A journal of IEEE and CAA , publishes high-quality papers in English on original theoretical/experimental research and development in all areas of automation

Vol. 8,  No. 1, 2021

Display Method:
REVIEWS
Big Data Analytics in Healthcare — A Systematic Literature Review and Roadmap for Practical Implementation
Sohail Imran, Tariq Mahmood, Ahsan Morshed, Timos Sellis
2021, 8(1): 1-22. doi: 10.1109/JAS.2020.1003384
Abstract(9319) HTML (1011) PDF(976)
Abstract:
The advent of healthcare information management systems (HIMSs) continues to produce large volumes of healthcare data for patient care and compliance and regulatory requirements at a global scale. Analysis of this big data allows for boundless potential outcomes for discovering knowledge. Big data analytics (BDA) in healthcare can, for instance, help determine causes of diseases, generate effective diagnoses, enhance QoS guarantees by increasing efficiency of the healthcare delivery and effectiveness and viability of treatments, generate accurate predictions of readmissions, enhance clinical care, and pinpoint opportunities for cost savings. However, BDA implementations in any domain are generally complicated and resource-intensive with a high failure rate and no roadmap or success strategies to guide the practitioners. In this paper, we present a comprehensive roadmap to derive insights from BDA in the healthcare (patient care) domain, based on the results of a systematic literature review. We initially determine big data characteristics for healthcare and then review BDA applications to healthcare in academic research focusing particularly on NoSQL databases. We also identify the limitations and challenges of these applications and justify the potential of NoSQL databases to address these challenges and further enhance BDA healthcare research. We then propose and describe a state-of-the-art BDA architecture called Med-BDA for healthcare domain which solves all current BDA challenges and is based on the latest zeta big data paradigm. We also present success strategies to ensure the working of Med-BDA along with outlining the major benefits of BDA applications to healthcare. Finally, we compare our work with other related literature reviews across twelve hallmark features to justify the novelty and importance of our work. The aforementioned contributions of our work are collectively unique and clearly present a roadmap for clinical administrators, practitioners and professionals to successfully implement BDA initiatives in their organizations.
An Overview of Calibration Technology of Industrial Robots
Zhibin Li, Shuai Li, Xin Luo
2021, 8(1): 23-36. doi: 10.1109/JAS.2020.1003381
Abstract(10080) HTML (912) PDF(1796)
Abstract:
With the continuous improvement of automation, industrial robots have become an indispensable part of automated production lines. They are widely used in a number of industrial production activities, such as spraying, welding, handling, etc., and have a great role in these sectors. Recently, the robotic technology is developing towards high precision, high intelligence. Robot calibration technology has a great significance to improve the accuracy of robot. However, it has much work to be done in the identification of robot parameters. The parameter identification work of existing serial and parallel robots is introduced. On the one hand, it summarizes the methods for parameter calibration and discusses their advantages and disadvantages. On the other hand, the application of parameter identification is introduced. This overview has a great reference value for robot manufacturers to choose proper identification method, points further research areas for researchers. Finally, this paper analyzes the existing problems in robot calibration, which may be worth researching in the future.
PAPERS
An Eco-Route Planner for Heavy Duty Vehicles
Maria Pia Fanti, Agostino Marcello Mangini, Alfredo Favenza, Gianvito Difilippo
2021, 8(1): 37-51. doi: 10.1109/JAS.2020.1003456
Abstract(4888) HTML (757) PDF(102)
Abstract:
Driving style, traffic and weather conditions have a significant impact on vehicle fuel consumption and in particular, the road freight traffic significantly contributes to the CO2 increase in atmosphere. This paper proposes an Eco-Route Planner devoted to determine and communicate to the drivers of Heavy-Duty Vehicles (HDVs) the eco-route that guarantees the minimum fuel consumption by respecting the travel time established by the freight companies. The proposed eco-route is the optimal route from origin to destination and includes the optimized speed and gear profiles. To this aim, the Cloud Computing System architecture is composed of two main components: the Data Management System that collects, fuses and integrates the raw external sources data and the Cloud Optimizer that builds the route network, selects the eco-route and determines the optimal speed and gear profiles. Finally, a real case study is discussed by showing the benefit of the proposed Eco-Route planner.
Towards a Theoretical Framework of Autonomous Systems Underpinned by Intelligence and Systems Sciences
Yingxu Wang, Ming Hou, Konstantinos N. Plataniotis, Sam Kwong, Henry Leung, Edward Tunstel, Imre J. Rudas, Ljiljana Trajkovic
2021, 8(1): 52-63. doi: 10.1109/JAS.2020.1003432
Abstract(3520) HTML (714) PDF(119)
Abstract:
Autonomous systems are an emerging AI technology functioning without human intervention underpinned by the latest advances in intelligence, cognition, computer, and systems sciences. This paper explores the intelligent and mathematical foundations of autonomous systems. It focuses on structural and behavioral properties that constitute the intelligent power of autonomous systems. It explains how system intelligence aggregates from reflexive, imperative, adaptive intelligence to autonomous and cognitive intelligence. A hierarchical intelligence model (HIM) is introduced to elaborate the evolution of human and system intelligence as an inductive process. The properties of system autonomy are formally analyzed towards a wide range of applications in computational intelligence and systems engineering. Emerging paradigms of autonomous systems including brain-inspired systems, cognitive robots, and autonomous knowledge learning systems are described. Advances in autonomous systems will pave a way towards highly intelligent machines for augmenting human capabilities.
A Novel Automatic Classification System Based on Hybrid Unsupervised and Supervised Machine Learning for Electrospun Nanofibers
Cosimo Ieracitano, Annunziata Paviglianiti, Maurizio Campolo, Amir Hussain, Eros Pasero, Francesco Carlo Morabito
2021, 8(1): 64-76. doi: 10.1109/JAS.2020.1003387
Abstract(2815) HTML (802) PDF(141)
Abstract:
The manufacturing of nanomaterials by the electrospinning process requires accurate and meticulous inspection of related scanning electron microscope (SEM) images of the electrospun nanofiber, to ensure that no structural defects are produced. The presence of anomalies prevents practical application of the electrospun nanofibrous material in nanotechnology. Hence, the automatic monitoring and quality control of nanomaterials is a relevant challenge in the context of Industry 4.0. In this paper, a novel automatic classification system for homogenous (anomaly-free) and non-homogenous (with defects) nanofibers is proposed. The inspection procedure aims at avoiding direct processing of the redundant full SEM image. Specifically, the image to be analyzed is first partitioned into sub-images (nanopatches) that are then used as input to a hybrid unsupervised and supervised machine learning system. In the first step, an autoencoder (AE) is trained with unsupervised learning to generate a code representing the input image with a vector of relevant features. Next, a multilayer perceptron (MLP), trained with supervised learning, uses the extracted features to classify non-homogenous nanofiber (NH-NF) and homogenous nanofiber (H-NF) patches. The resulting novel AE-MLP system is shown to outperform other standard machine learning models and other recent state-of-the-art techniques, reporting accuracy rate up to 92.5%. In addition, the proposed approach leads to model complexity reduction with respect to other deep learning strategies such as convolutional neural networks (CNN). The encouraging performance achieved in this benchmark study can stimulate the application of the proposed scheme in other challenging industrial manufacturing tasks.
Novel Stability Criteria for Linear Time-Delay Systems Using Lyapunov-Krasovskii Functionals With A Cubic Polynomial on Time-Varying Delay
Xian-Ming Zhang, Qing-Long Han, Xiaohua Ge
2021, 8(1): 77-85. doi: 10.1109/JAS.2020.1003111
Abstract(3713) HTML (726) PDF(178)
Abstract:

One of challenging issues on stability analysis of time-delay systems is how to obtain a stability criterion from a matrix-valued polynomial on a time-varying delay. The first contribution of this paper is to establish a necessary and sufficient condition on a matrix-valued polynomial inequality over a certain closed interval. The degree of such a matrix-valued polynomial can be an arbitrary finite positive integer. The second contribution of this paper is to introduce a novel Lyapunov-Krasovskii functional, which includes a cubic polynomial on a time-varying delay, in stability analysis of time-delay systems. Based on the novel Lyapunov-Krasovskii functional and the necessary and sufficient condition on matrix-valued polynomial inequalities, two stability criteria are derived for two cases of the time-varying delay. A well-studied numerical example is given to show that the proposed stability criteria are of less conservativeness than some existing ones.

Adaptive Control of a Two-Link Robot Using Batch Least-Square Identifier
Mostafa Bagheri, Iasson Karafyllis, Peiman Naseradinmousavi, Miroslav Krstić
2021, 8(1): 86-93. doi: 10.1109/JAS.2020.1003459
Abstract(10307) HTML (817) PDF(169)
Abstract:
We design a regulation-triggered adaptive controller for robot manipulators to efficiently estimate unknown parameters and to achieve asymptotic stability in the presence of coupled uncertainties. Robot manipulators are widely used in telemanipulation systems where they are subject to model and environmental uncertainties. Using conventional control algorithms on such systems can cause not only poor control performance, but also expensive computational costs and catastrophic instabilities. Therefore, system uncertainties need to be estimated through designing a computationally efficient adaptive control law. We focus on robot manipulators as an example of a highly nonlinear system. As a case study, a 2-DOF manipulator subject to four parametric uncertainties is investigated. First, the dynamic equations of the manipulator are derived, and the corresponding regressor matrix is constructed for the unknown parameters. For a general nonlinear system, a theorem is presented to guarantee the asymptotic stability of the system and the convergence of parameters’ estimations. Finally, simulation results are discussed for a two-link manipulator, and the performance of the proposed scheme is thoroughly evaluated.
A Multi-Layered Gravitational Search Algorithm for Function Optimization and Real-World Problems
Yirui Wang, Shangce Gao, Mengchu Zhou, Yang Yu
2021, 8(1): 94-109. doi: 10.1109/JAS.2020.1003462
Abstract(2376) HTML (803) PDF(127)
Abstract:
A gravitational search algorithm (GSA) uses gravitational force among individuals to evolve population. Though GSA is an effective population-based algorithm, it exhibits low search performance and premature convergence. To ameliorate these issues, this work proposes a multi-layered GSA called MLGSA. Inspired by the two-layered structure of GSA, four layers consisting of population, iteration-best, personal-best and global-best layers are constructed. Hierarchical interactions among four layers are dynamically implemented in different search stages to greatly improve both exploration and exploitation abilities of population. Performance comparison between MLGSA and nine existing GSA variants on twenty-nine CEC2017 test functions with low, medium and high dimensions demonstrates that MLGSA is the most competitive one. It is also compared with four particle swarm optimization variants to verify its excellent performance. Moreover, the analysis of hierarchical interactions is discussed to illustrate the influence of a complete hierarchy on its performance. The relationship between its population diversity and fitness diversity is analyzed to clarify its search performance. Its computational complexity is given to show its efficiency. Finally, it is applied to twenty-two CEC2011 real-world optimization problems to show its practicality.
Dynamic Hand Gesture Recognition Based on Short-Term Sampling Neural Networks
Wenjin Zhang, Jiacun Wang, Fangping Lan
2021, 8(1): 110-120. doi: 10.1109/JAS.2020.1003465
Abstract(3714) HTML (754) PDF(314)
Abstract:
Hand gestures are a natural way for human-robot interaction. Vision based dynamic hand gesture recognition has become a hot research topic due to its various applications. This paper presents a novel deep learning network for hand gesture recognition. The network integrates several well-proved modules together to learn both short-term and long-term features from video inputs and meanwhile avoid intensive computation. To learn short-term features, each video input is segmented into a fixed number of frame groups. A frame is randomly selected from each group and represented as an RGB image as well as an optical flow snapshot. These two entities are fused and fed into a convolutional neural network (ConvNet) for feature extraction. The ConvNets for all groups share parameters. To learn long-term features, outputs from all ConvNets are fed into a long short-term memory (LSTM) network, by which a final classification result is predicted. The new model has been tested with two popular hand gesture datasets, namely the Jester dataset and Nvidia dataset. Comparing with other models, our model produced very competitive results. The robustness of the new model has also been proved with an augmented dataset with enhanced diversity of hand gestures.
Dust Distribution Study at the Blast Furnace Top Based on k--up Model
Zhipeng Chen, Zhaohui Jiang, Chunjie Yang, Weihua Gui, Youxian Sun
2021, 8(1): 121-135. doi: 10.1109/JAS.2020.1003468
Abstract(1833) HTML (617) PDF(33)
Abstract:
The dust distribution law acting at the top of a blast furnace (BF) is of great significance for understanding gas flow distribution and mitigating the negative influence of dust particles on the accuracy and service life of detection equipment. The harsh environment inside a BF makes it difficult to describe the dust distribution. This paper addresses this problem by proposing a dust distribution $k\text{-} S\!\varepsilon \text{-} {u_p}$ model based on interphase (gas-powder) coupling. The proposed model is coupled with a $k\text{-} S\!\varepsilon$ model (which describes gas flow movement) and a $ {u_p} $ model (which depicts dust movement). First, the kinetic energy equation and turbulent dissipation rate equation in the $k\text{-} S\!\varepsilon$ model are established based on the modeling theory and single-Green-function two-scale direct interaction approximation (SGF-TSDIA) theory. Second, a dust particle movement $ {u_p} $ model is built based on a force analysis of the dust and Newton’s laws of motion. Finally, a coupling factor that describes the interphase interaction is proposed, and the $k\text{-} S\!\varepsilon \text{-} {u_p} $ model, with clear physical meaning, rigorous mathematical logic, and adequate generality, is developed. Simulation results and on-site verification show that the $k\text{-} S\!\varepsilon \text{-} {u_p} $ model not only has high precision, but also reveals the aggregate distribution features of the dust, which are helpful in optimizing the installation position of the detection equipment and improving its accuracy and service life.
On Performance Gauge of Average Multi-Cue Multi-Choice Decision Making: A Converse Lyapunov Approach
Mehdi Firouznia, Qing Hui
2021, 8(1): 136-147. doi: 10.1109/JAS.2020.1003471
Abstract(1549) HTML (671) PDF(27)
Abstract:
Motivated by the converse Lyapunov technique for investigating converse results of semistable switched systems in control theory, this paper utilizes a constructive induction method to identify a cost function for performance gauge of an average, multi-cue multi-choice (MCMC), cognitive decision making model over a switching time interval. It shows that such a constructive cost function can be evaluated through an abstract energy called Lyapunov function at initial conditions. Hence, the performance gauge problem for the average MCMC model becomes the issue of finding such a Lyapunov function, leading to a possible way for designing corresponding computational algorithms via iterative methods such as adaptive dynamic programming. In order to reach this goal, a series of technical results are presented for the construction of such a Lyapunov function and its mathematical properties are discussed in details. Finally, a major result of guaranteeing the existence of such a Lyapunov function is rigorously proved.
Modeling and Trajectory Tracking Control for Flapping-Wing Micro Aerial Vehicles
Wei He, Xinxing Mu, Liang Zhang, Yao Zou
2021, 8(1): 148-156. doi: 10.1109/JAS.2020.1003417
Abstract(2448) HTML (648) PDF(186)
Abstract:
This paper studies the trajectory tracking problem of flapping-wing micro aerial vehicles (FWMAVs) in the longitudinal plane. First of all, the kinematics and dynamics of the FWMAV are established, wherein the aerodynamic force and torque generated by flapping wings and the tail wing are explicitly formulated with respect to the flapping frequency of the wings and the degree of tail wing inclination. To achieve autonomous tracking, an adaptive control scheme is proposed under the hierarchical framework. Specifically, a bounded position controller with hyperbolic tangent functions is designed to produce the desired aerodynamic force, and a pitch command is extracted from the designed position controller. Next, an adaptive attitude controller is designed to track the extracted pitch command, where a radial basis function neural network is introduced to approximate the unknown aerodynamic perturbation torque. Finally, the flapping frequency of the wings and the degree of tail wing inclination are calculated from the designed position and attitude controllers, respectively. In terms of Lyapunov’s direct method, it is shown that the tracking errors are bounded and ultimately converge to a small neighborhood around the origin. Simulations are carried out to verify the effectiveness of the proposed control scheme.
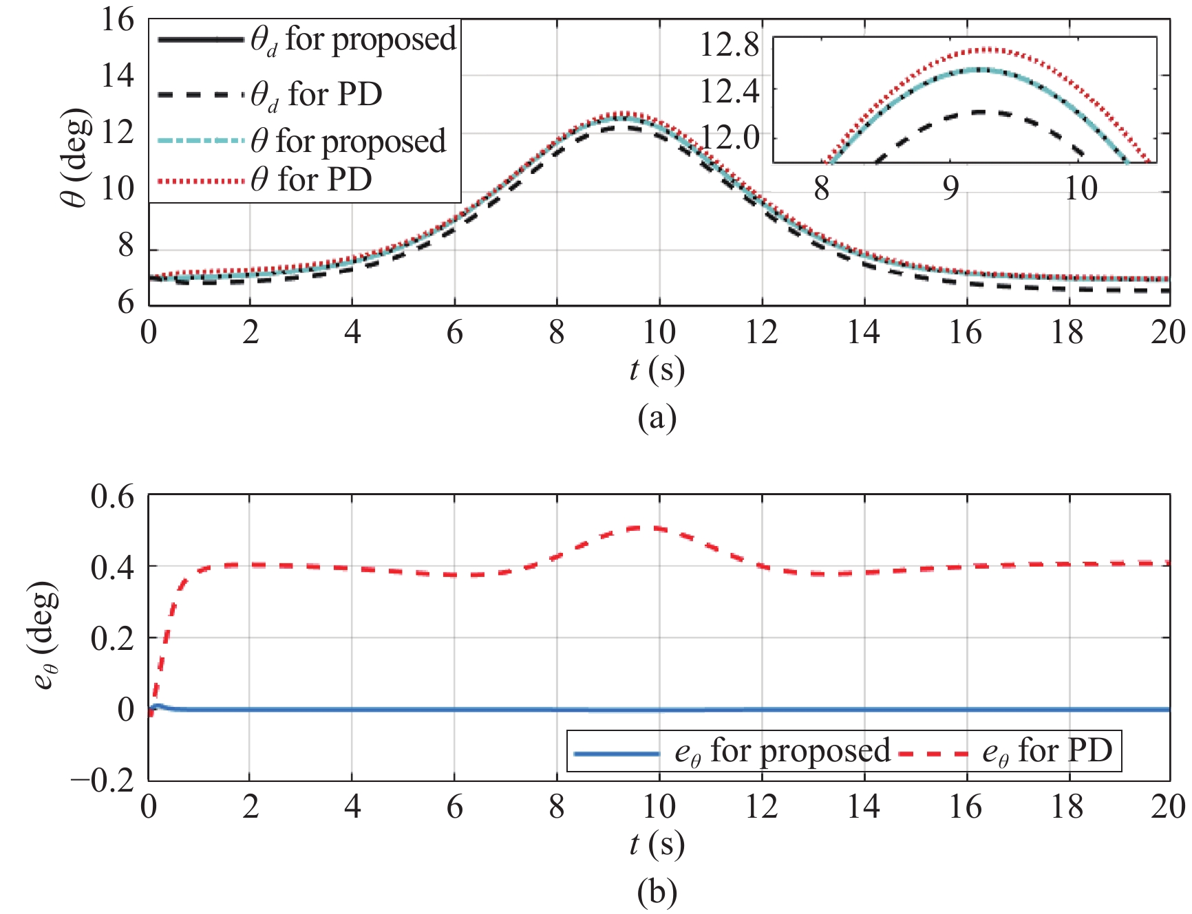
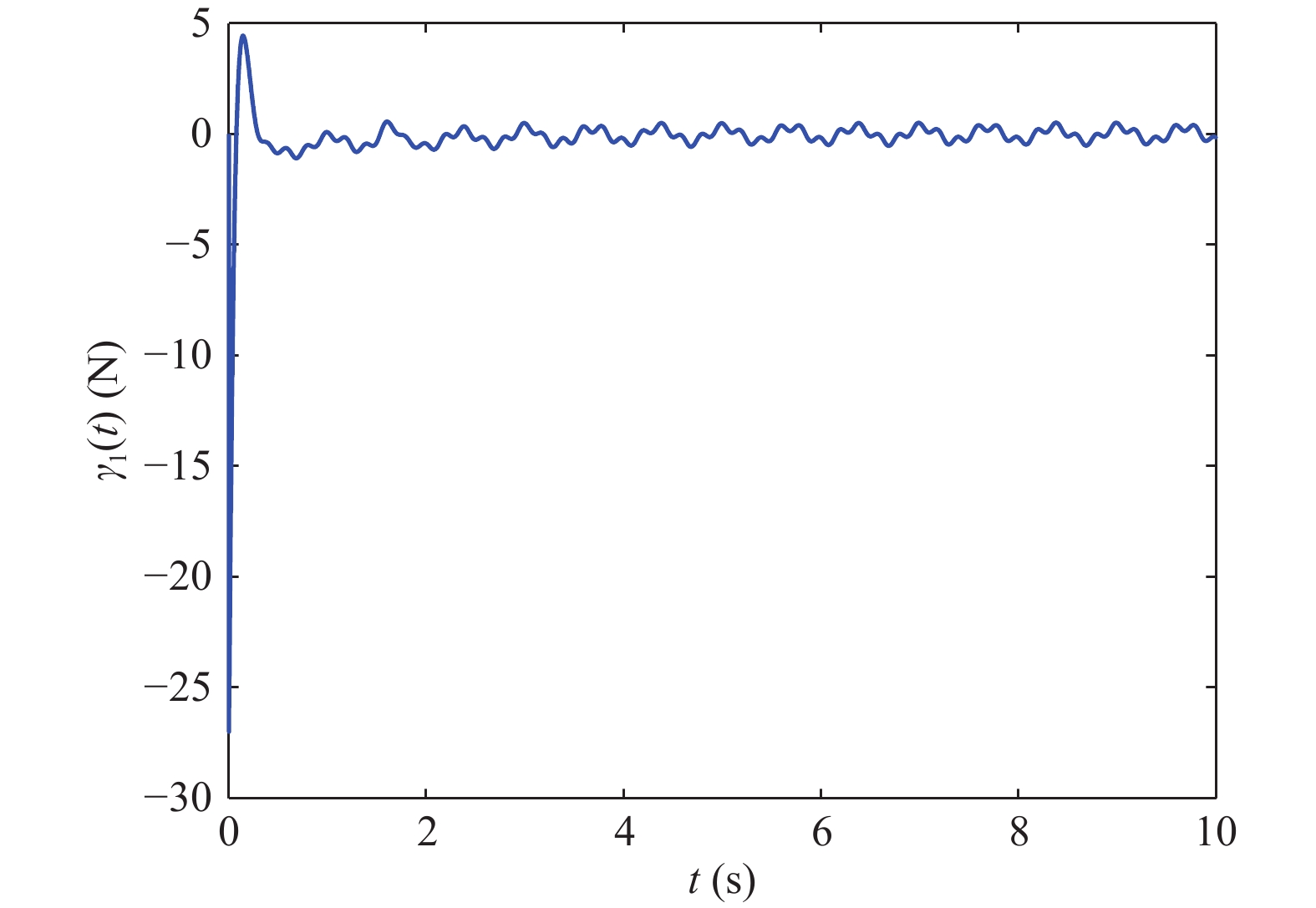
Finite-Time Convergence Disturbance Rejection Control for a Flexible Timoshenko Manipulator
Zhijia Zhao, Zhijie Liu
2021, 8(1): 157-168. doi: 10.1109/JAS.2020.1003378
Abstract(2271) HTML (652) PDF(126)
Abstract:
This paper focuses on a new finite-time convergence disturbance rejection control scheme design for a flexible Timoshenko manipulator subject to extraneous disturbances. To suppress the shear deformation and elastic oscillation, position the manipulator in a desired angle, and ensure the finitetime convergence of disturbances, we develop three disturbance observers (DOs) and boundary controllers. Under the derived DOs-based control schemes, the controlled system is guaranteed to be uniformly bounded stable and disturbance estimation errors converge to zero in a finite time. In the end, numerical simulations are established by finite difference methods to demonstrate the effectiveness of the devised scheme by selecting appropriate parameters.
A Sensorless State Estimation for A Safety-Oriented Cyber-Physical System in Urban Driving: Deep Learning Approach
Mohammad Al-Sharman, David Murdoch, Dongpu Cao, Chen Lv, Yahya Zweiri, Derek Rayside, William Melek
2021, 8(1): 169-178. doi: 10.1109/JAS.2020.1003474
Abstract(3301) HTML (740) PDF(166)
Abstract:
In today’s modern electric vehicles, enhancing the safety-critical cyber-physical system (CPS)’s performance is necessary for the safe maneuverability of the vehicle. As a typical CPS, the braking system is crucial for the vehicle design and safe control. However, precise state estimation of the brake pressure is desired to perform safe driving with a high degree of autonomy. In this paper, a sensorless state estimation technique of the vehicle’s brake pressure is developed using a deep-learning approach. A deep neural network (DNN) is structured and trained using deep-learning training techniques, such as, dropout and rectified units. These techniques are utilized to obtain more accurate model for brake pressure state estimation applications. The proposed model is trained using real experimental training data which were collected via conducting real vehicle testing. The vehicle was attached to a chassis dynamometer while the brake pressure data were collected under random driving cycles. Based on these experimental data, the DNN is trained and the performance of the proposed state estimation approach is validated accordingly. The results demonstrate high-accuracy brake pressure state estimation with RMSE of 0.048 MPa.
Parametric Transformation of Timed Weighted Marked Graphs: Applications in Optimal Resource Allocation
Zhou He, Ziyue Ma, Zhiwu Li, Alessandro Giua
2021, 8(1): 179-188. doi: 10.1109/JAS.2020.1003477
Abstract(1714) HTML (669) PDF(61)
Abstract:
Timed weighted marked graphs are a subclass of timed Petri nets that have wide applications in the control and performance analysis of flexible manufacturing systems. Due to the existence of multiplicities (i.e., weights) on edges, the performance analysis and resource optimization of such graphs represent a challenging problem. In this paper, we develop an approach to transform a timed weighted marked graph whose initial marking is not given, into an equivalent parametric timed marked graph where the edges have unitary weights. In order to explore an optimal resource allocation policy for a system, an analytical method is developed for the resource optimization of timed weighted marked graphs by studying an equivalent net. Finally, we apply the proposed method to a flexible manufacturing system and compare the results with a previous heuristic approach. Simulation analysis shows that the developed approach is superior to the heuristic approach.
Theoretical and Experimental Investigation of Driver Noncooperative-Game Steering Control Behavior
Xiaoxiang Na, David Cole
2021, 8(1): 189-205. doi: 10.1109/JAS.2020.1003480
Abstract(1616) HTML (611) PDF(52)
Abstract:
This paper investigates two noncooperative-game strategies which may be used to represent a human driver’s steering control behavior in response to vehicle automated steering intervention. The first strategy, namely the Nash strategy is derived based on the assumption that a Nash equilibrium is reached in a noncooperative game of vehicle path-following control involving a driver and a vehicle automated steering controller. The second one, namely the Stackelberg strategy is derived based on the assumption that a Stackelberg equilibrium is reached in a similar context. A simulation study is performed to study the differences between the two proposed noncooperative- game strategies. An experiment using a fixed-base driving simulator is carried out to measure six test drivers’ steering behavior in response to vehicle automated steering intervention. The Nash strategy is then fitted to measured driver steering wheel angles following a model identification procedure. Control weight parameters involved in the Nash strategy are identified. It is found that the proposed Nash strategy with the identified control weights is capable of representing the trend of measured driver steering behavior and vehicle lateral responses. It is also found that the proposed Nash strategy is superior to the classic driver steering control strategy which has widely been used for modeling driver steering control over the past. A discussion on improving automated steering control using the gained knowledge of driver noncooperative-game steering control behavior was made.
NeuroBiometric: An Eye Blink Based Biometric Authentication System Using an Event-Based Neuromorphic Vision Sensor
Guang Chen, Fa Wang, Xiaoding Yuan, Zhijun Li, Zichen Liang, Alois Knoll
2021, 8(1): 206-218. doi: 10.1109/JAS.2020.1003483
Abstract(2632) HTML (685) PDF(114)
Abstract:
The rise of the Internet and identity authentication systems has brought convenience to people’s lives but has also introduced the potential risk of privacy leaks. Existing biometric authentication systems based on explicit and static features bear the risk of being attacked by mimicked data. This work proposes a highly efficient biometric authentication system based on transient eye blink signals that are precisely captured by a neuromorphic vision sensor with microsecond-level temporal resolution. The neuromorphic vision sensor only transmits the local pixel-level changes induced by the eye blinks when they occur, which leads to advantageous characteristics such as an ultra-low latency response. We first propose a set of effective biometric features describing the motion, speed, energy and frequency signal of eye blinks based on the microsecond temporal resolution of event densities. We then train the ensemble model and non-ensemble model with our NeuroBiometric dataset for biometrics authentication. The experiments show that our system is able to identify and verify the subjects with the ensemble model at an accuracy of 0.948 and with the non-ensemble model at an accuracy of 0.925. The low false positive rates (about 0.002) and the highly dynamic features are not only hard to reproduce but also avoid recording visible characteristics of a user’s appearance. The proposed system sheds light on a new path towards safer authentication using neuromorphic vision sensors.
Computation of an Emptiable Minimal Siphon in a Subclass of Petri Nets Using Mixed-Integer Programming
Shouguang Wang, Wenli Duo, Xin Guo, Xiaoning Jiang, Dan You, Kamel Barkaoui, MengChu Zhou
2021, 8(1): 219-226. doi: 10.1109/JAS.2020.1003210
Abstract(1605) HTML (645) PDF(76)
Abstract:
Deadlock resolution strategies based on siphon control are widely investigated. Their computational efficiency largely depends on siphon computation. Mixed-integer programming (MIP) can be utilized for the computation of an emptiable siphon in a Petri net (PN). Based on it, deadlock resolution strategies can be designed without requiring complete siphon enumeration that has exponential complexity. Due to this reason, various MIP methods are proposed for various subclasses of PNs. This work proposes an innovative MIP method to compute an emptiable minimal siphon (EMS) for a subclass of PNs named S4PR. In particular, many particular structural characteristics of EMS in S4PR are formalized as constraints, which greatly reduces the solution space. Experimental results show that the proposed MIP method has higher computational efficiency. Furthermore, the proposed method allows one to determine the liveness of an ordinary S4PR.
Data-Based Optimal Tracking of Autonomous Nonlinear Switching Systems
Xiaofeng Li, Lu Dong, Changyin Sun
2021, 8(1): 227-238. doi: 10.1109/JAS.2020.1003486
Abstract(1779) HTML (579) PDF(99)
Abstract:
In this paper, a data-based scheme is proposed to solve the optimal tracking problem of autonomous nonlinear switching systems. The system state is forced to track the reference signal by minimizing the performance function. First, the problem is transformed to solve the corresponding Bellman optimality equation in terms of the Q-function (also named as action value function). Then, an iterative algorithm based on adaptive dynamic programming (ADP) is developed to find the optimal solution which is totally based on sampled data. The linear-in-parameter (LIP) neural network is taken as the value function approximator. Considering the presence of approximation error at each iteration step, the generated approximated value function sequence is proved to be boundedness around the exact optimal solution under some verifiable assumptions. Moreover, the effect that the learning process will be terminated after a finite number of iterations is investigated in this paper. A sufficient condition for asymptotically stability of the tracking error is derived. Finally, the effectiveness of the algorithm is demonstrated with three simulation examples.
Automatic Detection of COVID-19 Infection Using Chest X-Ray Images Through Transfer Learning
Elene Firmeza Ohata, Gabriel Maia Bezerra, João Victor Souza das Chagas, Aloísio Vieira Lira Neto, Adriano Bessa Albuquerque, Victor Hugo C. de Albuquerque, Pedro Pedrosa Rebouças Filho
2021, 8(1): 239-248. doi: 10.1109/JAS.2020.1003393
Abstract(2802) HTML (770) PDF(157)
Abstract:
The new coronavirus (COVID-19), declared by the World Health Organization as a pandemic, has infected more than 1 million people and killed more than 50 thousand. An infection caused by COVID-19 can develop into pneumonia, which can be detected by a chest X-ray exam and should be treated appropriately. In this work, we propose an automatic detection method for COVID-19 infection based on chest X-ray images. The datasets constructed for this study are composed of 194 X-ray images of patients diagnosed with coronavirus and 194 X-ray images of healthy patients. Since few images of patients with COVID-19 are publicly available, we apply the concept of transfer learning for this task. We use different architectures of convolutional neural networks (CNNs) trained on ImageNet, and adapt them to behave as feature extractors for the X-ray images. Then, the CNNs are combined with consolidated machine learning methods, such as k-Nearest Neighbor, Bayes, Random Forest, multilayer perceptron (MLP), and support vector machine (SVM). The results show that, for one of the datasets, the extractor-classifier pair with the best performance is the MobileNet architecture with the SVM classifier using a linear kernel, which achieves an accuracy and an F1-score of 98.5%. For the other dataset, the best pair is DenseNet201 with MLP, achieving an accuracy and an F1-score of 95.6%. Thus, the proposed approach demonstrates efficiency in detecting COVID-19 in X-ray images.