A journal of IEEE and CAA , publishes high-quality papers in English on original theoretical/experimental research and development in all areas of automation
Volume 8 Issue 4
Apr.  2021

IEEE/CAA Journal of Automatica Sinica

  • JCR Impact Factor: 19.2, Top 1 (SCI Q1)
    CiteScore: 28.2, Top 1% (Q1)
    Google Scholar h5-index: 95, TOP 5
Turn off MathJax
Article Contents
Hamed Habibi, Ian Howard, Silvio Simani, and Afef Fekih, "Decoupling Adaptive Sliding Mode Observer Design for Wind Turbines Subject to Simultaneous Faults in Sensors and Actuators," IEEE/CAA J. Autom. Sinica, vol. 8, no. 4, pp. 837-847, Apr. 2021. doi: 10.1109/JAS.2021.1003931
Citation: Hamed Habibi, Ian Howard, Silvio Simani, and Afef Fekih, "Decoupling Adaptive Sliding Mode Observer Design for Wind Turbines Subject to Simultaneous Faults in Sensors and Actuators," IEEE/CAA J. Autom. Sinica, vol. 8, no. 4, pp. 837-847, Apr. 2021. doi: 10.1109/JAS.2021.1003931

Decoupling Adaptive Sliding Mode Observer Design for Wind Turbines Subject to Simultaneous Faults in Sensors and Actuators

doi: 10.1109/JAS.2021.1003931
More Information
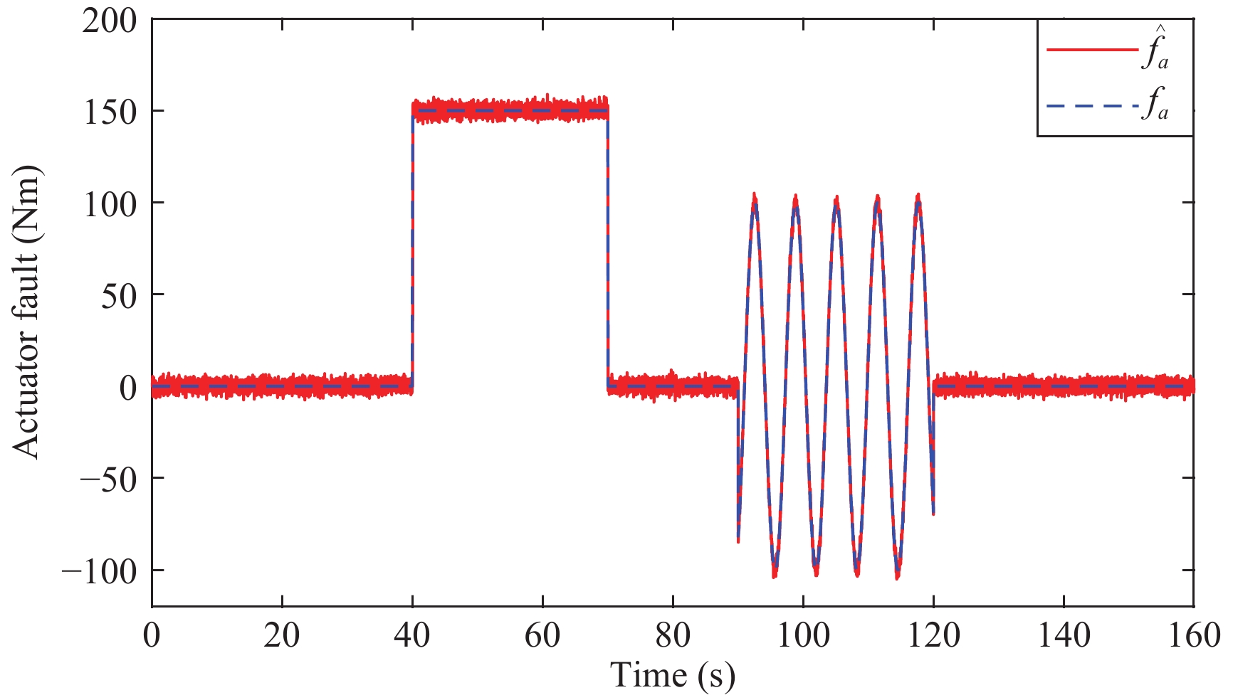
  • This paper proposes an adaptive sliding mode observer (ASMO)-based approach for wind turbines subject to simultaneous faults in sensors and actuators. The proposed approach enables the simultaneous detection of actuator and sensor faults without the need for any redundant hardware components. Additionally, wind speed variations are considered as unknown disturbances, thus eliminating the need for accurate measurement or estimation. The proposed ASMO enables the accurate estimation and reconstruction of the descriptor states and disturbances. The proposed design implements the principle of separation to enable the use of the nominal controller during faulty conditions. Fault tolerance is achieved by implementing a signal correction scheme to recover the nominal behavior. The performance of the proposed approach is validated using a 4.8 MW wind turbine benchmark model subject to various faults. Monte-Carlo analysis is also carried out to further evaluate the reliability and robustness of the proposed approach in the presence of measurement errors. Simplicity, ease of implementation and the decoupling property are among the positive features of the proposed approach.

     

  • loading
  • [1]
    B. Yang, T. Yu, H. Shu, J. Dong, and L. Jiang, “Robust slidingmode control of wind energy conversion systems for optimal power extraction via nonlinear perturbation observers,” Appl. Energy, vol. 210, pp. 711–723, 2018. doi: 10.1016/j.apenergy.2017.08.027
    [2]
    H. Habibi, I. Howard, and S. Simani, “Reliability improvement of wind turbine power generation using model-based fault detection and fault tolerant control: A review,” Renew. Energy, vol. 135, pp. 877–896, 2019. doi: 10.1016/j.renene.2018.12.066
    [3]
    M. J. Morshed and A. Fekih, “A sliding mode approach to enhance the power quality of wind turbines under unbalanced voltage conditions,” IEEE/CAA J. Autom. Sinica, vol. 6, no. 2, pp. 566–574, 2019. doi: 10.1109/JAS.2019.1911414
    [4]
    M. J. Morshed, “A nonlinear coordinated approach to enhance the transient stability of wind energy-based power systems,” IEEE/CAA J. Autom. Sinica, vol. 7, no. 4, pp. 1087–1097, 2020. doi: 10.1109/JAS.2020.1003255
    [5]
    H. Badihi, Y. Zhang, and H. Hong, “Fault-tolerant cooperative control in an offshore wind farm using model-free and model-based fault detection and diagnosis approaches,” Appl. Energy, vol. 201, pp. 284–307, 2017. doi: 10.1016/j.apenergy.2016.12.096
    [6]
    J. Lan, R. J. Patton, and X. Zhu, “Fault-tolerant wind turbine pitch control using adaptive sliding mode estimation,” Renew. Energy, vol. 116, pp. 219–231, 2018. doi: 10.1016/j.renene.2016.12.005
    [7]
    C. Sloth, T. Esbensen, and J. Stoustrup, “Robust and fault-tolerant linear parameter-varying control of wind turbines,” Mechatronics, vol. 21, no. 4, pp. 645–659, 2011. doi: 10.1016/j.mechatronics.2011.02.001
    [8]
    H. Habibi, H. R. Nohooji, and I. Howard, “A neuro-adaptive maximum power tracking control of variable speed wind turbines with actuator faults,” in Proc. Australian and New Zealand Control Conf., Gold Coast, Australia, 2017, pp. 63–68.
    [9]
    H. Habibi, H. R. Nohooji, and I. Howard, “Constrained control of wind turbines for power regulation in full load operation,” in Proc. 11th Asian Control Conf., Australia, 2017, pp. 2813–2818.
    [10]
    M. S. Mahmoud and M. O. Oyedeji, “Adaptive and predictive control strategies for wind turbine systems: A survey,” IEEE/CAA J. Autom. Sinica, vol. 6, no. 2, pp. 364–378, 2019. doi: 10.1109/JAS.2019.1911375
    [11]
    U. Giger, P. Kühne, and H. Schulte, “Fault tolerant and optimal control of wind turbines with distributed high-speed generators,” Energies, vol. 10, no. 2, pp. 1–13, 2017.
    [12]
    F. Jaramillo-Lopez, G. Kenne, and F. Lamnabhi-Lagarrigue, “A novel online training neural network-based algorithm for wind speed estimation and adaptive control of PMSG wind turbine system for maximum power extraction,” Renew. Energy, vol. 86, pp. 38–48, 2016. doi: 10.1016/j.renene.2015.07.071
    [13]
    Y.-M. Kim, “Robust data driven H-infinity control for wind turbine,” J. Franklin Inst., vol. 353, no. 13, pp. 3104–3117, 2016. doi: 10.1016/j.jfranklin.2016.06.009
    [14]
    M. A. Soliman, H. M. Hasanien, H. Z. Azazi, E. E. El-Kholy, and S. A. Mahmoud, “An adaptive fuzzy logic control strategy for performance enhancement of a grid-connected PMSG-based wind turbine,” IEEE Trans. Industr. Inform., vol. 15, no. 6, pp. 3163–3173, 2018.
    [15]
    F. Shi and R. Patton, “An active fault tolerant control approach to an offshore wind turbine model,” Renew. Energy, vol. 75, pp. 788–798, 2015. doi: 10.1016/j.renene.2014.10.061
    [16]
    X. Liu, Z. Gao, and M. Z. Chen, “Takagi–Sugeno fuzzy model based fault estimation and signal compensation with application to wind turbines,” IEEE Trans. Ind. Electron., vol. 64, no. 7, pp. 5678–5689, 2017. doi: 10.1109/TIE.2017.2677327
    [17]
    F. D. Bianchi, H. De Battista, and R. J. Mantz, Wind Turbine Control Systems: Principles, Modelling and Gain Scheduling Design, London, UK: Springer Science and Business Media, 2006.
    [18]
    D. Song, J. Yang, Z. Cai, M. Dong, M. Su, and Y. Wang, “Wind estimation with a non-standard extended Kalman filter and its application on maximum power extraction for variable speed wind turbines,” Appl. Energy, vol. 190, pp. 670–685, 2017. doi: 10.1016/j.apenergy.2016.12.132
    [19]
    V. Nikolić, S. Motamedi, S. Shamshirband, D. Petković, S. Ch, and M. Arif, “Extreme learning machine approach for sensorless wind speed estimation,” Mechatronics, vol. 34, pp. 78–83, 2016. doi: 10.1016/j.mechatronics.2015.04.007
    [20]
    O. Barambones, “Robust wind speed estimation and control of variable speed wind turbines,” Asian J. Control, vol. 21, no. 2, pp. 856–867, 2019. doi: 10.1002/asjc.1779
    [21]
    Z. Gao, X. Liu, and M. Chen, “Unknown input observer-based robust fault estimation for systems corrupted by partially decoupled disturbances,” IEEE Trans. Ind. Electron., vol. 63, no. 4, pp. 2537–2547, 2015.
    [22]
    B. Marx, D. Ichalal, J. Ragot , D. Maquin, and S. Mammar, “Unknown input observer for LPV systems,” Automatica, vol. 100, pp. 67–74, 2019. doi: 10.1016/j.automatica.2018.10.054
    [23]
    Z. Li and J. Zhao, “Fuzzy adaptive robust control for stochastic switched nonlinear systems with full-state dependent nonlinearities,” IEEE Trans. Fuzzy Sys., vol. 28, no. 9, pp. 2035–2047, 2020. doi: 10.1109/TFUZZ.2019.2930034
    [24]
    Y. Zhang , T. Zeng, and G. Li, “Robust excitation force estimation and prediction for wave energy converter m4 based on adaptive slidingmode observer,” IEEE Trans. Industr. Inform., vol. 16, no. 2, pp. 1163–1171, 2020. doi: 10.1109/TII.2019.2941886
    [25]
    L. Chen, X. Huang, and M. Liu, “Fault-tolerant control against simultaneous partial actuator degradation and additive sensor fault,” in Proc. American Control Conf., 2017, pp. 4105–4110.
    [26]
    Y. Wang, Y. Xia, H. Li, and P. Zhou, “A new integral sliding mode design method for nonlinear stochastic systems,” Automatica, vol. 90, pp. 304–309, 2018. doi: 10.1016/j.automatica.2017.11.029
    [27]
    J. Lan and R. J. Patton, “A new strategy for integration of fault estimation within fault-tolerant control,” Automatica, vol. 69, pp. 48–59, 2016. doi: 10.1016/j.automatica.2016.02.014
    [28]
    A. F. De Loza, J. Cieslak, D. Henry, A. Zolghadri, and L. M. Fridman, “Output tracking of systems subjected to perturbations and a class of actuator faults based on HOSM observation and identification,” Automatica, vol. 59, pp. 200–205, 2015. doi: 10.1016/j.automatica.2015.06.020
    [29]
    S. Yin, H. Gao, J. Qiu, and O. Kaynak, “Descriptor reduced-order sliding mode observers design for switched systems with sensor and actuator faults,” Automatica, vol. 76, pp. 282–292, 2017. doi: 10.1016/j.automatica.2016.10.025
    [30]
    Z. Huang, R. J. Patton, and J. Lan, “Sliding mode state and fault estimation for decentralized systems,” in Variable-Structure Approaches, Springer, 2016, pp. 243–281.
    [31]
    W. H. Chen, J. Yang, L. Guo, and S. Li, “Disturbance-observer-based control and related methods an overview,” IEEE Trans. Indust. Elect., vol. 63, no. 2, pp. 1083–1095, 2016. doi: 10.1109/TIE.2015.2478397
    [32]
    P. Kühne, F. Pöschke, and H. Schulte, “Fault estimation and fault-tolerant control of the FAST NREL 5 MW reference wind turbine using a proportional multi-integral observer,” Int. J. Adapt. Contr. Signal Process., vol. 32, no. 4, pp. 568–585, 2018. doi: 10.1002/acs.2800
    [33]
    S. Zhang and Z. Q. Lang, “SCADA-data-based wind turbine fault detection: A dynamic model sensor method,” Control. Eng. Pract., vol. 102, Article No. 104546, 2020. doi: 10.1016/j.conengprac.2020.104546
    [34]
    P. F. Odgaard and J. Stoustrup, “A benchmark evaluation of fault tolerant wind turbine control concepts,” IEEE Trans. Cont. Syst. Tech., vol. 23, no. 3, pp. 1221–1228, 2015. doi: 10.1109/TCST.2014.2361291
    [35]
    P. F. Odgaard, J. Stoustrup, and M. Kinnaert, “Fault-tolerant control of wind turbines: A benchmark model,” IEEE Trans. Contr. Syst. Tech., vol. 21, no. 4, pp. 1168–1182, 2013. doi: 10.1109/TCST.2013.2259235
    [36]
    V. Pashazadeh, F. R. Salmasi, and B. N. Araabi, “Data driven sensor and actuator fault detection and isolation in wind turbine using classifier fusion,” Renew. Energy, vol. 116, pp. 99–106, 2018. doi: 10.1016/j.renene.2017.03.051
    [37]
    V. Joukov, J. Ćesić, K. Westermann, I. Marković, I. Petrović, and D. Kulić, “Estimation and observability analysis of human motion on Lie groups,” IEEE Trans. Cybernetics, vol. 50, no. 3, pp. 1321–1332, 2019.
    [38]
    M. Darouach and T. Fernando, “On the existence and design of functional observers,” IEEE Trans. Auto. Contr., vol. 65, no. 6, pp. 2751–2759, 2019.
    [39]
    J. Lan and R. J. Patton, “A decoupling approach to integrated faulttolerant control for linear systems with unmatched non-differentiable faults,” Automatica, vol. 89, pp. 290–299, 2018. doi: 10.1016/j.automatica.2017.12.011
    [40]
    H. Habibi, A. Y. Koma, and I. Howard, “Power improvement of nonlinear wind turbines during partial load operation using fuzzy inference control,” Control Eng. Appl. Inf., vol. 19, no. 2, pp. 31–42, 2017.
    [41]
    H. Habibi, I. Howard, and R. Habibi, “Bayesian fault probability estimation: Application in wind turbine drivetrain sensor fault detection,” Asian J. Control, vol. 22, no. 2, pp. 624–647, 2020. doi: 10.1002/asjc.1973

Catalog

    通讯作者: 陈斌, bchen63@163.com
    • 1. 

      沈阳化工大学材料科学与工程学院 沈阳 110142

    1. 本站搜索
    2. 百度学术搜索
    3. 万方数据库搜索
    4. CNKI搜索

    Figures(7)  / Tables(2)

    Article Metrics

    Article views (2106) PDF downloads(88) Cited by()

    Highlights

    • A simple design enabling the detection of simultaneous sensor and actuator faults,
    • Recovering the principle of separation and enabling the use of the nominal controller,
    • Easy to implement and computationally-inexpensive wind turbine control design.

    /

    DownLoad:  Full-Size Img  PowerPoint
    Return
    Return