A journal of IEEE and CAA , publishes high-quality papers in English on original theoretical/experimental research and development in all areas of automation

Vol. 10,  No. 1, 2023

Display Method:
EDITORIAL
Editorial: The Era of Quality and Metaverse
Qing-Long Han
2023, 10(1): 1-2. doi: 10.1109/JAS.2023.123003
Abstract(982) HTML (94) PDF(68)
Abstract:
PERSPECTIVE
Control Design for Transient Performance
Qing-Guo Wang
2023, 10(1): 3-7. doi: 10.1109/JAS.2023.123006
Abstract(811) HTML (117) PDF(112)
Abstract:
REVIEWS
MPC-based Motion Planning and Control Enables Smarter and Safer Autonomous Marine Vehicles: Perspectives and a Tutorial Survey
Henglai Wei, Yang Shi
2023, 10(1): 8-24. doi: 10.1109/JAS.2022.106016
Abstract(3248) HTML (458) PDF(414)
Abstract:
Autonomous marine vehicles (AMVs) have received considerable attention in the past few decades, mainly because they play essential roles in broad marine applications such as environmental monitoring and resource exploration. Recent advances in the field of communication technologies, perception capability, computational power and advanced optimization algorithms have stimulated new interest in the development of AMVs. In order to deploy the constrained AMVs in the complex dynamic maritime environment, it is crucial to enhance the guidance and control capabilities through effective and practical planning, and control algorithms. Model predictive control (MPC) has been exceptionally successful in different fields due to its ability to systematically handle constraints while optimizing control performance. This paper aims to provide a review of recent progress in the context of motion planning and control for AMVs from the perceptive of MPC. Finally, future research trends and directions in this substantial research area of AMVs are highlighted.
Detecting Vulnerability on IoT Device Firmware: A Survey
Xiaotao Feng, Xiaogang Zhu, Qing-Long Han, Wei Zhou, Sheng Wen, Yang Xiang
2023, 10(1): 25-41. doi: 10.1109/JAS.2022.105860
Abstract(4826) HTML (797) PDF(867)
Abstract:
Internet of things (IoT) devices make up 30% of all network-connected endpoints, introducing vulnerabilities and novel attacks that make many companies as primary targets for cybercriminals. To address this increasing threat surface, every organization deploying IoT devices needs to consider security risks to ensure those devices are secure and trusted. Among all the solutions for security risks, firmware security analysis is essential to fix software bugs, patch vulnerabilities, or add new security features to protect users of those vulnerable devices. However, firmware security analysis has never been an easy job due to the diversity of the execution environment and the close source of firmware. These two distinct features complicate the operations to unpack firmware samples for detailed analysis. They also make it difficult to create visual environments to emulate the running of device firmware. Although researchers have developed many novel methods to overcome various challenges in the past decade, critical barriers impede firmware security analysis in practice. Therefore, this survey is motivated to systematically review and analyze the research challenges and their solutions, considering both breadth and depth. Specifically, based on the analysis perspectives, various methods that perform security analysis on IoT devices are introduced and classified into four categories. The challenges in each category are discussed in detail, and potential solutions are proposed subsequently. We then discuss the flaws of these solutions and provide future directions for this research field. This survey can be utilized by a broad range of readers, including software developers, cyber security researchers, and software security engineers, to better understand firmware security analysis.
Toward Data-Driven Digital Therapeutics Analytics: Literature Review and Research Directions
Uichin Lee, Gyuwon Jung, Eun-Yeol Ma, Jin San Kim, Heepyung Kim, Jumabek Alikhanov, Youngtae Noh, Heeyoung Kim
2023, 10(1): 42-66. doi: 10.1109/JAS.2023.123015
Abstract(2868) HTML (262) PDF(154)
Abstract:
With the advent of digital therapeutics (DTx), the development of software as a medical device (SaMD) for mobile and wearable devices has gained significant attention in recent years. Existing DTx evaluations, such as randomized clinical trials, mostly focus on verifying the effectiveness of DTx products. To acquire a deeper understanding of DTx engagement and behavioral adherence, beyond efficacy, a large amount of contextual and interaction data from mobile and wearable devices during field deployment would be required for analysis. In this work, the overall flow of the data-driven DTx analytics is reviewed to help researchers and practitioners to explore DTx datasets, to investigate contextual patterns associated with DTx usage, and to establish the (causal) relationship between DTx engagement and behavioral adherence. This review of the key components of data-driven analytics provides novel research directions in the analysis of mobile sensor and interaction datasets, which helps to iteratively improve the receptivity of existing DTx.
PAPERS
Distributed Secure State Estimation of Multi-Agent Systems Under Homologous Sensor Attacks
Yukun Shi, Youqing Wang, Jianyong Tuo
2023, 10(1): 67-77. doi: 10.1109/JAS.2022.105920
Abstract(915) HTML (118) PDF(99)
Abstract:
This paper addresses the problem of distributed secure state estimation for multi-agent systems under homologous sensor attacks. Two types of secure Luenberger-like distributed observers are proposed to estimate the system state and attack signal simultaneously. Specifically, the proposed two observers are applicable to deal with the cases in the presence and absence of time delays during network communication. It is also shown that the proposed observers can ensure the attack estimations from different agents asymptotically converge to the same value. Sufficient conditions for guaranteeing the asymptotic convergence of the estimation errors are derived. Simulation examples are finally provided to demonstrate the effectiveness of the proposed results.
Contrastive Learning for Blind Super-Resolution via A Distortion-Specific Network
Xinya Wang, Jiayi Ma, Junjun Jiang
2023, 10(1): 78-89. doi: 10.1109/JAS.2022.105914
Abstract(2032) HTML (153) PDF(149)
Abstract:
Previous deep learning-based super-resolution (SR) methods rely on the assumption that the degradation process is predefined (e.g., bicubic downsampling). Thus, their performance would suffer from deterioration if the real degradation is not consistent with the assumption. To deal with real-world scenarios, existing blind SR methods are committed to estimating both the degradation and the super-resolved image with an extra loss or iterative scheme. However, degradation estimation that requires more computation would result in limited SR performance due to the accumulated estimation errors. In this paper, we propose a contrastive regularization built upon contrastive learning to exploit both the information of blurry images and clear images as negative and positive samples, respectively. Contrastive regularization ensures that the restored image is pulled closer to the clear image and pushed far away from the blurry image in the representation space. Furthermore, instead of estimating the degradation, we extract global statistical prior information to capture the character of the distortion. Considering the coupling between the degradation and the low-resolution image, we embed the global prior into the distortion-specific SR network to make our method adaptive to the changes of distortions. We term our distortion-specific network with contrastive regularization as CRDNet. The extensive experiments on synthetic and real-world scenes demonstrate that our lightweight CRDNet surpasses state-of-the-art blind super-resolution approaches.
Optimal Control of Nonlinear Systems Using Experience Inference Human-Behavior Learning
Adolfo Perrusquía, Weisi Guo
2023, 10(1): 90-102. doi: 10.1109/JAS.2023.123009
Abstract(1393) HTML (90) PDF(129)
Abstract:
Safety critical control is often trained in a simulated environment to mitigate risk. Subsequent migration of the biased controller requires further adjustments. In this paper, an experience inference human-behavior learning is proposed to solve the migration problem of optimal controllers applied to real-world nonlinear systems. The approach is inspired in the complementary properties that exhibits the hippocampus, the neocortex, and the striatum learning systems located in the brain. The hippocampus defines a physics informed reference model of the real-world nonlinear system for experience inference and the neocortex is the adaptive dynamic programming (ADP) or reinforcement learning (RL) algorithm that ensures optimal performance of the reference model. This optimal performance is inferred to the real-world nonlinear system by means of an adaptive neocortex/striatum control policy that forces the nonlinear system to behave as the reference model. Stability and convergence of the proposed approach is analyzed using Lyapunov stability theory. Simulation studies are carried out to verify the approach.
A Novel Adaptive Kalman Filter Based on Credibility Measure
Quanbo Ge, Xiaoming Hu, Yunyu Li, Hongli He, Zihao Song
2023, 10(1): 103-120. doi: 10.1109/JAS.2023.123012
Abstract(1190) HTML (145) PDF(107)
Abstract:
It is quite often that the theoretic model used in the Kalman filtering may not be sufficiently accurate for practical applications, due to the fact that the covariances of noises are not exactly known. Our previous work reveals that in such scenario the filter calculated mean square errors (FMSE) and the true mean square errors (TMSE) become inconsistent, while FMSE and TMSE are consistent in the Kalman filter with accurate models. This can lead to low credibility of state estimation regardless of using Kalman filters or adaptive Kalman filters. Obviously, it is important to study the inconsistency issue since it is vital to understand the quantitative influence induced by the inaccurate models. Aiming at this, the concept of credibility is adopted to discuss the inconsistency problem in this paper. In order to formulate the degree of the credibility, a trust factor is constructed based on the FMSE and the TMSE. However, the trust factor can not be directly computed since the TMSE cannot be found for practical applications. Based on the definition of trust factor, the estimation of the trust factor is successfully modified to online estimation of the TMSE. More importantly, a necessary and sufficient condition is found, which turns out to be the basis for better design of Kalman filters with high performance. Accordingly, beyond trust factor estimation with Sage-Husa technique (TFE-SHT), three novel trust factor estimation methods, which are directly numerical solving method (TFE-DNS), the particle swarm optimization method (PSO) and expectation maximization-particle swarm optimization method (EM-PSO) are proposed. The analysis and simulation results both show that the proposed TFE-DNS is better than the TFE-SHT for the case of single unknown noise covariance. Meanwhile, the proposed EM-PSO performs completely better than the EM and PSO on the estimation of the credibility degree and state when both noise covariances should be estimated online.
Remaining Useful Life Prediction With Partial Sensor Malfunctions Using Deep Adversarial Networks
Xiang Li, Yixiao Xu, Naipeng Li, Bin Yang, Yaguo Lei
2023, 10(1): 121-134. doi: 10.1109/JAS.2022.105935
Abstract(1705) HTML (201) PDF(143)
Abstract:
In recent years, intelligent data-driven prognostic methods have been successfully developed, and good machinery health assessment performance has been achieved through explorations of data from multiple sensors. However, existing data-fusion prognostic approaches generally rely on the data availability of all sensors, and are vulnerable to potential sensor malfunctions, which are likely to occur in real industries especially for machines in harsh operating environments. In this paper, a deep learning-based remaining useful life (RUL) prediction method is proposed to address the sensor malfunction problem. A global feature extraction scheme is adopted to fully exploit information of different sensors. Adversarial learning is further introduced to extract generalized sensor-invariant features. Through explorations of both global and shared features, promising and robust RUL prediction performance can be achieved by the proposed method in the testing scenarios with sensor malfunctions. The experimental results suggest the proposed approach is well suited for real industrial applications.
Multiple Elite Individual Guided Piecewise Search-Based Differential Evolution
Shubham Gupta, Shitu Singh, Rong Su, Shangce Gao, Jagdish Chand Bansal
2023, 10(1): 135-158. doi: 10.1109/JAS.2023.123018
Abstract(1140) HTML (367) PDF(67)
Abstract:
The differential evolution (DE) algorithm relies mainly on mutation strategy and control parameters’ selection. To take full advantage of top elite individuals in terms of fitness and success rates, a new mutation operator is proposed. The control parameters such as scale factor and crossover rate are tuned based on their success rates recorded over past evolutionary stages. The proposed DE variant, MIDE, performs the evolution in a piecewise manner, i.e., after every predefined evolutionary stages, MIDE adjusts its settings to enrich its diversity skills. The performance of the MIDE is validated on two different sets of benchmarks: CEC 2014 and CEC 2017 (special sessions & competitions on real-parameter single objective optimization) using different performance measures. In the end, MIDE is also applied to solve constrained engineering problems. The efficiency and effectiveness of the MIDE are further confirmed by a set of experiments.
Communication-Aware Formation Control of AUVs With Model Uncertainty and Fading Channel via Integral Reinforcement Learning
Wenqiang Cao, Jing Yan, Xian Yang, Xiaoyuan Luo, Xinping Guan
2023, 10(1): 159-176. doi: 10.1109/JAS.2023.123021
Abstract(1380) HTML (182) PDF(148)
Abstract:
Most formation approaches of autonomous underwater vehicles (AUVs) focus on the control techniques, ignoring the influence of underwater channel. This paper is concerned with a communication-aware formation issue for AUVs, subject to model uncertainty and fading channel. An integral reinforcement learning (IRL) based estimator is designed to calculate the probabilistic channel parameters, wherein the multivariate probabilistic collocation method with orthogonal fractional factorial design (M-PCM-OFFD) is employed to evaluate the uncertain channel measurements. With the estimated signal-to-noise ratio (SNR), we employ the IRL and M-PCM-OFFD to develop a saturated formation controller for AUVs, dealing with uncertain dynamics and current parameters. For the proposed formation approach, an integrated optimization solution is presented to make a balance between formation stability and communication efficiency. Main innovations lie in three aspects: 1) Construct an integrated communication and control optimization framework; 2) Design an IRL-based channel prediction estimator; 3) Develop an IRL-based formation controller with M-PCM-OFFD. Finally, simulation results show that the formation approach can avoid local optimum estimation, improve the channel efficiency, and relax the dependence of AUV model parameters.
A Hybrid Ensemble Deep Learning Approach for Early Prediction of Battery Remaining Useful Life
Qing Xu, Min Wu, Edwin Khoo, Zhenghua Chen, Xiaoli Li
2023, 10(1): 177-187. doi: 10.1109/JAS.2023.123024
Abstract(2491) HTML (198) PDF(260)
Abstract:
Accurate estimation of the remaining useful life (RUL) of lithium-ion batteries is critical for their large-scale deployment as energy storage devices in electric vehicles and stationary storage. A fundamental understanding of the factors affecting RUL is crucial for accelerating battery technology development. However, it is very challenging to predict RUL accurately because of complex degradation mechanisms occurring within the batteries, as well as dynamic operating conditions in practical applications. Moreover, due to insignificant capacity degradation in early stages, early prediction of battery life with early cycle data can be more difficult. In this paper, we propose a hybrid deep learning model for early prediction of battery RUL. The proposed method can effectively combine handcrafted features with domain knowledge and latent features learned by deep networks to boost the performance of RUL early prediction. We also design a non-linear correlation-based method to select effective domain knowledge-based features. Moreover, a novel snapshot ensemble learning strategy is proposed to further enhance model generalization ability without increasing any additional training cost. Our experimental results show that the proposed method not only outperforms other approaches in the primary test set having a similar distribution as the training set, but also generalizes well to the secondary test set having a clearly different distribution with the training set. The PyTorch implementation of our proposed approach is available at https://github.com/batteryrul/battery_rul_early_prediction.
Dynamic Evolutionary Game-based Modeling, Analysis and Performance Enhancement of Blockchain Channels
PeiYun Zhang, MengChu Zhou, ChenXi Li, Abdullah Abusorrah
2023, 10(1): 188-202. doi: 10.1109/JAS.2022.105911
Abstract(1275) HTML (102) PDF(76)
Abstract:
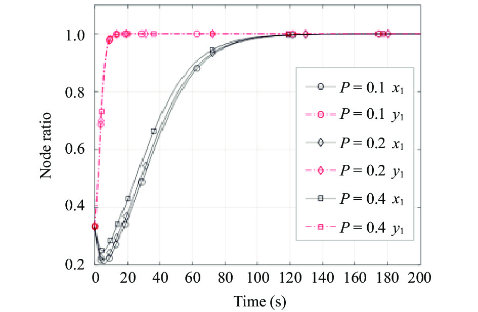
The recent development of channel technology has promised to reduce the transaction verification time in blockchain operations. When transactions are transmitted through the channels created by nodes, the nodes need to cooperate with each other. If one party refuses to do so, the channel is unstable. A stable channel is thus required. Because nodes may show uncooperative behavior, they may have a negative impact on the stability of such channels. In order to address this issue, this work proposes a dynamic evolutionary game model based on node behavior. This model considers various defense strategies’ cost and attack success ratio under them. Nodes can dynamically adjust their strategies according to the behavior of attackers to achieve their effective defense. The equilibrium stability of the proposed model can be achieved. The proposed model can be applied to general channel networks. It is compared with two state-of-the-art blockchain channels: Lightning network and Spirit channels. The experimental results show that the proposed model can be used to improve a channel’s stability and keep it in a good cooperative stable state. Thus its use enables a blockchain to enjoy higher transaction success ratio and lower transaction transmission delay than the use of its two peers.
Model Identification and Control of Electromagnetic Actuation in Continuous Casting Process With Improved Quality
Isabela Birs, Cristina Muresan, Dana Copot, Clara Ionescu
2023, 10(1): 203-215. doi: 10.1109/JAS.2023.123027
Abstract(1350) HTML (245) PDF(47)
Abstract:
This paper presents an original theoretical framework to model steel material properties in continuous casting line process. Specific properties arising from non-Newtonian dynamics are herein used to indicate the natural convergence of distributed parameter systems to fractional order transfer function models. Data driven identification from a real continuous casting line is used to identify model of the electromagnetic actuator device to control flow velocity of liquid steel. To ensure product specifications, a fractional order control is designed and validated on the system. A projection of the closed loop performance onto the quality assessment at end production line is also given in this paper.
Tracking Control of Multi-Agent Systems Using a Networked Predictive PID Tracking Scheme
Guo-Ping Liu
2023, 10(1): 216-225. doi: 10.1109/JAS.2023.123030
Abstract(1224) HTML (75) PDF(170)
Abstract:
With the rapid development of network technology and control technology, a networked multi-agent control system is a key direction of modern industrial control systems, such as industrial Internet systems. This paper studies the tracking control problem of networked multi-agent systems with communication constraints, where each agent has no information on the dynamics of other agents except their outputs. A networked predictive proportional integral derivative (PPID) tracking scheme is proposed to achieve the desired tracking performance, compensate actively for communication delays, and simplify implementation in a distributed manner. This scheme combines the past, present and predictive information of neighbour agents to form a tracking error signal for each agent, and applies the proportional, integral, and derivative of the agent tracking error signal to control each individual agent. The criteria of the stability and output tracking consensus of multi-agent systems with the networked PPID tracking scheme are derived through detailed analysis on the closed-loop systems. The effectiveness of the networked PPID tracking scheme is illustrated via an example.
STGSA: A Novel Spatial-Temporal Graph Synchronous Aggregation Model for Traffic Prediction
Zebing Wei, Hongxia Zhao, Zhishuai Li, Xiaojie Bu, Yuanyuan Chen, Xiqiao Zhang, Yisheng Lv, Fei-Yue Wang
2023, 10(1): 226-238. doi: 10.1109/JAS.2023.123033
Abstract(1984) HTML (401) PDF(213)
Abstract:
The success of intelligent transportation systems relies heavily on accurate traffic prediction, in which how to model the underlying spatial-temporal information from traffic data has come under the spotlight. Most existing frameworks typically utilize separate modules for spatial and temporal correlations modeling. However, this stepwise pattern may limit the effectiveness and efficiency in spatial-temporal feature extraction and cause the overlook of important information in some steps. Furthermore, it is lacking sufficient guidance from prior information while modeling based on a given spatial adjacency graph (e.g., deriving from the geodesic distance or approximate connectivity), and may not reflect the actual interaction between nodes. To overcome those limitations, our paper proposes a spatial-temporal graph synchronous aggregation (STGSA) model to extract the localized and long-term spatial-temporal dependencies simultaneously. Specifically, a tailored graph aggregation method in the vertex domain is designed to extract spatial and temporal features in one graph convolution process. In each STGSA block, we devise a directed temporal correlation graph to represent the localized and long-term dependencies between nodes, and the potential temporal dependence is further fine-tuned by an adaptive weighting operation. Meanwhile, we construct an elaborated spatial adjacency matrix to represent the road sensor graph by considering both physical distance and node similarity in a data-driven manner. Then, inspired by the multi-head attention mechanism which can jointly emphasize information from different representation subspaces, we construct a multi-stream module based on the STGSA blocks to capture global information. It projects the embedding input repeatedly with multiple different channels. Finally, the predicted values are generated by stacking several multi-stream modules. Extensive experiments are constructed on six real-world datasets, and numerical results show that the proposed STGSA model significantly outperforms the benchmarks.
Finite-Time Sideslip Differentiator-Based LOS Guidance for Robust Path Following of Snake Robots
Yang Xiu, Dongfang Li, Miaomiao Zhang, Hongbin Deng, Rob Law, Yun Huang, Edmond Q. Wu, Xin Xu
2023, 10(1): 239-253. doi: 10.1109/JAS.2022.106052
Abstract(1000) HTML (93) PDF(89)
Abstract:
This paper presents a finite-time sideslip differentiator-based line-of-sight (LOS) guidance method for robust path following of snake robots. Firstly, finite-time stable sideslip differentiator and adaptive LOS guidance method are proposed to counteract sideslip drift caused by cross-track velocity. The proposed differentiator can accurately observe the cross-track error and sideslip angle for snake robots to avoid errors caused by calculating sideslip angle approximately. In our method, the designed piecewise auxiliary function guarantees the finite-time stability of position errors. Secondly, for the case of external disturbances and state constraints, a Barrier Lyapunov function-based backstepping adaptive path following controller is presented to improve the robot’s robustness. The uniform ultimate boundedness of the closed-loop system is proved by analyzing stability. Additionally, a gait frequency adjustment-based virtual velocity control input is derived to achieve the exponential convergence of the tangential velocity. At last, the availability and superiority of this work are shown through simulation and experiment results.
On Dual-Mode Driving Control Method for a Novel Unmanned Tractor With High Safety and Reliability
Wei Lu, Jiacheng Li, Huanhuan Qin, Lei Shu, Aiguo Song
2023, 10(1): 254-271. doi: 10.1109/JAS.2023.123072
Abstract(1556) HTML (147) PDF(127)
Abstract:
Due to the non-standardization and complexity of the farmland environment, it is always a huge challenge for tractors to achieve fully autonomy (work at Self-driving mode) all the time in agricultural industry. Whereas, when tractors work in the Tele-driving (or Remote driving) mode, the operators are prone to fatigue because they need to concentrate for long periods of time. In response to these, a dual-mode control strategy was proposed to integrate the advantages of both approaches, i.e., by combing Self-driving at most of the time with Tele-driving under special (complex and hazardous) conditions through switching control method. First, the state switcher was proposed, which is used for smooth switching the driving modes according to different working states of a tractor. Then, the state switching control law and the corresponding subsystem tracking controllers were designed. Finally, the effectiveness and superiority of the dual-mode control method were evaluated via actual experimental testing of a tractor whose results show that the proposed control method can switch smoothly, stably, and efficiently between the two driving modes automatically. The average control accuracy has been improved by 20% and 15% respectively, compared to the conventional Tele-driving control and Self-driving control with low-precision navigation. In conclusion, the proposed dual-mode control method can not only satisfy the operation in the complex and changeable farmland environment, but also free drivers from high-intensity and fatiguing work. This provides a perfect application solution and theoretical support for the intelligentization of unmanned farm agricultural machinery with high safety and reliability.
LETTERS
Knowledge-Guided Data-Driven Model With Transfer Concept for Battery Calendar Ageing Trajectory Prediction
Kailong Liu, Qiao Peng, Remus Teodorescu, Aoife M. Foley
2023, 10(1): 272-274. doi: 10.1109/JAS.2023.123036
Abstract(769) HTML (88) PDF(38)
Abstract:
Impact Analysis of MTD on the Frequency Stability in Smart Grid
Zhenyong Zhang, Ruilong Deng
2023, 10(1): 275-277. doi: 10.1109/JAS.2023.123039
Abstract(1086) HTML (77) PDF(33)
Abstract:
Design and Robustness Analysis of a Wave-Based Controller for Tethered Towing of Defunct Satellites
Rui Qi, Yang Zhang, Krishna D. Kumar
2023, 10(1): 278-280. doi: 10.1109/JAS.2023.123042
Abstract(715) HTML (104) PDF(36)
Abstract:
Fixed-Time Neural Control of a Quadrotor UAV With Input and Attitude Constraints
Benke Gao, Yan-Jun Liu, Lei Liu
2023, 10(1): 281-283. doi: 10.1109/JAS.2023.123045
Abstract(684) HTML (72) PDF(107)
Abstract:
Sparse Tensor Prior for Hyperspectral, Multispectral, and Panchromatic Image Fusion
Xin Tian, Wei Zhang, Dian Yu, Jiayi Ma
2023, 10(1): 284-286. doi: 10.1109/JAS.2022.106013
Abstract(992) HTML (102) PDF(54)
Abstract:
Optimal Injection Attack for UCPS Under Vertical Depth-Keeping Task Via Game Approach
Sheng Gao, Hao Zhang, Zhuping Wang, Chao Huang, Huaicheng Yan
2023, 10(1): 287-289. doi: 10.1109/JAS.2023.123048
Abstract(587) HTML (68) PDF(30)
Abstract:
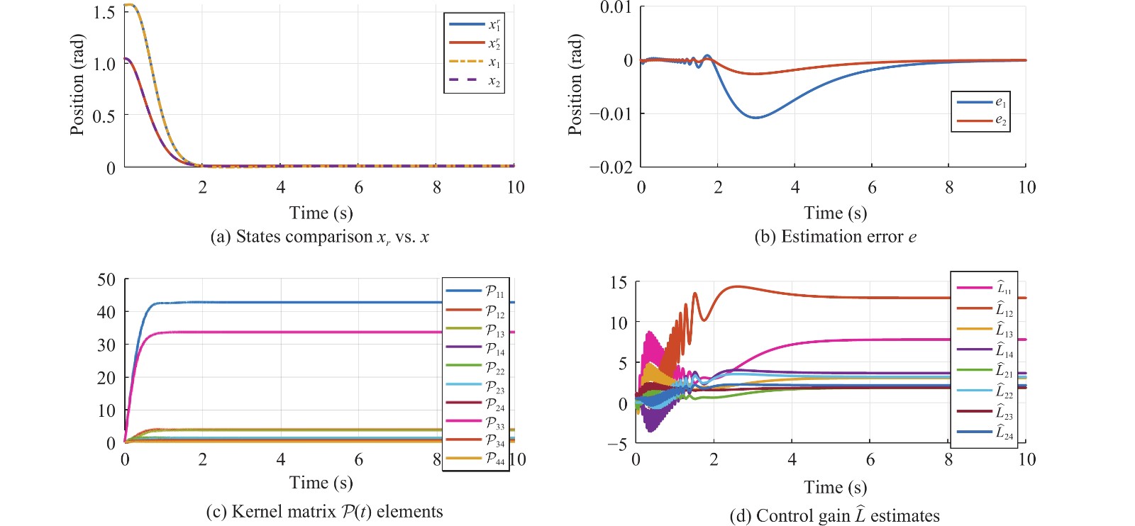
Data-Driven Learning Extended State Observers for Nonlinear Systems: Design, Analysis and Hardware-in-Loop Simulations
Zhouhua Peng, Mingao Lv, Lu Liu, Dan Wang
2023, 10(1): 290-293. doi: 10.1109/JAS.2023.123051
Abstract(837) HTML (91) PDF(93)
Abstract:
Data-Driven Fault Compensation Tracking Control for Coupled Wastewater Treatment Process
Peihao Du, Weimin Zhong, Xin Peng, Linlin Li, Zhi Li
2023, 10(1): 294-297. doi: 10.1109/JAS.2023.123054
Abstract(887) HTML (98) PDF(40)
Abstract:
Norm-Based Adaptive Coefficient ZNN for Solving the Time-Dependent Algebraic Riccati Equation
Chengze Jiang, Xiuchun Xiao
2023, 10(1): 298-300. doi: 10.1109/JAS.2023.123057
Abstract(738) HTML (77) PDF(45)
Abstract: