A journal of IEEE and CAA , publishes high-quality papers in English on original theoretical/experimental research and development in all areas of automation

Vol. 4,  No. 4, 2017

PERSPECTIVE AND REVIEW
Parallel Driving in CPSS:A Unified Approach for Transport Automation and Vehicle Intelligence
Fei-Yue Wang, Nan-Ning Zheng, Dongpu Cao, Clara Marina Martinez, Li Li, Teng Liu
2017, 4(4): 577-587. doi: 10.1109/JAS.2017.7510598
Abstract(4889) HTML (1154) PDF(601)
Abstract:
The emerging development of connected and automated vehicles imposes a significant challenge on current vehicle control and transportation systems. This paper proposes a novel unified approach, Parallel Driving, a cloud-based cyberphysical-social systems (CPSS) framework aiming at synergizing connected automated driving. This study first introduces the CPSS and ACP-based intelligent machine systems. Then the parallel driving is proposed in the cyber-physical-social space, considering interactions among vehicles, human drivers, and information. Within the framework, parallel testing, parallel learning and parallel reinforcement learning are developed and concisely reviewed. Development on intelligent horizon (iHorizon) and its applications are also presented towards parallel horizon. The proposed parallel driving offers an ample solution for achieving a smooth, safe and efficient cooperation among connected automated vehicles with different levels of automation in future road transportation systems.
Generative Adversarial Networks:Introduction and Outlook
Kunfeng Wang, Chao Gou, Yanjie Duan, Yilun Lin, Xinhu Zheng, Fei-Yue Wang
2017, 4(4): 588-598. doi: 10.1109/JAS.2017.7510583
Abstract(4188) HTML (1177) PDF(445)
Abstract:
Recently, generative adversarial networks (GANs) have become a research focus of artificial intelligence. Inspired by two-player zero-sum game, GANs comprise a generator and a discriminator, both trained under the adversarial learning idea. The goal of GANs is to estimate the potential distribution of real data samples and generate new samples from that distribution. Since their initiation, GANs have been widely studied due to their enormous prospect for applications, including image and vision computing, speech and language processing, etc. In this review paper, we summarize the state of the art of GANs and look into the future. Firstly, we survey GANs' proposal background, theoretic and implementation models, and application fields. Then, we discuss GANs' advantages and disadvantages, and their development trends. In particular, we investigate the relation between GANs and parallel intelligence, with the conclusion that GANs have a great potential in parallel systems research in terms of virtual-real interaction and integration. Clearly, GANs can provide substantial algorithmic support for parallel intelligence.
SPECIAL ISSUE ON HUMAN-CENTERED INTELLIGENT ROBOTS:ISSUES AND CHALLENGES
Guest Editorial forSpecial Issue on Human-centered Intelligent Robots:Issues and Challenges
Zhijun Li, C. L. Philip Chen, Wei He
2017, 4(4): 599-601. doi: 10.1109/JAS.2017.7510601
Abstract(2253) HTML (792) PDF(230)
Abstract:
A Survey of Human-centered Intelligent Robots: Issues and Challenges
Wei He, Zhijun Li, C. L. Philip Chen
2017, 4(4): 602-609. doi: 10.1109/JAS.2017.7510604
Abstract(4286) HTML (1140) PDF(541)
Abstract:
Intelligent techniques foster the dissemination of new discoveries and novel technologies that advance the ability of robots to assist and support humans. The human-centered intelligent robot has become an important research field that spans all of the robot capabilities including navigation, intelligent control, pattern recognition and human-robot interaction. This paper focuses on the recent achievements and presents a survey of existing works on human-centered robots. Furthermore, we provide a comprehensive survey of the recent development of the human-centered intelligent robot and discuss the issues and challenges in the field.
Tracking Control for a Cushion Robot Based on Fuzzy Path Planning With Safe Angular Velocity
Ping Sun, Zhuang Yu
2017, 4(4): 610-619. doi: 10.1109/JAS.2017.7510607
Abstract(2357) HTML (813) PDF(183)
Abstract:
This study proposes a new nonlinear tracking control method with safe angular velocity constraints for a cushion robot. A fuzzy path planning algorithm is investigated and a realtime desired motion path of obstacle avoidance is obtained. The angular velocity is constrained by the controller, so the planned path guarantees the safety of users. According to Lyapunov theory, the controller is designed to maintain stability in terms of solutions of linear matrix inequalities and the controller's performance with safe angular velocity constraints is derived. The simulation and experiment results confirm the effectiveness of the proposed method and verify that the angular velocity of the cushion robot provided safe motion with obstacle avoidance.
Continuous Robust Control for Series ElasticActuator With Unknown Payload Parametersand External Disturbances
Meng Wang, Lei Sun, Wei Yin, Shuai Dong, Jingtai Liu
2017, 4(4): 620-627. doi: 10.1109/JAS.2017.7510610
Abstract(1752) HTML (785) PDF(85)
Abstract:
In this paper, the torque tracking control problem for a class of series elastic actuators (SEAs) in the presence of unknown payload parameters and external disturbances is investigated. The uncertainties/disturbances rejection problem for SEAs is addressed from the view of a continuous nonlinear robust control development. Specifically, based on the analysis of a nonlinear SEA, the generic dynamics of SEA systems is described and a novel nonlinear control framework for SEAs is constructed. Then a RISE (robust integral of the sign of the error)-based second-order filter is introduced to synthesize the control law. Moreover, the control performance is theoretically ensured by Lyapunov analysis. Finally, some experimental results are included to demonstrate the superior performance of the proposed control method, in terms of transient response and robustness.
Robust Control Design of Wheeled Inverted Pendulum Assistant Robot
Magdi S. Mahmoud, Mohammad T. Nasir
2017, 4(4): 628-638. doi: 10.1109/JAS.2017.7510613
Abstract(2335) HTML (805) PDF(321)
Abstract:
This paper examines the design concept and mobile control strategy of the human assistant robot I-PENTAR (inverted pendulum type assistant robot). The motion equation is derived considering the non-holonomic constraint of the twowheeled mobile robot. Different optimal control approaches are applied to a linearized model of I-PENTAR. These include linear quadratic regulator (LQR), linear quadratic Gaussian control (LQG), H2 control and H control. Simulation is performed for all the approaches yielding good performance results.
Motor Imagery and Error Related Potential Induced Position Control of a Robotic Arm
Saugat Bhattacharyya, Amit Konar, D.N. Tibarewala
2017, 4(4): 639-650. doi: 10.1109/JAS.2017.7510616
Abstract(2219) HTML (804) PDF(100)
Abstract:
The paper introduces an electroencephalography (EEG) driven online position control scheme for a robot arm by utilizing motor imagery to activate and error related potential (ErrP) to stop the movement of the individual links, following a fixed (pre-defined) order of link selection. The right (left) hand motor imagery is used to turn a link clockwise (counterclockwise) and foot imagery is used to move a link forward. The occurrence of ErrP here indicates that the link under motion crosses the visually fixed target position, which usually is a plane/line/point depending on the desired transition of the link across 3D planes/around 2D lines/along 2D lines respectively. The imagined task about individual link's movement is decoded by a classifier into three possible class labels:clockwise, counterclockwise and no movement in case of rotational movements and forward, backward and no movement in case of translational movements. One additional classifier is required to detect the occurrence of the ErrP signal, elicited due to visually inspired positional link error with reference to a geometrically selected target position. Wavelet coefficients and adaptive autoregressive parameters are extracted as features for motor imagery and ErrP signals respectively. Support vector machine classifiers are used to decode motor imagination and ErrP with high classification accuracy above 80%. The average time taken by the proposed scheme to decode and execute control intentions for the complete movement of three links of a robot is approximately 33 seconds. The steady-state error and peak overshoot of the proposed controller are experimentally obtained as 1.1% and 4.6% respectively.
Intent Pattern Recognition of Lower-limb Motion Based on Mechanical Sensors
Zuojun Liu, Wei Lin, Yanli Geng, Peng Yang
2017, 4(4): 651-660. doi: 10.1109/JAS.2017.7510619
Abstract(2252) HTML (810) PDF(140)
Abstract:
Based on the regularity nature of lower-limb motion, an intent pattern recognition approach for above-knee prosthesis is proposed in this paper. To remedy the defects of recognizer based on electromyogram (EMG), we develop a pure mechanical sensor architecture for intent pattern recognition of lower-limb motion. The sensor system is composed of an accelerometer, a gyroscope mounted on the prosthetic socket, and two pressure sensors mounted under the sole. To compensate the delay in the control of prosthesis, the signals in the stance phase are used to predict the terrain and speed in the swing phase. Specifically, the intent pattern recognizer utilizes intraclass correlation coefficient (ICC) according to the Cartesian product of walking speed and terrain. Moreover, the sensor data are fused via DempsterShafer's theory. And hidden Markov model (HMM) is used to recognize the realtime motion state with the reference of the prior step. The proposed method can infer the prosthesis user's intent of walking on different terrain, which includes level ground, stair ascent, stair descent, up and down ramp. The experiments demonstrate that the intent pattern recognizer is capable of identifying five typical terrain-modes with the rate of 95.8%. The outcome of this investigation is expected to substantially improve the control performance of powered above-knee prosthesis.
A Target Grabbing Strategy for Telerobot Based on Improved Stiffness Display Device
Pengwen Xiong, Xiaodong Zhu, Aiguo Song, Lingyan Hu, Xiaoping P. Liu, Lihang Feng
2017, 4(4): 661-667. doi: 10.1109/JAS.2016.7510256
Abstract(1774) HTML (793) PDF(123)
Abstract:
Most target grabbing problems have been dealt with by computer vision system, however, computer vision method is not always enough when it comes to the precision contact grabbing problems during the teleoperation process, and need to be combined with the stiffness display to provide more effective information to the operator on the remote side. Therefore, in this paper a more portable stiffness display device with a small volume and extended function is developed based on our previous work. A new static load calibration of the improved stiffness display device is performed to detect its accuracy, and the relationship between the stiffness and the position is given. An effective target grabbing strategy is presented to help operator on the remote side to judge and control and the target is classified by multi-class SVM (supporter vector machine). The teleoperation system is established to test and verify the feasibility. A special experiment is designed and the results demonstrate that the improved stiffness display device could greatly help operator on the remote side control the telerobot to grab target and the target grabbing strategy is effective.
A Facial Expression Emotion Recognition Based Human-robot Interaction System
Zhentao Liu, Min Wu, Weihua Cao, Luefeng Chen, Jianping Xu, Ri Zhang, Mengtian Zhou, Junwei Mao
2017, 4(4): 668-676. doi: 10.1109/JAS.2017.7510622
Abstract(3007) HTML (795) PDF(232)
Abstract:
A facial expression emotion recognition based human-robot interaction (FEER-HRI) system is proposed, for which a four-layer system framework is designed. The FEERHRI system enables the robots not only to recognize human emotions, but also to generate facial expression for adapting to human emotions. A facial emotion recognition method based on 2D-Gabor, uniform local binary pattern (LBP) operator, and multiclass extreme learning machine (ELM) classifier is presented, which is applied to real-time facial expression recognition for robots. Facial expressions of robots are represented by simple cartoon symbols and displayed by a LED screen equipped in the robots, which can be easily understood by human. Four scenarios, i.e., guiding, entertainment, home service and scene simulation are performed in the human-robot interaction experiment, in which smooth communication is realized by facial expression recognition of humans and facial expression generation of robots within 2 seconds. As a few prospective applications, the FEERHRI system can be applied in home service, smart home, safe driving, and so on.
Automatic Feature Point Detection and Tracking of Human Actions in Time-of-flight Videos
Xiaohui Yuan, Longbo Kong, Dengchao Feng, Zhenchun Wei
2017, 4(4): 677-685. doi: 10.1109/JAS.2017.7510625
Abstract(2086) HTML (784) PDF(139)
Abstract:
Detecting feature points on the human body in video frames is a key step for tracking human movements. There have been methods developed that leverage models of human pose and classification of pixels of the body image. Yet, occlusion and robustness are still open challenges. In this paper, we present an automatic, model-free feature point detection and action tracking method using a time-of-flight camera. Our method automatically detects feature points for movement abstraction. To overcome errors caused by miss-detection and occlusion, a refinement method is devised that uses the trajectory of the feature points to correct the erroneous detections. Experiments were conducted using videos acquired with a Microsoft Kinect camera and a publicly available video set and comparisons were conducted with the state-of-the-art methods. The results demonstrated that our proposed method delivered improved and reliable performance with an average accuracy in the range of 90%. The trajectorybased refinement also demonstrated satisfactory effectiveness that recovers the detection with a success rate of 93.7%. Our method processed a frame in an average time of 71.1 ms.
Interpreting and Extracting Open Knowledge for Human-Robot Interaction
Dongcai Lu, Xiaoping Chen
2017, 4(4): 686-695. doi: 10.1109/JAS.2017.7510628
Abstract(2133) HTML (809) PDF(117)
Abstract:
A more natural way for non-expert users to express their tasks in an open-ended set is to use natural language. In this case, a human-centered intelligent agent/robot is required to be able to understand and generate plans for these naturally expressed tasks. For this purpose, it is a good way to enhance intelligent robot's abilities by utilizing open knowledge extracted from the web, instead of hand-coded knowledge. A key challenge of utilizing open knowledge lies in the semantic interpretation of the open knowledge organized in multiple modes, which can be unstructured or semi-structured, before one can use it. Previous approaches used a limited lexicon to employ combinatory categorial grammar (CCG) as the underlying formalism for semantic parsing over sentences. Here, we propose a more effective learning method to interpret semi-structured user instructions. Moreover, we present a new heuristic method to recover missing semantic information from the context of an instruction. Experiments showed that the proposed approach renders significant performance improvement compared to the baseline methods and the recovering method is promising.
Human Interaction Dynamics for Its Use in Mobile Robotics:Impedance Control for Leader-follower Formation
Daniel Herrera, Flavio Roberti, Marcos Toibero, Ricardo Carelli
2017, 4(4): 696-703. doi: 10.1109/JAS.2017.7510631
Abstract(2098) HTML (773) PDF(110)
Abstract:
A complete characterization of the behavior in human-robot interactions (HRI) includes both:the behavioral dynamics and the control laws that characterize how the behavior is regulated with the perception data. In this way, this work proposes a leader-follower coordinate control based on an impedance control that allows to establish a dynamic relation between social forces and motion error. For this, a scheme is presented to identify the impedance based on fictitious social forces, which are described by distance-based potential fields. As part of the validation procedure, we present an experimental comparison to select the better of two different fictitious force structures. The criteria are determined by two qualities:least impedance errors during the validation procedure and least parameter variance during the recursive estimation procedure. Finally, with the best fictitious force and its identified impedance, an impedance control is designed for a mobile robot Pioneer 3AT, which is programmed to follow a human in a structured scenario. According to results, and under the hypothesis that moving like humans will be acceptable by humans, it is believed that the proposed control improves the social acceptance of the robot for this kind of interaction.
Teaching the User By Learning From the User:Personalizing Movement Control in Physical Human-robot Interaction
Ali Safavi, Mehrdad H. Zadeh
2017, 4(4): 704-713. doi: 10.1109/JAS.2017.7510634
Abstract(1836) HTML (797) PDF(117)
Abstract:
This paper proposes a novel approach for physical human-robot interactions (pHRI), where a robot provides guidance forces to a user based on the user performance. This framework tunes the forces in regards to behavior of each user in coping with different tasks, where lower performance results in higher intervention from the robot. This personalized physical human-robot interaction (p2HRI) method incorporates adaptive modeling of the interaction between the human and the robot as well as learning from demonstration (LfD) techniques to adapt to the users' performance. This approach is based on model predictive control where the system optimizes the rendered forces by predicting the performance of the user. Moreover, continuous learning of the user behavior is added so that the models and personalized considerations are updated based on the change of user performance over time. Applying this framework to a field such as haptic guidance for skill improvement, allows a more personalized learning experience where the interaction between the robot as the intelligent tutor and the student as the user, is better adjusted based on the skill level of the individual and their gradual improvement. The results suggest that the precision of the model of the interaction is improved using this proposed method, and the addition of the considered personalized factors to a more adaptive strategy for rendering of guidance forces.
Augmented Virtual Stiffness Rendering of a Cable-driven SEA for Human-Robot Interaction
Ningbo Yu, Wulin Zou, Wen Tan, Zhuo Yang
2017, 4(4): 714-723. doi: 10.1109/JAS.2017.7510637
Abstract(2645) HTML (780) PDF(134)
Abstract:
Human-robot interaction (HRI) is fundamental for human-centered robotics, and has been attracting intensive research for more than a decade. The series elastic actuator (SEA) provides inherent compliance, safety and further benefits for HRI, but the introduced elastic element also brings control difficulties. In this paper, we address the stiffness rendering problem for a cable-driven SEA system, to achieve either low stiffness for good transparency or high stiffness bigger than the physical spring constant, and to assess the rendering accuracy with quantified metrics. By taking a velocity-sourced model of the motor, a cascaded velocity-torque-impedance control structure is established. To achieve high fidelity torque control, the 2-DOF (degree of freedom) stabilizing control method together with a compensator has been used to handle the competing requirements on tracking performance, noise and disturbance rejection, and energy optimization in the cable-driven SEA system. The conventional passivity requirement for HRI usually leads to a conservative design of the impedance controller, and the rendered stiffness cannot go higher than the physical spring constant. By adding a phase-lead compensator into the impedance controller, the stiffness rendering capability was augmented with guaranteed relaxed passivity. Extensive simulations and experiments have been performed, and the virtual stiffness has been rendered in the extended range of 0.1 to 2.0 times of the physical spring constant with guaranteed relaxed passivity for physical humanrobot interaction below 5 Hz. Quantified metrics also verified good rendering accuracy.
PAPERS
Modified Grey Model Predictor Design Using Optimal Fractional-order Accumulation Calculus
Yang Yang, Dingyu Xue
2017, 4(4): 724-733. doi: 10.1109/JAS.2017.7510355
Abstract(2088) HTML (773) PDF(199)
Abstract:
The major advantage of grey system theory is that both incomplete information and unclear problems can be processed precisely. Considering that the modeling of grey model (GM) depends on the preprocessing of the original data, the fractional-order accumulation calculus could be used to do preprocessing. In this paper, the residual sequence represented by Fourier series is used to ameliorate performance of the fractionalorder accumulation GM(1, 1) and improve the accuracy of predictor. The state space model of optimally modified GM(1, 1) predictor is given and genetic algorithm (GA) is used to find the smallest relative error during the modeling step. Furthermore, the fractional form of continuous GM(1, 1) is given to enlarge the content of prediction model. The simulation results illustrated that the fractional-order calculus could be used to depict the GM precisely with more degrees of freedom. Meanwhile, the ranges of the parameters and model application could be enlarged with better performance. The method of modified GM predictor using optimal fractional-order accumulation calculus is expected to be widely used in data processing, model theory, prediction control and related fields.
Applications of Fractional Lower Order Time-frequency Representation to Machine Bearing Fault Diagnosis
Junbo Long, Haibin Wang, Peng Li, Hongshe Fan
2017, 4(4): 734-750. doi: 10.1109/JAS.2016.7510190
Abstract(1942) HTML (783) PDF(76)
Abstract:
The machinery fault signal is a typical non-Gaussian and non-stationary process. The fault signal can be described by SαS distribution model because of the presence of impulses. Time-frequency distribution is a useful tool to extract helpful information of the machinery fault signal. Various fractional lower order (FLO) time-frequency distribution methods have been proposed based on fractional lower order statistics, which include fractional lower order short time Fourier transform (FLO-STFT), fractional lower order Wigner-Ville distributions (FLO-WVDs), fractional lower order Cohen class time-frequency distributions (FLO-CDs), fractional lower order adaptive kernel time-frequency distributions (FLO-AKDs) and adaptive fractional lower order time-frequency auto-regressive moving average (FLO-TFARMA) model time-frequency representation method. The methods and the exiting methods based on second order statistics in SαS distribution environments are compared, simulation results show that the new methods have better performances than the existing methods. The advantages and disadvantages of the improved time-frequency methods have been summarized. Last, the new methods are applied to analyze the outer race fault signals, the results illustrate their good performances.
Functional-type Single-input-rule-modules Connected Neural Fuzzy System for Wind Speed Prediction
Chengdong Li, Li Wang, Guiqing Zhang, Huidong Wang, Fang Shang
2017, 4(4): 751-762. doi: 10.1109/JAS.2017.7510640
Abstract(1354) HTML (393) PDF(82)
Abstract:
Wind is one kind of clean and free renewable energy sources. Wind speed plays a pivotal role in the wind power output. However, due to the random and unstable nature of the wind, accurate prediction of wind speed is a particularly challenging task. This paper presents a novel neural fuzzy method for the hourly wind speed prediction. Firstly, a neural structure is proposed for the functional-type single-input-rule-modules (FSIRMs) connected fuzzy inference system (FIS) to combine the merits of both the FSIRMs connected FIS and the neural network. Then, in order to achieve both the smallest training errors and the smallest parameters, a least square method based parameter learning algorithm is presented for the proposed FSIRMs connected neural fuzzy system (FSIRMNFS). Further, the proposed FSIRMNFS and its parameter learning algorithm are applied to the hourly wind speed prediction. Experiments and comparisons are also made to show the effectiveness and advantages of the proposed approach. Experimental results verified that our study has presented an effective approach for the hourly wind speed prediction. The proposed approach can also be used for the prediction of wind direction, wind power and some other prediction applications in the research field of renewable energy.
Linearized Proximal Alternating Direction Method of Multipliers for Parallel Magnetic Resonance Imaging
Benxin Zhang, Zhibin Zhu
2017, 4(4): 763-769. doi: 10.1109/JAS.2016.7510226
Abstract(1241) HTML (411) PDF(100)
Abstract:
In this study, we propose a linearized proximal alternating direction method with variable stepsize for solving total variation image reconstruction problems. Our method uses a linearized technique and the proximal function such that the closed form solutions of the subproblem can be easily derived. In the subproblem, we apply a variable stepsize, that is like Barzilai-Borwein stepsize, to accelerate the algorithm. Numerical results with parallel magnetic resonance imaging demonstrate the efficiency of the proposed algorithm.
Ladle Furnace Temperature Prediction Model Based on Large-scale Data With Random Forest
Xiaojun Wang
2017, 4(4): 770-774. doi: 10.1109/JAS.2016.7510247
Abstract(1381) HTML (392) PDF(155)
Abstract:
In ladle furnace, the prediction of the liquid steel temperature is always a hot topic for the researchers. The most of the existing temperature prediction models use small sample set. Today, the precision of them can not satisfy practical production. Fortunately, the large sample set is accumulated from the practical production process. However, a large sample set makes it difficult to build a liquid steel temperature model. To deal with the issue, the random forest method is preferred in this paper, which is a powerful regression method with low complexity and can be designed very quickly. It is with the parallel ensemble structure, uses sample subsets, and employs a simple learning algorithm of sub-models. Then, the random forest method is applied to establish a temperature model by using the data sampled from the production process. The experiments show that the random forest temperature model is more precise than other temperature models.
High-speed Nonsingular Terminal Switched Sliding Mode Control of Robot Manipulators
Fengning Zhang
2017, 4(4): 775-781. doi: 10.1109/JAS.2016.7510157
Abstract(1168) HTML (390) PDF(164)
Abstract:
This paper proposes a high-speed nonsingular terminal switched sliding mode control (HNT-SSMC) strategy for robot manipulators. The proposed approach enhances the control system performance by switching among appropriate sliding mode controllers according to different control demands in different regions of the state space. It is shown that the highspeed nonsingular terminal switched sliding mode (HNT-SSM) which is the representation of different control demands and enforced by the HNT-SSMC has the property of global highspeed convergence compared with the nonsingular fast terminal sliding mode (NFTSM), and provides the global non-singularity. The simulation study of an application example is carried out to validate the effectiveness of the proposed strategy.
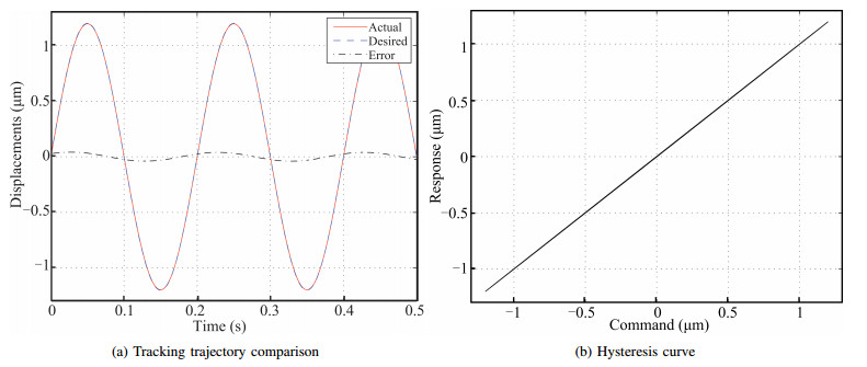
Modeling and Tracking Control for Piezoelectric Actuator Based on a New Asymmetric Hysteresis Model
Geng Wang, Guoqiang Chen, Hong Zhou, Fuzhong Bai
2017, 4(4): 782-791. doi: 10.1109/JAS.2016.7510136
Abstract(1253) HTML (400) PDF(67)
Abstract:
This paper presents a new asymmetric hysteresis model and its application in the tracking control of piezoelectric actuators. The proposed model is based on a coupled-play operator which can avoid the conventional Prandtl-Ishlinskii (CPI) model's defects, i.e., the symmetric property. The high accuracy for modeling asymmetric hysteresis is validated by comparing simulation results with experimental measurements. In order to further evaluate the performance of the proposed model in closed-loop tracking application, two different hybrid control methods which experimentally demonstrate their performance under the same operating conditions, are compared to validate that the hybrid control strategy with proposed hysteresis model can mitigate the hysteresis more effectively and achieve better tracking precision. The experimental results demonstrate that the proposed modeling and tracking control strategy can realize efficient control of piezoelectric actuator.
Intrusion Detection System for PS-Poll DoS Attack in 802.11 Networks Using Real Time Discrete Event System
Mayank Agarwal, Sanketh Purwar, Santosh Biswas, Sukumar Nandi
2017, 4(4): 792-808. doi: 10.1109/JAS.2016.7510178
Abstract(2290) HTML (380) PDF(159)
Abstract:
Wi-Fi devices have limited battery life because of which conserving battery life is imperative. The 802.11 Wi-Fi standard provides power management feature that allows stations (STAs) to enter into sleep state to preserve energy without any frame losses. After the STA wakes up, it sends a null data or PS-Poll frame to retrieve frame(s) buffered by the access point (AP), if any during its sleep period. An attacker can launch a power save denial of service (PS-DoS) attack on the sleeping STA(s) by transmitting a spoofed null data or PS-Poll frame(s) to retrieve the buffered frame(s) of the sleeping STA(s) from the AP causing frame losses for the targeted STA(s). Current APproaches to prevent or detect the PS-DoS attack require encryption, change in protocol or installation of proprietary hardware. These solutions suffer from expensive setup, maintenance, scalability and deployment issues. The PS-DoS attack does not differ in semantics or statistics under normal and attack circumstances. So signature and anomaly based intrusion detection system (IDS) are unfit to detect the PS-DoS attack. In this paper we propose a timed IDS based on real time discrete event system (RTDES) for detecting PS-DoS attack. The proposed DES based IDS overcomes the drawbacks of existing systems and detects the PS-DoS attack with high accuracy and detection rate. The correctness of the RTDES based IDS is proved by experimenting all possible attack scenarios.
Finite-time Sliding Mode Control Design for a Class of Uncertain Conic Nonlinear Systems
Shuping He, Jun Song
2017, 4(4): 809-816. doi: 10.1109/JAS.2017.7510643
Abstract(1604) HTML (407) PDF(194)
Abstract:
This paper studies the sliding mode controller design problems for a class of nonlinear system. The nonlinear function is considered to satisfy conic-type constraint condition. A novel finite-time boundedness (FTB) based sliding mode controller design theory is proposed. And then a sufficient condition is obtained in terms of linear matrix inequalities (LMIs), which guarantees the resulted sliding mode dynamics to be FTB wrt some predefined scalars. Thereafter, a FTB-based sliding mode control (SMC) law is synthesized to ensure the state of the controlled system is driven into a novel desired switching surface s(t)=c (c is a constant) in a finite time. Simulation results illustrate the validity of the proposed FTB-based SMC design theory.
Structural Properties, LQG Control and Scheduling of a Networked Control System with Bandwidth Limitations and Transmission Delays
Share Pasand Mohammad Mahdi, Montazeri Mohsen
2017, 4(4): 817-829.
Abstract(1106) HTML (372) PDF(21)
Abstract:
The problem of simultaneous LQG control and scheduling of a Networked Control System (NCS) with constant network induced delays at input and output and bandwidth limitations is investigated. Delays are considered at plant as well as controller side. Sufficient conditions for controllability, stabilizability, reconstructibility and detectability of the underlying networked control system are drawn. The proposed conditions extend previous works on structural properties of NCS by capturing both plant and controller side delays together with bandwidth limitations. A framework for computing the optimal LQG controller for the NCS with a fixed scheduling is provided. The proposed modeling approach facilitates use of LQG as well as other control methods for NCSs with delays and bandwidth limitations. In order to optimize performance, a semi-online scheduling procedure is proposed based on an offline look up table. The look up table assigns an optimal schedule with associated optimal LQG controller to initial conditions. The proposed scheme improves previous results by online deployment of schedule and LQG control with stability guarantees and very low computational overhead. A simulation example with communication delays, packet losses and bandwidth limitations in both sensor and actuator sides is included. Static optimal periodic communication sequence, Optimal Pointer Placement (OPP) approach proposed in previous works, a random access scheduling method representing contention based access policies and the proposed method are simulated and compared.