doi: 10.1109/JAS.2023.123459
Funds:  A preliminary version of this paper was presented at the 2022 IEEE Conference on Decision and Control. This work was supported by the Agencia Estatal de Investigación (AEI)-Spain (PID2019-106212RB-C41/AEI/10.13039/501100011033) and also by Junta de Andalucía and FEDER funds (P20_00546)
More Information
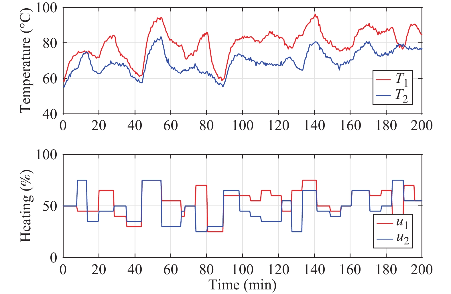
  • In this paper, we extend the state-space kriging (SSK) modeling technique presented in a previous work by the authors in order to consider non-autonomous systems. SSK is a data-driven method that computes predictions as linear combinations of past outputs. To model the nonlinear dynamics of the system, we propose the kernel-based state-space kriging (K-SSK), a new version of the SSK where kernel functions are used instead of resorting to considerations about the locality of the data. Also, a Kalman filter can be used to improve the predictions at each time step in the case of noisy measurements. A constrained tracking nonlinear model predictive control (NMPC) scheme using the black-box input-output model obtained by means of the K-SSK prediction method is proposed. Finally, a simulation example and a real experiment are provided in order to assess the performance of the proposed controller.

     

  • loading
  • [1]
    L. Ljung, System Identification (2nd Ed.): Theory for the User. Prentice Hall PTR, Upper Saddle River, NJ, USA, 1999.
    [2]
    B. Lim and S. Zohren, “Time-series forecasting with deep learning: A survey,” Philosophical Transactions of the Royal Society A, vol. 379, no. 2194, p. 20200209, 2021. doi: 10.1098/rsta.2020.0209
    [3]
    S. H. Rudy, J. N. Kutz, and S. L. Brunton, “Deep learning of dynamics and signal-noise decomposition with time-stepping constraints,” Journal of Computational Physics, vol. 396, pp. 483–506, 2019. doi: 10.1016/j.jcp.2019.06.056
    [4]
    C. E. Rasmussen and C. K. I. Williams, Gaussian Processes for Machine Learning. MIT Press, 2006.
    [5]
    D. F. Gomez, F. D. Lagor, P. B. Kirk, A. H. Lind, A. R. Jones, and D. A. Paley, “Data-driven estimation of the unsteady flowfield near an actuated airfoil,” Journal of Guidance,Control,and Dynamics, vol. 42, no. 10, pp. 2279–2287, 2019. doi: 10.2514/1.G004339
    [6]
    J. R. Salvador, D. R. Ramirez, T. Alamo, and D. Muñoz de la Peña, “Offset free data driven control: Application to a process control trainer,” IET Control Theory &Applications, vol. 13, no. 18, pp. 3096–3106, 2019.
    [7]
    J. Roll, A. Nazin, and L. Ljung, “Nonlinear system identification via direct weight optimization,” Automatica, vol. 41, no. 3, pp. 475–490, 2005. doi: 10.1016/j.automatica.2004.11.010
    [8]
    J. M. Manzano, D. Muñoz de la Peña, J. P. Calliess, and D. Limon, “Componentwise hölder inference for robust learning-based MPC,” IEEE Trans. Automatic Control, vol. 66, no. 11, pp. 5577–5583, 2021. doi: 10.1109/TAC.2021.3056356
    [9]
    A. D. Carnerero, D. R. Ramirez, and T. Alamo, “State-space kriging: A data-driven method to forecast nonlinear dynamical systems,” IEEE Control Systems Letters, vol. 6, pp. 2258–2263, 2022. doi: 10.1109/LCSYS.2021.3140167
    [10]
    N. Cressie, “Kriging nonstationary data,” Journal of the American Statistical Association, vol. 81, no. 395, pp. 625–634, 1986. doi: 10.1080/01621459.1986.10478315
    [11]
    J. Marzat and H. Piet-Lahanier, “Design of nonlinear MPC by Kriging-based optimization,” IFAC Proceedings Volumes, vol. 45, no. 16, pp. 1490–1495, 2012. doi: 10.3182/20120711-3-BE-2027.00136
    [12]
    E. F. Camacho and C. Bordons, Model Predictive Control. Springer Science & Business Media, 2013.
    [13]
    J. Salvador, T. Alamo, D. Ramirez, and D. Muñoz de la Peña, “Model predictive control of partially fading memory systems with binary inputs,” Journal of Process Control, vol. 64, pp. 141–151, 2018. doi: 10.1016/j.jprocont.2018.02.006
    [14]
    H. Wei and Y. Shi, “MPC-based motion planning and control enables smarter and safer autonomous marine vehicles: Perspectives and a tutorial survey,” IEEE/CAA J. Autom. Sinica, vol. 10, no. 1, pp. 8–24, 2023.
    [15]
    J. Berberich, J. Köhler, M. A. Müller, and F. Allgöwer, “Data-driven model predictive control with stability and robustness guarantees,” IEEE Trans. Automatic Control, vol. 66, no. 4, pp. 1702–1717, 2020.
    [16]
    X. Wang, J. Sun, G. Wang, F. Allgöwer, and J. Chen, “Data-driven control of distributed event-triggered network systems,” IEEE/CAA J. Autom. Sinica, vol. 10, no. 2, pp. 351–364, 2023. doi: 10.1109/JAS.2023.123225
    [17]
    K. Arulkumaran, M. P. Deisenroth, M. Brundage, and A. A. Bharath, “Deep reinforcement learning: A brief survey,” IEEE Signal Processing Magazine, vol. 34, no. 6, pp. 26–38, 2017. doi: 10.1109/MSP.2017.2743240
    [18]
    D. Limon, I. Alvarado, T. Alamo, and E. F. Camacho, “MPC for tracking piecewise constant references for constrained linear systems,” Automatica, vol. 44, no. 9, pp. 2382–2387, 2008. doi: 10.1016/j.automatica.2008.01.023
    [19]
    D. Limon, A. Ferramosca, I. Alvarado, and T. Alamo, “Nonlinear MPC for tracking piece-wise constant reference signals,” IEEE Trans. Automatic Control, vol. 63, no. 11, pp. 3735–3750, 2018. doi: 10.1109/TAC.2018.2798803
    [20]
    N. Cristianini and J. Shawe-Taylor, An Introduction to Support Vector Machines and Other Kernel-Based Learning Methods. Cambridge University Press, 2000.
    [21]
    J. Shawe-Taylor and N. Cristianini, Kernel Methods for Pattern Analysis. Cambridge University Press, 2004.
    [22]
    J. P. Kleijnen, “Kriging metamodeling in simulation: A review,” European Journal of Operational Research, vol. 192, no. 3, pp. 707–716, 2009. doi: 10.1016/j.ejor.2007.10.013
    [23]
    G. Alfonso, A. D. Carnerero, D. R. Ramirez, and T. Alamo, “Receding horizon optimization of large trade orders,” IEEE Access, vol. 9, pp. 63865–63875, 2021. doi: 10.1109/ACCESS.2021.3075700
    [24]
    S. Boyd and L. Vandenberghe, Convex Optimization. Cambridge University Press, 2004.
    [25]
    G. Grimm, M. J. Messina, S. E. Tuna, and A. R. Teel, “Examples when nonlinear model predictive control is nonrobust,” Automatica, vol. 40, no. 10, pp. 1729–1738, 2004. doi: 10.1016/j.automatica.2004.04.014
    [26]
    H. K. Khalil, Nonlinear Control. Pearson New York, 2015, vol. 406.
    [27]
    D. E. Seborg, T. F. Edgar, D. A. Mellichamp, and F. J. Doyle III, Process Dynamics and Control. John Wiley & Sons, 2016.
    [28]
    G. Pannocchia and J. B. Rawlings, “Disturbance models for offset-free model-predictive control,” AIChE Journal, vol. 49, no. 2, pp. 426–437, 2003. doi: 10.1002/aic.690490213
    [29]
    U. Maeder, F. Borrelli, and M. Morari, “Linear offset-free model predictive control,” Automatica, vol. 45, no. 10, pp. 2214–2222, 2009. doi: 10.1016/j.automatica.2009.06.005
    [30]
    G. Pannocchia, “Offset-free tracking MPC: A tutorial review and comparison of different formulations,” in Proc. European Control Conf., 2015, pp. 527–532.
    [31]
    P. M. Oliveira and J. D. Hedengren, “An APMonitor temperature lab PID control experiment for undergraduate students,” in Proc. 24th IEEE Int. Conf. Emerging Technologies and Factory Automation, 2019, pp. 790–797.

Catalog

    通讯作者: 陈斌, bchen63@163.com
    • 1. 

      沈阳化工大学材料科学与工程学院 沈阳 110142

    1. 本站搜索
    2. 百度学术搜索
    3. 万方数据库搜索
    4. CNKI搜索

    Figures(6)  / Tables(3)

    Article Metrics

    Article views (1455) PDF downloads(98) Cited by()

    Highlights

    • This paper presents novel black-box models for nonlinear dynamical systems
    • A Kalman filter can be easily added to improve the quality of the predictions
    • A Tracking MPC controller is built by using the previously obtained models
    • The stability of the closed-loop system is proven by means of some mild assumptions
    • The controller attained very good results in a set of simulated and real experiments

    /

    DownLoad:  Full-Size Img  PowerPoint
    Return
    Return