A journal of IEEE and CAA , publishes high-quality papers in English on original theoretical/experimental research and development in all areas of automation
Volume 12 Issue 10
Oct.  2025

IEEE/CAA Journal of Automatica Sinica

  • JCR Impact Factor: 19.2, Top 1 (SCI Q1)
    CiteScore: 28.2, Top 1% (Q1)
    Google Scholar h5-index: 95, TOP 5
Turn off MathJax
Article Contents
Y. Feng, Y. Liu, Z. He, and H. Li, “A high-order fully actuated-based backstepping tracking scheme of underactuated systems,” IEEE/CAA J. Autom. Sinica, vol. 12, no. 10, pp. 2127–2137, Oct. 2025. doi: 10.1109/JAS.2025.125174
Citation: Y. Feng, Y. Liu, Z. He, and H. Li, “A high-order fully actuated-based backstepping tracking scheme of underactuated systems,” IEEE/CAA J. Autom. Sinica, vol. 12, no. 10, pp. 2127–2137, Oct. 2025. doi: 10.1109/JAS.2025.125174

A High-Order Fully Actuated-Based Backstepping Tracking Scheme of Underactuated Systems

doi: 10.1109/JAS.2025.125174
Funds:  This work was supported in part by the National Natural Science Foundation of China (62373208, 62033003, 62273105, U191140), Taishan Scholar Program of Shandong Province of China (tsqn202306218), the National Key Research and Development Program of China (2022YFB4703100), and the National Natural Science Foundation of Shandong Province (ZR2024YQ032)
More Information
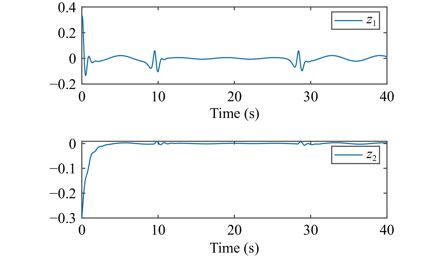
  • A high-order fully actuated (HOFA) control method is developed for underactuated mechanical systems (UMSs) with model uncertainties and external disturbances. First, a model transformation is made from the original to a pseudo strict-feedback form, and an HOFA model is established by using the method of variable elimination. Then, a group of high-order extended state observers (ESOs) are designed to deal with model uncertainties and external disturbances. The HOFA model is further classified and decomposed to achieve output constraints within a finite time range, and a barrier function is designed by combining with a shift function. Additionally, an ESO-based HOFA tracking control strategy for UMS is proposed. Finally, a manipulator model is used to verify the effectiveness of the proposed control strategy.

     

  • loading
  • [1]
    Y. Liu and H. Yu, “A survey of underactuated mechanical systems,” IET Contr. Theory Appl., vol. 7, no. 7, pp. 921–935, May 2013. doi: 10.1049/iet-cta.2012.0505
    [2]
    M. Reyhanoglu, A. van der Schaft, N. H. McClamroch, and I. Kolmanovsky, “Dynamics and control of a class of underactuated mechanical systems,” IEEE Trans. Autom. Control, vol. 44, no. 9, pp. 1663–1671, Sep. 1999. doi: 10.1109/9.788533
    [3]
    G. Chen, D. Yao, Q. Zhou, H. Li, and R. Lu, “Distributed event-triggered formation control of USVs with prescribed performance,” J. Syst. Sci. Complex., vol. 35, no. 3, pp. 820–838, Jun. 2022. doi: 10.1007/s11424-021-0150-0
    [4]
    X. He, Z. Sun, Z. Geng, and A. Robertsson, “Exponential set-point stabilization of underactuated vehicles moving in three-dimensional space,” IEEE/CAA J. Autom. Sinica, vol. 9, no. 2, pp. 270–282, Nov. 2022. doi: 10.1109/JAS.2021.1004323
    [5]
    B. He, S. Wang, and Y. Liu, “Underactuated robotics: A review,” Int. J. Adv. Robot. Syst., vol. 16, no. 4, p. 1729881419862164, Jul. 2019. doi: 10.1177/1729881419862164
    [6]
    B. J. Emran and H. Najjaran, “A review of quadrotor: An underactuated mechanical system,” Annu. Rev. Control, vol. 46, pp. 165–180, Jan. 2018. doi: 10.1016/j.arcontrol.2018.10.009
    [7]
    Z. Guo, H. Li, H. Ma, and W. Meng, “Distributed optimal attitude synchronization control of multiple quavs via adaptive dynamic programming,” IEEE Trans. Neural Netw. Learn. Syst., vol. 35, no. 6, pp. 8053–8063, Jun. 2024. doi: 10.1109/TNNLS.2022.3224029
    [8]
    S. Bhat and I. Stenius, “Hydrobatics: A review of trends, challenges and opportunities for efficient and agile underactuated AUVs,” in Proc. IEEE/OES Autonomous Underwater Vehicle Workshop, Nov. 2018, pp. 1–8.
    [9]
    K. Zhang, B. Zhou, H. Jiang, and G. Duan, “Finite-time control of a class of nonlinear underactuated systems with application to underactuated axisymmetric spacecraft,” IEEE Trans. Aerosp. Electron. Syst., vol. 59, no. 5, pp. 7061–7071, Oct. 2023.
    [10]
    Y. Yang, X. Zhou, J. Li, and C. Hua, “Barrier function-based adaptive composite sliding mode control for a class of mimo underactuated systems subject to disturbances,” IEEE Trans. Ind. Informat., vol. 20, no. 9, pp. 11429–11437, Sep. 2024. doi: 10.1109/TII.2024.3403258
    [11]
    S. Rudra, R. Kumar Barai, and M. Maitra, “Nonlinear state feedback controller design for underactuated mechanical system: A modified block backstepping approach,” ISA Trans., vol. 53, no. 2, pp. 317–326, Mar. 2014. doi: 10.1016/j.isatra.2013.12.021
    [12]
    N. Adhikary and C. Mahanta, “Integral backstepping sliding mode control for underactuated systems: Swing-up and stabilization of the cart-pendulum system,” ISA Trans., vol. 52, no. 6, pp. 870–880, Nov. 2013. doi: 10.1016/j.isatra.2013.07.012
    [13]
    S. Dian, L. Chen, S. Hoang, M. Pu, and J. Liu, “Dynamic balance control based on an adaptive gain-scheduled backstepping scheme for power-line inspection robots,” IEEE/CAA J. Autom. Sinica, vol. 6, no. 1, pp. 198–208, Jan. 2019. doi: 10.1109/JAS.2017.7510721
    [14]
    G. Duan, “High-order fully actuated system approaches: Part I. Models and basic procedure,” Int. J. Syst. Sci., vol. 52, no. 2, pp. 422–435, Oct. 2020.
    [15]
    G. Duan, “High-order fully actuated system approaches: Part III. Robust control and high-order backstepping,” Int. J. Syst. Sci., vol. 52, no. 5, pp. 952–971, Dec. 2020.
    [16]
    W. Liu, G. Duan, and M. Hou, “High-order command filtered adaptive backstepping control for second-order and high-order fully actuated strict-feedback systems,” J. Frankl. Inst., vol. 360, no. 6, pp. 3989–4015, Apr. 2023. doi: 10.1016/j.jfranklin.2023.01.014
    [17]
    X. Wang and G. Duan, “High-order fully actuated system approaches: Model predictive control with applications to under-actuated systems,” J. Franklin Inst., vol. 360, no. 10, pp. 6953–6975, Jul. 2023. doi: 10.1016/j.jfranklin.2023.05.009
    [18]
    P. Li and G. Duan, “High-order fully actuated control approach for flexible servo systems using dynamical compensator,” in Proc. IEEE 2nd Conf. Fully Actuated System Theory and Applications, 2023, pp. 862–867.
    [19]
    N. Wang, X. Liu, C. Liu, H. Wang, and Y. Zhou, “Almost disturbance decoupling for HOFA nonlinear systems with strict-feedback form,” J. Syst. Sci. Complex., vol. 35, no. 2, pp. 481–501, Apr. 2022. doi: 10.1007/s11424-022-2017-4
    [20]
    N. Wang, X. Liu, C. Liu, H. Wang, and Y. Zhou, “Adaptive control and almost disturbance decoupling for uncertain HOFA nonlinear systems,” J. Syst. Sci. Complex., vol. 37, no. 8, pp. 2133–2161, May 2023.
    [21]
    J. Han, “From PID to active disturbance rejection control,” IEEE Trans. Ind. Electron., vol. 56, no. 3, pp. 900–906, Mar. 2009. doi: 10.1109/TIE.2008.2011621
    [22]
    Y. Huang and W. Xue, “Active disturbance rejection control: Methodology and theoretical analysis,” ISA Trans., vol. 53, no. 4, pp. 963–976, Jul. 2014. doi: 10.1016/j.isatra.2014.03.003
    [23]
    Y. Liu, J. An, L. Cao, and C. Ahn, “Modified quadratic spacing policy and extended state observer-based adaptive platoon tracking scheme for heterogeneous vehicles,” IEEE Trans. Intell. Transp. Syst., vol. 72, no. 8, pp. 9268–9280, Aug. 2024. doi: 10.1109/TITS.2024.3369308
    [24]
    Q. Zhou, Q. Ren, H. Ma, G. Chen, and H. Li, “Model-free adaptive control for nonlinear systems under dynamic sparse attacks and measurement disturbances,” IEEE Trans. Circuits Syst. I: Regul. Pap., vol. 71, no. 10, pp. 4731–4741, Oct. 2024. doi: 10.1109/TCSI.2024.3434607
    [25]
    Y. Xu, Z. Wu, L. Wei, Y. Zhang, and F. Fang, “A maximum power point tracking control method for wind turbines with uncertainties based on fully actuated system theory,” in Proc. IEEE 2nd Conf. Fully Actuated System Theory and Applications, 2023, pp. 845–850.
    [26]
    P. Li and G. Duan, “High-order fully actuated control approach for servo systems based on dynamical compensator and extended state observer,” IEEE/ASME Trans. Mechatron., pp. 1–10, Oct. 2024.
    [27]
    S. Chen, W. Wang, J. Fan, and Y. Ji, “Impact angle constraint guidance law using fully-actuated system approach,” Aerosp. Sci. Technol., vol. 136, p. 108220, May 2023. doi: 10.1016/j.ast.2023.108220
    [28]
    M. Cai, X. He, and D. Zhou, “Fault-tolerant tracking control for nonlinear observer-extended high-order fully-actuated systems,” J. Franklin Inst., vol. 360, no. 1, pp. 136–153, Jan. 2023. doi: 10.1016/j.jfranklin.2022.11.025
    [29]
    Z. Zheng, L. Ruan, and M. Zhu, “Output-constrained tracking control of an underactuated autonomous underwater vehicle with uncertainties,” Ocean Eng., vol. 175, pp. 241–250, Mar. 2019. doi: 10.1016/j.oceaneng.2019.02.023
    [30]
    S.-L. Dai, S. He, M. Wang, and C. Yuan, “Adaptive neural control of underactuated surface vessels with prescribed performance guarantees,” IEEE Trans. Neural Networks and Learning Systems, vol. 30, no. 12, pp. 3686–3698, 2019. doi: 10.1109/TNNLS.2018.2876685
    [31]
    L. Kong, W. He, Z. Liu, X. Yu, and C. Silvestre, “Adaptive tracking control with global performance for output-constrained MIMO nonlinear systems,” IEEE Trans. Autom. Control, vol. 68, no. 6, pp. 3760–3767, Jun. 2023. doi: 10.1109/TAC.2022.3201258
    [32]
    Y. Liu, R. Chi, H. Li, L. Wang, and N. Lin, “HiTL-based adaptive fuzzy tracking control of MASs: A distributed fixed-time strategy,” Sci. China Technological Sci., vol. 66, no. 10, pp. 2907–2916, Sep. 2023. doi: 10.1007/s11431-022-2319-6
    [33]
    Y. Liu, X. Yao, and W. Zhao, “Distributed neural-based fault-tolerant control of multiple flexible manipulators with input saturations,” Automatica, vol. 156, p. 111202, Oct. 2023. doi: 10.1016/j.automatica.2023.111202
    [34]
    H. Ma, H. Ren, Q. Zhou, H. Li, and Z. Wang, “Observer-based neural control of N-link flexible-joint robots,” IEEE Trans. Neural Netw. Learn. Syst., vol. 35, no. 4, pp. 5295–5305, Apr. 2024. doi: 10.1109/TNNLS.2022.3203074
    [35]
    W. Chang, Y. Li, and S. Tong, “Adaptive fuzzy backstepping tracking control for flexible robotic manipulator,” IEEE/CAA J. Autom. Sinica, vol. 8, no. 12, pp. 1923–1930, Dec. 2021. doi: 10.1109/JAS.2017.7510886
    [36]
    X. She, H. Ma, H. Ren, and H. Li, “Vision-based adaptive prescribed-time control of UAV for uncooperative target tracking with performance constraint,” J. Syst. Sci. Complex., vol. 37, no. 5, pp. 1956–1977, Aug. 2024. doi: 10.1007/s11424-024-3443-2
    [37]
    J. Sun and Z. Ming, “Cooperative differential game-based distributed optimal synchronization control of heterogeneous nonlinear multiagent systems,” IEEE Trans. Cybern., vol. 53, no. 12, pp. 7933–7942, Dec. 2023. doi: 10.1109/TCYB.2023.3240983
    [38]
    X. Guo, C. Wang, and L. Liu, “Adaptive fault-tolerant control for a class of nonlinear multi-agent systems with multiple unknown time-varying control directions,” Automatica, vol. 167, p. 111802, Sep. 2024. doi: 10.1016/j.automatica.2024.111802
    [39]
    W. Zhang, Q. Huang, X. Wang, H. Li, and H. Li, “Bipartite consensus for quantization communication multi-agents systems with event-triggered random delayed impulse control,” IEEE Trans. Circuits Syst. I: Regul. Pap., vol. 72, no. 4, pp. 1751–1762, Apr. 2025. doi: 10.1109/TCSI.2024.3468447
    [40]
    O. U. Rehman, I. R. Petersen, and B. Fidan, “A mean value theorem approach to robust control design for uncertain nonlinear systems,” in Proc. American Control Conf., Jun. 2012, pp. 6733–6738.
    [41]
    Z. Wang, R. Lu, F. Gao, and D. Liu, “An indirect data-driven method for trajectory tracking control of a class of nonlinear discrete-time systems,” IEEE Trans. Ind. Electron., vol. 64, no. 5, pp. 4121–4129, May 2017. doi: 10.1109/TIE.2016.2617830
    [42]
    T. Wu, Y. Zheng, Q. Liu, G. Sun, X. Wang, and X. Li, “Continuous commutation failure suppression method based on self-adaptive auto-disturbance rejection proportional-integral controller for hvdc transmission system,” J. Mod. Power Syst. Clean Energy, vol. 8, no. 6, pp. 1178–1187, Nov. 2020. doi: 10.35833/MPCE.2019.000431
    [43]
    L. Hu, G. Duan, and M. Hou, “Robust adaptive guaranteed cost tracking control for high-order nonlinear systems with uncertainties based on high-order fully actuated system approaches,” Int. J. Robust Nonlinear Control, vol. 33, no. 13, pp. 7583–7605, May 2023. doi: 10.1002/rnc.6766
    [44]
    Y. Li and S. Tong, “Adaptive backstepping control for uncertain nonlinear strict-feedback systems with full state triggering,” Automatica, vol. 163, p. 111574, 2024. doi: 10.1016/j.automatica.2024.111574
    [45]
    W. Liu, G. Duan, and M. Hou, “High-order robust command filtered backstepping design for strict-feedback systems: A high-order fully actuated system approach,” Int. J. Robust Nonlinear Control, vol. 32, p. 18, Oct. 2022.
    [46]
    G. Duan, “High-order fully actuated system approaches: Part IV. Adaptive control and high-order backstepping,” Int. J. Syst. Sci., vol. 52, no. 5, pp. 972–989, Sep. 2020.
    [47]
    Z. Wang, Y. Yuan, and H. Yang, “Adaptive fuzzy tracking control for strict-feedback markov jumping nonlinear systems with actuator failures and unmodeled dynamics,” IEEE Trans. Cybern., vol. 50, no. 1, pp. 126–139, Jan. 2020. doi: 10.1109/TCYB.2018.2865677
    [48]
    Z. Wang, C. Mu, S. Hu, C. Chu, and X. Li, “Modelling the dynamics of regret minimization in large agent populations: A master equation approach,” in Proc. the 31st Int. Joint Conf. Artificial Intelligence, Jul. 2022, pp. 534–540.

Catalog

    通讯作者: 陈斌, bchen63@163.com
    • 1. 

      沈阳化工大学材料科学与工程学院 沈阳 110142

    1. 本站搜索
    2. 百度学术搜索
    3. 万方数据库搜索
    4. CNKI搜索

    Figures(5)

    Article Metrics

    Article views (135) PDF downloads(28) Cited by()

    /

    DownLoad:  Full-Size Img  PowerPoint
    Return
    Return