A journal of IEEE and CAA , publishes high-quality papers in English on original theoretical/experimental research and development in all areas of automation
Volume 8 Issue 1
Jan.  2021

IEEE/CAA Journal of Automatica Sinica

  • JCR Impact Factor: 19.2, Top 1 (SCI Q1)
    CiteScore: 28.2, Top 1% (Q1)
    Google Scholar h5-index: 95, TOP 5
Turn off MathJax
Article Contents
Zhijia Zhao and Zhijie Liu, "Finite-Time Convergence Disturbance Rejection Control for a Flexible Timoshenko Manipulator," IEEE/CAA J. Autom. Sinica, vol. 8, no. 1, pp. 157-168, Jan. 2021. doi: 10.1109/JAS.2020.1003378
Citation: Zhijia Zhao and Zhijie Liu, "Finite-Time Convergence Disturbance Rejection Control for a Flexible Timoshenko Manipulator," IEEE/CAA J. Autom. Sinica, vol. 8, no. 1, pp. 157-168, Jan. 2021. doi: 10.1109/JAS.2020.1003378

Finite-Time Convergence Disturbance Rejection Control for a Flexible Timoshenko Manipulator

doi: 10.1109/JAS.2020.1003378
Funds:  This work was supported in part by National Natural Science Foundation of China (61803109), in part by the Innovative School Project of Education Department of Guangdong (2017KQNCX153), in part by the Science and Technology Planning Project of Guangzhou City (201904010494), in part by the Scientific Research Projects of Guangzhou Education Bureau (202032793), in part by the China Postdoctoral Science Foundation (2019M660463), and in part by the Interdisciplinary Research Project for Young Teachers of University of Science and Technology Beijing (FRF-IDRY-19-024)
More Information
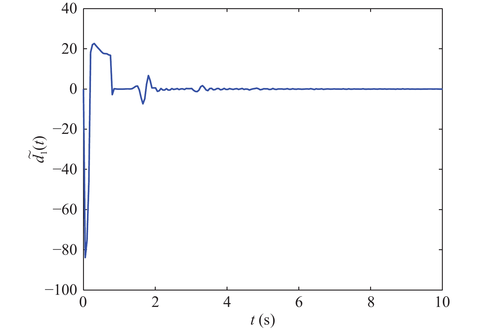
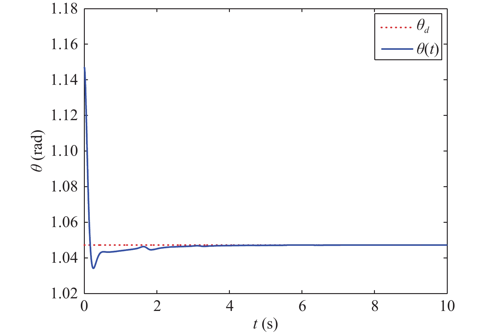
  • This paper focuses on a new finite-time convergence disturbance rejection control scheme design for a flexible Timoshenko manipulator subject to extraneous disturbances. To suppress the shear deformation and elastic oscillation, position the manipulator in a desired angle, and ensure the finitetime convergence of disturbances, we develop three disturbance observers (DOs) and boundary controllers. Under the derived DOs-based control schemes, the controlled system is guaranteed to be uniformly bounded stable and disturbance estimation errors converge to zero in a finite time. In the end, numerical simulations are established by finite difference methods to demonstrate the effectiveness of the devised scheme by selecting appropriate parameters.

     

  • loading
  • [1]
    W. He, Z. J. Li, and C. L. P. Chen, “A survey of human-centered intelligent robots: issues and challenges,” IEEE/CAA Jouirnal of Automatica Sinica, vol. 4, no. 4, pp. 602–609, 2017. doi: 10.1109/JAS.2017.7510604
    [2]
    C. X. Liu, G. L. Wen, Z. J. Zhao, and R. Sedaghati, “Neural networkbased sliding mode control of an uncertain robot using dynamic model approximated switching gain,” IEEE Trans. Cybernetics, to be published, DOI: 10.1109/TCYB.2020.2978003,2020.
    [3]
    W. He and S. Zhang, “Control design for nonlinear flexible wings of a robotic aircraft,” IEEE Trans. Control Systems Technology, vol. 25, no. 1, pp. 351–357, 2017. doi: 10.1109/TCST.2016.2536708
    [4]
    S. K. Pradhan and Y. Q. Gao, “Position control of a flexible manipulator using a new nonlinear self-tuning pid controller,” IEEE/CAA Jouirnal of Automatica Sinica, vol. 3, no. 4, pp. 394–397, 2016. doi: 10.1109/JAS.2016.7510112
    [5]
    F. Y. Wang and G. Yanqing, “On frequency sensitivity and mode orthogonality of flexible robotic manipulators,” IEEE/CAA Jouirnal of Automatica Sinica, vol. 7, no. 1, pp. 136–149, 2020.
    [6]
    Z. Liu, X. He, Z. Zhao, C. Ahn, and H. Li, “Vibration control for spatial aerial refueling hoses with bounded actuators,” IEEE Trans. Industrial Electronics, to be published, DOI: 10.1109/TIE.2020.2984442,2020.
    [7]
    E. Pereira, S. S. Aphale, V. Feliu, and S. O. R. Moheimani, “Integral resonant control for vibration damping and precise tip-positioning of a single-link flexible manipulator,” IEEE/ASME Trans. Mechatronics, vol. 16, no. 2, pp. 232–240, 2011. doi: 10.1109/TMECH.2009.2039713
    [8]
    C. Y. Sun, W. He, and J. Hong, “Neural network control of a flexible robotic manipulator using the lumped spring-mass model,” IEEE Trans. Systems,Man,and Cybernetics:Systems, vol. 47, no. 8, pp. 1863–1874, 2017. doi: 10.1109/TSMC.2016.2562506
    [9]
    G. Zhu, S. S. Ge, and T. H. Lee, “Simulation studies of tip tracking control of a single-link flexible robot based on a lumped model,” Robotica, vol. 17, no. 17, pp. 71–78, 1999.
    [10]
    T. Jiang, J. Liu, and W. He, “Boundary control for a flexible manipulator based on infinite dimensional disturbance observer,” Journal of Sound &Vibration, vol. 348, pp. 1–14, 2015.
    [11]
    H.-N. Wu and H.-X. Li, “Finite-dimensional constrained fuzzy control for a class of nonlinear distributed process systems,” IEEE Trans. Systems,Man,Cybernetics-Part B:Cybernetics, vol. 37, no. 5, pp. 1422–1430, 2007. doi: 10.1109/TSMCB.2007.904026
    [12]
    W. He, H. Gao, C. Zhou, C. Yang, and Z. Li, “Reinforcement learning control of a flexible manipulator: An experimental investigation,” IEEE Trans. Systems, Man, and Cybernetics: Systems, to be published, DOI: 10.1109/TSMC.2020.2975232, 2020.
    [13]
    M. L. Wang, H. X. Li, X. Chen, and Y. Chen, “Deep learning-based model reduction for distributed parameter systems,” IEEE Trans. Systems,Man,and Cybernetics:Systems, vol. 46, no. 12, pp. 1664–1674, 2016. doi: 10.1109/TSMC.2016.2605159
    [14]
    Z. Liu, X. He, Z. Zhao, C. K. Ahn, and H.-X. Li, “Vibration control for spatial aerial refueling hoses with bounded actuators,” IEEE Trans. Industrial Electronics, to be published, DOI: 10.1109/TIE.2020.2984442,2020.
    [15]
    Z. J. Liu, J. K. Liu, and W. He, “Robust adaptive fault tolerant control for a linear cascaded ode-beam systems,” Automatica, vol. 98, pp. 42–50, 2018. doi: 10.1016/j.automatica.2018.09.021
    [16]
    J. M. Wang, J. J. Liu, B. Ren, and J. Chen, “Sliding mode control to stabilization of cascaded heat pde-ode systems subject to boundary control matched disturbance,” Automatica, vol. 52, pp. 23–34, 2015. doi: 10.1016/j.automatica.2014.10.117
    [17]
    K. D. Do, “Stochastic boundary control design for extensible marine risers in three dimensional space,” Automatica, vol. 77, pp. 184–197, 2017. doi: 10.1016/j.automatica.2016.11.032
    [18]
    W. Guo, B. Z. Guo, and Z. C. Shao, “Parameter estimation and stabilization for a wave equation with boundary output harmonic disturbance and noncollocated control,” Int. Journal of Robust &Nonlinear Control, vol. 21, no. 11, pp. 1297–1321, 2011.
    [19]
    X. Cai and M. Krstic, “Nonlinear stabilization through wave pde dynamics with a moving uncontrolled boundary,” Automatica, vol. 68, pp. 27–38, 2016. doi: 10.1016/j.automatica.2016.01.043
    [20]
    A. Tavasoli, “Adaptive robust boundary control of shaft vibrations under perturbations with unknown upper bounds,” Int. Journal of Adaptive Control and Signal Processing, vol. 29, no. 5, pp. 537–562, 2015. doi: 10.1002/acs.2487
    [21]
    Z. Liu, J. Liu, and W. He, “Partial differential equation boundary control of a flexible manipulator with input saturation,” Int. Journal of Systems Science, vol. 48, no. 1, pp. 53–62, 2017. doi: 10.1080/00207721.2016.1152416
    [22]
    Z. J. Liu, J. K. Liu, and W. He, “Dynamic modeling and vibration control for a nonlinear 3-dimensional flexible manipulator,” Int. Journal of Robust and Nonlinear Control, vol. 28, no. 13, pp. 3927–3945, 2018. doi: 10.1002/rnc.4113
    [23]
    Z. Liu and J. Liu, “Boundary control of a flexible robotic manipulator with output constraints,” Asian Journal of Control, vol. 19, no. 1, pp. 332–345, 2017. doi: 10.1002/asjc.1342
    [24]
    Z. Liu, J. Liu, and W. He, “An adaptive iterative learning algorithm for boundary control of a flexible manipulator,” Int. Journal of Adaptive Control &Signal Processing, vol. 31, no. 6, pp. 903–916, 2017.
    [25]
    M. Dogan and O. Morgul, “On the control of two-link flexible robot arm with nonuniform cross section,” Journal of Vibration &Control, vol. 16, no. 5, pp. 619–646, 2010.
    [26]
    W. He, X. He, M. Zou, and H. Li, “PDE model-based boundary control design for a flexible robotic manipulator with input backlash,” IEEE Trans. Control Systems Technology, vol. 27, no. 2, pp. 790–797, 2019. doi: 10.1109/TCST.2017.2780055
    [27]
    T. Endo, F. Matsuno, and Y. Jia, “Boundary cooperative control by flexible timoshenko arms,” Automatica, vol. 81, pp. 377–389, 2017. doi: 10.1016/j.automatica.2017.04.017
    [28]
    T. Endo, M. Sasaki, F. Matsuno, and Y. Jia, “Contact-force control of a flexible timoshenko arm in rigid/soft environment,” IEEE Trans. Automatic Control, vol. 62, no. 2, pp. 1004–1009, 2017. doi: 10.1109/TAC.2016.2569432
    [29]
    Z. J. Zhao and C. K. Ahn, “Boundary antisaturation vibration control design for a flexible timoshenko robotic manipulator,” Int. Journal of Robust and Nonlinear Control, vol. 30, no. 3, pp. 1098–1114, 2020. doi: 10.1002/rnc.4810
    [30]
    X. He, W. He, and C. Sun, “Robust adaptive vibration control for an uncertain flexible timoshenko robotic manipulator with input and output constraints,” Int. Journal of Systems Science, vol. 48, no. 13, pp. 2860–2870, 2017. doi: 10.1080/00207721.2017.1360963
    [31]
    S. H. Li, J. Yang, W. H. Chen, and X. S. Chen, Disturbance ObserverBased Control: Methods and Applications. Florida, USA: CRC Press, 2014.
    [32]
    J. Yang, H. Wu, L. Hu, and S. H. Li, “Robust predictive speed regulation of converter-driven DC motors via a discrete-time reduced-order gpio,” IEEE Trans. Industrial Electronics, vol. 66, no. 10, pp. 7893–7903, 2019. doi: 10.1109/TIE.2018.2878119
    [33]
    J. Yang, T. Li, C. J. Liu, S. H. Li, and W. H. Chen, “Nonlinearity estimator-based control of a class of uncertain nonlinear systems,” IEEE Trans. Automatic Control, to be published, DOI: 10.1109/TAC.2019.2940567,2019.
    [34]
    W. He, Z. Yan, C. Sun, and Y. Chen, “Adaptive neural network control of a flapping wing micro aerial vehicle with disturbance observer,” IEEE Trans. Cybernetics, vol. 47, no. 10, pp. 3452–3465, 2017. doi: 10.1109/TCYB.2017.2720801
    [35]
    B. Xu, D. Wang, Y. Zhang, and Z. Shi, “DOB based neural control of flexible hypersonic flight vehicle considering wind effects,” IEEE Trans. Industrial Electronics, vol. 64, no. 11, pp. 8676–8685, 2017. doi: 10.1109/TIE.2017.2703678
    [36]
    K. Yong, M. Chen, and Q. Wu, “Anti-disturbance control for nonlinear systems based on interval observer,” IEEE Trans. Industrial Electronics, vol. 67, no. 2, pp. 1261–1269, 2020. doi: 10.1109/TIE.2019.2898575
    [37]
    Z. J. Zhao, X. Y. He, and C. K. Ahn, “Boundary disturbance observer-based control of a vibrating single-link flexible manipulator,” IEEE Trans. Systems, Man, and Cybernetics: Systems, to be published, DOI: 10.1109/TSMC.2019.2912900,2019.
    [38]
    X. He, W. He, H. Qin, and C. Sun, “Boundary vibration control for a flexible Timoshenko robotic manipulator,” IET Control Theory &Applications, vol. 12, no. 7, pp. 875–882, 2018.
    [39]
    X. He, W. He, H. Qin, and C. Sun, “Boundary vibration control for a flexible Timoshenko robotic manipulator,” IET Control Theory and Applications, vol. 12, no. 7, pp. 875–882, 2018.
    [40]
    Z. J. Zhao, C. K. Ahn, and H. X. Li, “Boundary antidisturbance control of a spatially nonlinear flexible string system,” IEEE Trans. Industrial Electronics, vol. 67, no. 6, pp. 4846–4856, 2020. doi: 10.1109/TIE.2019.2931230
    [41]
    Z. J. Zhao, X. Y. He, Z. G. Ren, and G. L. Wen, “Boundary adaptive robust control of a flexible riser system with input nonlinearities,” IEEE Trans. Systems,Man,and Cybernetics:Systems, vol. 49, no. 10, pp. 1971–1980, 2019. doi: 10.1109/TSMC.2018.2882734
    [42]
    Z. J. Zhao, C. K. Ahn, and H.-X. Li, “Deadzone compensation and adaptive vibration control of uncertain spatial flexible riser systems,” IEEE/ASME Trans. Mechatronics, to be published, DOI: 10.1109/TMECH.2020.2975567,2020.
    [43]
    W. He, T. T. Meng, X. Y. He, and C. Y. Sun, “Iterative learning control for a flapping wing micro aerial vehicle under distributed disturbances,” IEEE Trans. Cybernetics, vol. 49, no. 4, pp. 1524–1535, 2019. doi: 10.1109/TCYB.2018.2808321
    [44]
    W. He, T. T. Meng, D. Q. Huang, and X. F. Li, “Adaptive boundary iterative learning control for an Euler-Bernoulli beam system with input constraint,” IEEE Trans. Neural Networks and Learning Systems, vol. 29, no. 5, pp. 1524–1535, 2018.
    [45]
    Z. Zhao, X. Wang, C. Zhang, Z. Liu, and J. Yang, “Neural network based boundary control of a vibrating string system with input deadzone,” Neurocomputing, vol. 275, pp. 1021–1027, 2018. doi: 10.1016/j.neucom.2017.09.050
    [46]
    Y. Feng, X. Yu, and Z. Man, “Non-singular terminal sliding mode control of rigid manipulators,” Automatica, vol. 38, no. 12, pp. 2159–2167, 2002. doi: 10.1016/S0005-1098(02)00147-4
    [47]
    Y. Ren, M. Chen, and J. Y. Liu, “Unilateral boundary control for a suspension cable system of a helicopter with horizontal motion,” IET Control Theory &Applications, vol. 13, no. 4, pp. 467–476, 2019.
    [48]
    W. He and S. S. Ge, “Cooperative control of a nonuniform gantry crane with constrained tension,” Automatica, vol. 66, no. 4, pp. 146–154, 2016.
    [49]
    Z. J. Liu, J. K. Liu, and W. He, “Modeling and vibration control of a flexible aerial refueling hose with variable lengths and input constraint,” Automatica, vol. 77, pp. 302–310, 2017. doi: 10.1016/j.automatica.2016.11.002
    [50]
    W. He, T. T. Meng, X. Y. He, and S. S. Ge, “Unified iterative learning control for flexible structures with input constraints,” Automatica, vol. 86, pp. 326–336, 2018.
    [51]
    S. H. Li, H. B. Sun, J. Yang, and X. H. Yu, “Continuous finite-time output regulation for disturbed systems under mismatching condition,” IEEE Trans. Automatic Control, vol. 60, no. 1, pp. 277–282, 2015. doi: 10.1109/TAC.2014.2324212
    [52]
    A. Levant, “Higher-order sliding modes, differentiation and outputfeedback control,” Int. Journal of Control, vol. 76, no. 9–10, pp. 924–941, 2003.
    [53]
    Z. J. Zhao, X. Y. He, Z. G. Ren, and G. L. Wen, “Output feedback stabilization for an axially moving system,” IEEE Trans. Systems,Man,and Cybernetics:Systems, vol. 49, no. 12, pp. 2374–2383, 2019. doi: 10.1109/TSMC.2018.2882822
    [54]
    X. Y. He, W. He, J. Shi, and C. Y. Sun, “Boundary vibration control of variable length crane systems in two-dimensional space with output constraints,” IEEE/ASME Trans. Mechatronics, vol. 22, no. 5, pp. 1952–1962, 2017. doi: 10.1109/TMECH.2017.2721553
    [55]
    Z. J. Zhao and C. K. Ahn, “Boundary output constrained control for a flexible beam system with prescribed performance,” IEEE Trans. Systems, Man, and Cybernetics: Systems, to be published, DOI: 10.1109/TSMC.2019.2944900,2019.
    [56]
    M. Chen, Y. Ren, and J. Liu, “Antidisturbance control for a suspension cable system of helicopter subject to input nonlinearities,” IEEE Trans. Systems,Man,and Cybernetics:Systems, vol. 48, no. 12, pp. 2292–2304, 2018. doi: 10.1109/TSMC.2017.2710638
    [57]
    Z. J. Liu, Z. J. Zhao, and C. K. Ahn, “Boundary constrained control of flexible string systems subject to disturbances,” IEEE Trans. Circuits and Systems II, vol. 67, no. 1, pp. 112–116, 2020. doi: 10.1109/TCSII.2019.2901283
    [58]
    T. Zhang, X. Wang, X. Xu, and C. L. P. Chen, “CB-NET: Graph convolutional broad network and its application in emotion recognition,” IEEE Trans. Affective Computing, to be published, DOI: 10.1109/TAFFC.2019.2937768,2019.
    [59]
    T. Zhang, C. L. P. Chen, L. Chen, X. Xu, and B. Hu, “Design of highly nonlinear substitution boxes based on i-ching operators,” IEEE Trans. Cybernetics, vol. 48, no. 12, pp. 3349–3358, 2018. doi: 10.1109/TCYB.2018.2846186

Catalog

    通讯作者: 陈斌, bchen63@163.com
    • 1. 

      沈阳化工大学材料科学与工程学院 沈阳 110142

    1. 本站搜索
    2. 百度学术搜索
    3. 万方数据库搜索
    4. CNKI搜索

    Figures(30)

    Article Metrics

    Article views (1908) PDF downloads(125) Cited by()

    Highlights

    • Boundary control is proposed to suppress the vibration and deformation and position the manipulator.
    • Disturbance observers are constructed to guarantee the finite-time convergence of disturbances.
    • The proposed control schemes ensure the uniformly bounded stability in the system.

    /

    DownLoad:  Full-Size Img  PowerPoint
    Return
    Return