A journal of IEEE and CAA , publishes high-quality papers in English on original theoretical/experimental research and development in all areas of automation

Vol. 5,  No. 1, 2018

EDITORIAL
New Chief, New Journey, New Excellence
Fei-Yue Wang
2018, 5(1): 1-2.
Abstract(2825) HTML (14731) PDF(50)
Abstract:
REVIEWS AND PAPERS
Encoding-Decoding-Based Control and Filtering of Networked Systems:Insights, Developments and Opportunities
Wang Zidong, Wang Licheng, Liu Shuai, Wei Guoliang
2018, 5(1): 3-18. doi: 10.1109/JAS.2017.7510727
Abstract(3789) HTML (876) PDF(289)
Abstract:
In order to make the information transmission more efficient and reliable in a digital communication channel with limited capacity, various encoding-decoding techniques have been proposed and widely applied in many branches of the signal processing including digital communications, data compression, information encryption, etc. Recently, due to its promising application potentials in the networked systems (NSs), the analysis and synthesis issues of the NSs under various encoding-decoding schemes have stirred some research attention. However, because of the network-enhanced complexity caused by the limited network resources, it poses new challenges to the design of suitable encoding-decoding procedures to meet certain control or filtering performance for the NSs. In this survey paper, our aim is to present a comprehensive review of the encoding-decodingbased control and filtering problems for different types of NSs. First, some basic introduction with respect to the coding-decoding mechanism is presented in terms of its engineering insights, specific properties and theoretical formulations. Then, the recent representative research progress in the design of the encodingdecoding protocols for various control and filtering problems is discussed. Some possible further research topics are finally outlined for the encoding-decoding-based NSs.
Internet of Vehicles in Big Data Era
Wenchao Xu, Haibo Zhou, Nan Cheng, Feng Lyu, Weisen Shi, Jiayin Chen, Xuemin (Sherman) Shen
2018, 5(1): 19-35. doi: 10.1109/JAS.2017.7510736
Abstract(8347) HTML (1219) PDF(569)
Abstract:
As the rapid development of automotive telematics, modern vehicles are expected to be connected through heterogeneous radio access technologies and are able to exchange massive information with their surrounding environment. By significantly expanding the network scale and conducting both real-time and long-term information processing, the traditional Vehicular AdHoc Networks (VANETs) are evolving to the Internet of Vehicles (IoV), which promises efficient and intelligent prospect for the future transportation system. On the other hand, vehicles are not only consuming but also generating a huge amount and enormous types of data, which is referred to as Big Data. In this article, we first investigate the relationship between IoV and big data in vehicular environment, mainly on how IoV supports the transmission, storage, computing of the big data, and how IoV benefits from big data in terms of IoV characterization, performance evaluation and big data assisted communication protocol design. We then investigate the application of IoV big data in autonomous vehicles. Finally, the emerging issues of the big data enabled IoV are discussed.
Residential Energy Scheduling for Variable Weather Solar Energy Based on Adaptive Dynamic Programming
Derong Liu, Yancai Xu, Qinglai Wei, Xinliang Liu
2018, 5(1): 36-46. doi: 10.1109/JAS.2017.7510739
Abstract(2445) HTML (811) PDF(174)
Abstract:
The residential energy scheduling of solar energy is an important research area of smart grid. On the demand side, factors such as household loads, storage batteries, the outside public utility grid and renewable energy resources, are combined together as a nonlinear, time-varying, indefinite and complex system, which is difficult to manage or optimize. Many nations have already applied the residential real-time pricing to balance the burden on their grid. In order to enhance electricity efficiency of the residential micro grid, this paper presents an action dependent heuristic dynamic programming (ADHDP) method to solve the residential energy scheduling problem. The highlights of this paper are listed below. First, the weather-type classification is adopted to establish three types of programming models based on the features of the solar energy. In addition, the priorities of different energy resources are set to reduce the loss of electrical energy transmissions. Second, three ADHDP-based neural networks, which can update themselves during applications, are designed to manage the flows of electricity. Third, simulation results show that the proposed scheduling method has effectively reduced the total electricity cost and improved load balancing process. The comparison with the particle swarm optimization algorithm further proves that the present method has a promising effect on energy management to save cost.
From Mind to Products:Towards Social Manufacturing and Service
Gang Xiong, Fei-Yue Wang, Timo R. Nyberg, Xiuqin Shang, Mengchu Zhou, Zhen Shen, Shuangshuang Li, Chao Guo
2018, 5(1): 47-57. doi: 10.1109/JAS.2017.7510742
Abstract(2607) HTML (819) PDF(115)
Abstract:
After reviewing the development of industrial manufacturing, a novel concept called social manufacturing (SM) and service are proposed as an innovative manufacturing solution for the coming personalized customization era. SM can realize a customer's requirements of "from mind to products", and fulfill tangible and intangible needs of a prosumer, i.e., producer and consumer at the same time. It represents a manufacturing trend, and is expected to become popular in more and more industries. First, a comparison between mass customization and SM is given out, and the basis and motivation from social network to SM is analyzed. Then, its basic theories and supporting technologies, like Internet of Things (IoT), social networks, cloud computing, 3D printing, and intelligent systems, are introduced and analyzed, and an SM platform prototype is developed. Finally, three transformation modes towards SM and 3D printing are suggested for different user cases.
Analysis of Autopilot Disengagements Occurring During Autonomous Vehicle Testing
Chen Lv, Dongpu Cao, Yifan Zhao, Daniel J. Auger, Mark Sullman, Huaji Wang, Laura Millen Dutka, Lee Skrypchuk, Alexandros Mouzakitis
2018, 5(1): 58-68. doi: 10.1109/JAS.2017.7510745
Abstract(2444) HTML (812) PDF(87)
Abstract:
In present-day highly-automated vehicles, there are occasions when the driving system disengages and the human driver is required to take-over. This is of great importance to a vehicle's safety and ride comfort. In the U.S state of California, the Autonomous Vehicle Testing Regulations require every manufacturer testing autonomous vehicles on public roads to submit an annual report summarizing the disengagements of the technology experienced during testing. On 1 January 2016, seven manufacturers submitted their first disengagement reports:Bosch, Delphi, Google, Nissan, Mercedes-Benz, Volkswagen, and Tesla Motors. This work analyses the data from these disengagement reports with the aim of gaining abetter understanding of the situations in which a driver is required to takeover, as this is potentially useful in improving the Society of Automotive Engineers (SAE) Level 2 and Level 3 automation technologies. Disengagement events from testing are classified into different groups based on attributes and the causes of disengagement are investigated and compared in detail. The mechanisms and time taken for take-over transition occurred in disengagements are studied. Finally, recommendations for OEMs, manufacturers, and government organizations are also discussed.
SPECIAL ISSUE ON IOT-BASED SMART AND COMPLLEX SYSTEMS
IoT-based Smart and Complex Systems:A Guest Editorial Report
Naiqi Wu, Zhiwu Li, Kamel Barkaoui, Xiaoou Li, Tadahiko Murata, MengChu Zhou
2018, 5(1): 69-73. doi: 10.1109/JAS.2017.7510748
Abstract(2439) HTML (788) PDF(169)
Abstract:
A Methodology for Reliability of WSN Based on Software Defined Network in Adaptive Industrial Environment
Ying Duan, Wenfeng Li, Xiuwen Fu, Yun Luo, Lin Yang
2018, 5(1): 74-82. doi: 10.1109/JAS.2017.7510751
Abstract(2638) HTML (817) PDF(95)
Abstract:
As communication technology and smart manufacturing have developed, the industrial internet of things (IIoT) has gained considerable attention from academia and industry. Wireless sensor networks (WSNs) have many advantages with broad applications in many areas including environmental monitoring, which makes it a very important part of IIoT. However, energy depletion and hardware malfunctions can lead to node failures in WSNs. The industrial environment can also impact the wireless channel transmission, leading to network reliability problems, even with tightly coupled control and data planes in traditional networks, which obviously also enhances network management cost and complexity. In this paper, we introduce a new software defined network (SDN), and modify this network to propose a framework called the improved software defined wireless sensor network (improved SD-WSN). This proposed framework can address the following issues. 1) For a large scale heterogeneous network, it solves the problem of network management and smooth merging of a WSN into IIoT. 2) The network coverage problem is solved which improves the network reliability. 3) The framework addresses node failure due to various problems, particularly related to energy consumption. Therefore, it is necessary to improve the reliability of wireless sensor networks, by developing certain schemes to reduce energy consumption and the delay time of network nodes under IIoT conditions. Experiments have shown that the improved approach significantly reduces the energy consumption of nodes and the delay time, thus improving the reliability of WSN.
Data Gathering in Wireless Sensor Networks Via Regular Low Density Parity Check Matrix
Xiaoxia Song, Yong Li
2018, 5(1): 83-91. doi: 10.1109/JAS.2017.7510448
Abstract(2287) HTML (785) PDF(70)
Abstract:
A great challenge faced by wireless sensor networks (WSNs) is to reduce energy consumption of sensor nodes. Fortunately, the data gathering via random sensing can save energy of sensor nodes. Nevertheless, its randomness and density usually result in difficult implementations, high computation complexity and large storage spaces in practical settings. So the deterministic sparse sensing matrices are desired in some situations. However, it is difficult to guarantee the performance of deterministic sensing matrix by the acknowledged metrics. In this paper, we construct a class of deterministic sparse sensing matrices with statistical versions of restricted isometry property (StRIP) via regular low density parity check (RLDPC) matrices. The key idea of our construction is to achieve small mutual coherence of the matrices by confining the column weights of RLDPC matrices such that StRIP is satisfied. Besides, we prove that the constructed sensing matrices have the same scale of measurement numbers as the dense measurements. We also propose a data gathering method based on RLDPC matrix. Experimental results verify that the constructed sensing matrices have better reconstruction performance, compared to the Gaussian, Bernoulli, and CSLDPC matrices. And we also verify that the data gathering via RLDPC matrix can reduce energy consumption of WSNs.
An Intrusion Detection Algorithm for Wireless Networks Based on ASDL
Weijun Zhu, Miaolei Deng, Qinglei Zhou
2018, 5(1): 92-107. doi: 10.1109/JAS.2017.7510754
Abstract(2384) HTML (780) PDF(71)
Abstract:
Wireless networks are more vulnerable to cyberattacks than cable networks. Compared with the misuse intrusion detection techniques based on pattern matching, the techniques based on model checking (MC) have a series of comparative advantages. However, the temporal logics employed in the existing latter techniques cannot express conveniently the complex attacks with synchronization phenomenon. To address this problem, we formalize a novel temporal logic language called attack signature description language (ASDL). On the basis of it, we put forward an ASDL model checking algorithm. Furthermore, we use ASDL programs, which can be considered as temporal logic formulas, to describe attack signatures, and employ other ASDL programs to create an audit log. As a result, the ASDL model checking algorithm can be presented for automatically verifying whether or not the latter programs satisfy the formulas, that is, whether or not the audit log coincides with the attack signatures. Thus, an intrusion detection algorithm based on ASDL is obtained. The case studies and simulations show that the new method can find coordinated chop-chop attacks.
SVM-DT-Based Adaptive and Collaborative Intrusion Detection
Shaohua Teng, Naiqi Wu, Haibin Zhu, Luyao Teng, Wei Zhang
2018, 5(1): 108-118. doi: 10.1109/JAS.2017.7510730
Abstract(2540) HTML (828) PDF(119)
Abstract:
As a primary defense technique, intrusion detection becomes more and more significant since the security of the networks is one of the most critical issues in the world. We present an adaptive collaboration intrusion detection method to improve the safety of a network. A self-adaptive and collaborative intrusion detection model is built by applying the Environmentsclasses, agents, roles, groups, and objects (E-CARGO) model. The objects, roles, agents, and groups are designed by using decision trees (DTs) and support vector machines (SVMs), and adaptive scheduling mechanisms are set up. The KDD CUP 1999 data set is used to verify the effectiveness of the method. The experimental results demonstrate the feasibility and efficiency of the proposed collaborative and adaptive intrusion detection method. Also, the proposed method is shown to be more predominant than the methods that use a set of single type support vector machine (SVM) in terms of detection precision rate and recall rate.
Capture-aware Bayesian RFID Tag Estimate for Large-scale Identification
Haifeng Wu, Yang Wang, Yu Zeng
2018, 5(1): 119-127. doi: 10.1109/JAS.2017.7510757
Abstract(1706) HTML (805) PDF(76)
Abstract:
Dynamic framed slotted Aloha algorithm is one of popular passive radio frequency identification (RFID) tag anticollision algorithms. In the algorithm, a frame length requires dynamical adjustment to achieve higher identification efficiency. Generally, the adjustment of the frame length is not only related to the number of tags, but also to the occurrence probability of capture effect. Existing algorithms could estimate both the number of tags and the probability of capture effect. Under large-scale RFID tag identification, however, the number of tags would be much larger than an initial frame length. In this scenario, the existing algorithm's estimation errors would substantially increase. In this paper, we propose a novel algorithm called capture-aware Bayesian estimate, which adopts Bayesian rules to accurately estimate the number and the probability simultaneously. From numerical results, the proposed algorithm adapts well to the large-scale RFID tag identification. It has lower estimation errors than the existing algorithms. Further, the identification efficiency from the proposed estimate is also higher than the existing algorithms.
RFID-based Production Data Analysis in an IoT-enabled Smart Job-shop
Kai Ding, Pingyu Jiang
2018, 5(1): 128-138. doi: 10.1109/JAS.2017.7510418
Abstract(3065) HTML (857) PDF(95)
Abstract:
Under industry 4.0, internet of things (IoT), especially radio frequency identification (RFID) technology, has been widely applied in manufacturing environment. This technology can bring convenience to production control and production transparency. Meanwhile, it generates increasing production data that are sometimes discrete, uncorrelated, and hard-to-use. Thus, an efficient analysis method is needed to utilize the invaluable data. This work provides an RFID-based production data analysis method for production control in IoT-enabled smart job-shops. The physical configuration and operation logic of IoT-enabled smart job-shop production are firstly described. Based on that, an RFID-based production data model is built to formalize and correlate the heterogeneous production data. Then, an eventdriven RFID-based production data analysis method is proposed to construct the RFID events and judge the process command execution. Furthermore, a near big data approach is used to excavate hidden information and knowledge from the historical production data. A demonstrative case is studied to verify the feasibility of the proposed model and methods. It is expected that our work will provide a different insight into the RFIDbased production data analysis.
Collision-free Scheduling of Multi-bridge Machining Systems:A Colored Traveling Salesman Problem-based Approach
Jun Li, Xianghu Meng, Xing Dai
2018, 5(1): 139-147. doi: 10.1109/JAS.2017.7510415
Abstract(1732) HTML (765) PDF(73)
Abstract:
Multi-bridge machining systems (MBMS) have gained wide applications in industry due to their high production capacity and efficiency. They contain multiple bridge machines working in parallel within their partially overlapping workspaces. Their scheduling problems can be abstracted into a serial-colored travelling salesman problem in which each salesman has some exclusive cities and some cities shared with its neighbor(s). To solve it, we develop a greedy algorithm that selects a neighboring city satisfying proximity. The algorithm allows a salesman to select randomly its shared cities and runs accordingly many times. It can thus be used to solve job scheduling problems for MBMS. Subsequently, a collision-free scheduling method is proposed to address both job scheduling and collision resolution issues of MBMS. It is an extension of the greedy algorithm by introducing time window constraints and a collision resolution mechanism. Thus, the augmented greedy algorithm can try its best to select stepwise a job for an individual machine such that no time overlaps exist between it and the job sequence of the neighboring machine dealt in the corresponding overlapping workspace; and remove such a time overlap only when it is inevitable. Finally, we conduct a case study of a large triplebridge waterjet cutting system by applying the proposed method.
The Formation Control of Multi-agent Systems on a Circle
Qiang Wang, Yuzhen Wang, Huaxiang Zhang
2018, 5(1): 148-154. doi: 10.1109/JAS.2016.7510022
Abstract(2474) HTML (813) PDF(141)
Abstract:
This paper investigates the formation control of a class of multi-agent systems moving on a circle, whose topology is a cyclic graph, and presents several new results for the following two cases:Case I, the agents with single-integrator kinematics, and Case Ⅱ, the agents with double-integrator kinematics. Firstly, for Case I, two control protocols are proposed under which the multiagent systems keep a uniformly-spaced formation. Secondly, we study Case Ⅱ, and a control protocol is designed for this case, then the stability of the formation is proved. Finally, three simulations are studied by using our presented results. The study of illustrative examples with simulations shows that our results as well as designed control protocols work very well in studying the formation control of this class of multi-agent systems.
Gini Coefficient-based Task Allocation for Multi-robot Systems With Limited Energy Resources
Danfeng Wu, Guangping Zeng, Lingguo Meng, Weijian Zhou, Linmin Li
2018, 5(1): 155-168. doi: 10.1109/JAS.2017.7510385
Abstract(2453) HTML (781) PDF(79)
Abstract:
Nowadays, robots generally have a variety of capabilities, which often form a coalition replacing human to work in dangerous environment, such as rescue, exploration, etc. In these operating conditions, the energy supply of robots usually cannot be guaranteed. If the energy resources of some robots are consumed too fast, the number of the future tasks of the coalition will be affected. This paper will develop a novel task allocation method based on Gini coefficient to make full use of limited energy resources of multi-robot system to maximize the number of tasks. At the same time, considering resources consumption, we incorporate the market-based allocation mechanism into our Gini coefficient-based method and propose a hybrid method, which can flexibly optimize the task completion number and the resource consumption according to the application contexts. Experiments show that the multi-robot system with limited energy resources can accomplish more tasks by the proposed Gini coefficient-based method, and the hybrid method can be dynamically adaptive to changes of the work environment and realize the dual optimization goals.
Distributed Tracking Control of a Class of Multi-agent Systems in Non-affine Pure-feedback Form Under a Directed Topology
Yang Yang, Dong Yue
2018, 5(1): 169-180. doi: 10.1109/JAS.2017.7510382
Abstract(2366) HTML (822) PDF(116)
Abstract:
In this paper, we consider a consensus tracking problem of a class of networked multi-agent systems (MASs) in non-affine pure-feedback form under a directed topology. A distributed adaptive tracking consensus control scheme is constructed recursively by the backstepping method, graph theory, neural networks (NNs) and the dynamic surface control (DSC) approach. The key advantage of the proposed control strategy is that, by the DSC technique, it avoids "explosion of complexity" problem along with the increase of the degree of individual agents and thus the computational burden of the scheme can be drastically reduced. Moreover, there is no requirement for prior knowledge about system parameters of individual agents and uncertain dynamics by employing NNs approximation technology. We then further show that, in theory, the designed control policy guarantees the consensus errors to be cooperatively semi-globally uniformly ultimately bounded (CSUUB). Finally, two examples are presented to validate the effectiveness of the proposed control strategy.
Guaranteed Cost Consensus for High-dimensional Multi-agent Systems With Time-varying Delays
Zhong Wang, Ming He, Tang Zheng, Zhiliang Fan, Guangbin Liu
2018, 5(1): 181-189. doi: 10.1109/JAS.2017.7510430
Abstract(1726) HTML (772) PDF(93)
Abstract:
Guaranteed cost consensus analysis and design problems for high-dimensional multi-agent systems with timevarying delays are investigated. The idea of guaranteed cost control is introduced into consensus problems for high-dimensional multi-agent systems with time-varying delays, where a cost function is defined based on state errors among neighboring agents and control inputs of all the agents. By the state space decomposition approach and the linear matrix inequality (LMI), sufficient conditions for guaranteed cost consensus and consensualization are given. Moreover, a guaranteed cost upper bound of the cost function is determined. It should be mentioned that these LMI criteria are dependent on the change rate of time delays and the maximum time delay, the guaranteed cost upper bound is only dependent on the maximum time delay but independent of the Laplacian matrix. Finally, numerical simulations are given to demonstrate theoretical results.
Cyber-Physical-Social System Between a Humanoid Robot and a Virtual Human Through a Shared Platform for Adaptive Agent Ecology
S. M. Mizanoor Rahman
2018, 5(1): 190-203. doi: 10.1109/JAS.2017.7510760
Abstract(2420) HTML (821) PDF(150)
Abstract:
Two artificial agents (a humanoid robot and a virtual human) are enriched with various similar intelligence, autonomy, functionalities and interaction modalities. The agents are integrated in the form of a cyber-physical-social system (CPSS) through a shared communication platform to create a social ecology. In the ecology, the agents collaborate (assist each other) to perform a real-world task (search for a hidden object) for the benefits of humans. A robot-virtual human bilateral trust model is derived and a real-time trust measurement method is developed. The role of taking initiative in the collaboration is switched between the agents following a finite state machine model triggered by bilateral trust, which results in a mixedinitiative collaboration. A scheme is developed to evaluate the performance of the agents in the ecology through the CPSS. The results show that the robot and the virtual human perform satisfactorily in the collaboration through the CPSS. The results thus prove the effectiveness of the real-world ecology between artificial agents of heterogeneous realities through a shared platform based on trust-triggered mixed-initiatives. The results can help develop adaptive social ecology comprising intelligent agents of heterogeneous realities to assist humans in various tasks through collaboration between the agents in the form of a CPSS.
Exploring Latent Semantic Information for Textual Emotion Recognition in Blog Articles
Xin Kang, Fuji Ren, Yunong Wu
2018, 5(1): 204-216. doi: 10.1109/JAS.2017.7510421
Abstract(1836) HTML (810) PDF(58)
Abstract:
Understanding people's emotions through natural language is a challenging task for intelligent systems based on Internet of Things (IoT). The major difficulty is caused by the lack of basic knowledge in emotion expressions with respect to a variety of real world contexts. In this paper, we propose a Bayesian inference method to explore the latent semantic dimensions as contextual information in natural language and to learn the knowledge of emotion expressions based on these semantic dimensions. Our method synchronously infers the latent semantic dimensions as topics in words and predicts the emotion labels in both word-level and document-level texts. The Bayesian inference results enable us to visualize the connection between words and emotions with respect to different semantic dimensions. And by further incorporating a corpus-level hierarchy in the document emotion distribution assumption, we could balance the document emotion recognition results and achieve even better word and document emotion predictions. Our experiment of the wordlevel and the document-level emotion predictions, based on a well-developed Chinese emotion corpus Ren-CECps, renders both higher accuracy and better robustness in the word-level and the document-level emotion predictions compared to the state-of-theart emotion prediction algorithms.
Time-varying Algorithm for Swarm Robotics
Ligang Hou, Fangwen Fan, Jingyan Fu, Jinhui Wang
2018, 5(1): 217-222. doi: 10.1109/JAS.2017.7510685
Abstract(1977) HTML (779) PDF(66)
Abstract:
Ever since the concept of swarm intelligence was brought out, a variety of control algorithms for swarm robotics has been put forward, and many of these algorithms are stable enough and efficient. Most of the researches only take an invariable controller which functions through the whole stage into consideration, the situation in which controller changes over time is rarely taken into account. However, there are limitations for invariable controller dominated algorithms in practical situation, which makes them unable to meet changing environment. On the contrary, variable controller is more flexible and can be able to adapt to complex environment. Considering such advantages, a time-varying algorithm for swarm robotics is presented in this paper. The algorithm takes time as one of the independent variables so that the controller is no longer fixed through the time, but can be changed over time, which brings more choices for the swarm robot system. In this paper, some relevant simulations are designed to test the algorithm. Different control strategies are applied on the same flock during the time, and a more complex, flexible and practical control effect is acquired successfully.
Active Queue Management Exploiting the Rate Information in TCP-IP Networks
Abderrahmane Boudi, Malik Loudini
2018, 5(1): 223-231. doi: 10.1109/JAS.2017.7510763
Abstract(1644) HTML (391) PDF(59)
Abstract:
In this paper, we propose a new mechanism called explicit rate notification (ERN) to be used in end-to-end communications. The ERN scheme encodes in the header of transmission control protocol (TCP) packets information about the sending rate and the round trip time (RTT) of the flows. This new available information to the intermediate nodes (routers) is used to improve fairness, increase utilization, decrease the number of drops, and minimize queueing delays. Thus, it induces a better management of the queue. A comparison of our scheme with preexistent schemes, like the explicit congestion notification scheme, shows the effectiveness of the proposed mechanism.
Distributed Containment Control of Networked Nonlinear Second-order Systems With Unknown Parameters
Long Ma, Haibo Min, Shicheng Wang, Yuan Liu, Zhiguo Liu
2018, 5(1): 232-239. doi: 10.1109/JAS.2016.7510235
Abstract(1948) HTML (422) PDF(49)
Abstract:
In this paper, we study the containment control problem for nonlinear second-order systems with unknown parameters and multiple stationary/dynamic leaders. The topologies that characterize the interaction among the leaders and the followers are directed graphs. Necessary and sufficient criteria which guarantee the control objectives are established for both stationary leaders (regulation case) and dynamic leaders (dynamic tracking case) based protocols. The final states of all the followers are exclusively determined by the initial values of the leaders and the topology structures. In the regulation case, all the followers converge into the convex hull spanned by the leaders, while in the dynamic tracking case, not only the positions of the followers converge into the convex hull but also the velocities of the followers converge into the velocity convex hull of the leaders. Finally, all the theoretical results are illustrated by numerical simulations.
Event-triggered MPC Design for Distributed Systems With Network Communications
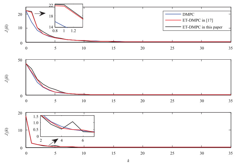
Xiaoxiao Mi, Shaoyuan Li
2018, 5(1): 240-250. doi: 10.1109/JAS.2016.7510154
Abstract(2326) HTML (414) PDF(116)
Abstract:
This paper deals with the communication problem in the distributed system, considering the limited battery power in the wireless network and redundant transmission among nodes. We design an event-triggered model predictive control (ET-MPC) strategy to reduce the unnecessary communication while promising the system performance. On one hand, for a linear discrete time-invariant system, a triggering condition is derived based on the Lyapunov stability. Here, in order to further reduce the communication rate, we enforce a triggering condition only when the Lyapunov function will exceed its value at the last triggered time, but an average decrease is guaranteed. On the other hand, the feasibility is ensured by minimizing and optimizing the terminal constrained set between the maximal control invariant set and the target terminal set. Finally, we provide a simulation to verify the theoretical results. It's shown that the proposed strategy achieves a good trade-off between the closed-loop system performance and communication rate.
Detecting Data-flow Errors Based on Petri Nets With Data Operations
Dongming Xiang, Guanjun Liu, Chungang Yan, Changjun Jiang
2018, 5(1): 251-260. doi: 10.1109/JAS.2017.7510766
Abstract(2234) HTML (443) PDF(215)
Abstract:
In order to guarantee the correctness of business processes, not only control-flow errors but also data-flow errors should be considered. The control-flow errors mainly focus on deadlock, livelock, soundness, and so on. However, there are not too many methods for detecting data-flow errors. This paper defines Petri nets with data operations (PN-DO) that can model the operations on data such as read, write and delete. Based on PN-DO, we define some data-flow errors in this paper. We construct a reachability graph with data operations for each PN-DO, and then propose a method to reduce the reachability graph. Based on the reduced reachability graph, data-flow errors can be detected rapidly. A case study is given to illustrate the effectiveness of our methods.
PAPERS
Development and Evaluation of a 7-DOF Haptic Interface
Jian-Long Hao, Xiao-Liang Xie, Gui-Bin Bian, Zeng-Guang Hou, Xiao-Hu Zhou
2018, 5(1): 261-269. doi: 10.1109/JAS.2017.7510769
Abstract(1570) HTML (396) PDF(143)
Abstract:
With the development of human robot interaction technologies, haptic interfaces are widely used for 3D applications to provide the sense of touch. These interfaces have been utilized in medical simulation, virtual assembly and remote manipulation tasks. However, haptic interface design and control are still critical problems to reproduce the highly sensitive touch sense of humans. This paper presents the development and evaluation of a 7-DOF (degree of freedom) haptic interface based on the modified delta mechanism. Firstly, both kinematics and dynamics of the modified mechanism are analyzed and presented. A novel gravity compensation algorithm based on the physical model is proposed and validated in simulation. A haptic controller is proposed based on the forward kinematics and the gravity compensation algorithm. To evaluate the control performance of the haptic interface, a prototype has been implemented. Three kinds of experiments:gravity compensation, static response and force tracking are performed respectively. The experimental results show that the mean error of the gravity compensation is less than 0.7 N and the maximum continuous force along the axis can be up to 6 N. This demonstrates the good performance of the proposed haptic interface.
Polynomial Approach to Optimal One-wafer Cyclic Scheduling of Treelike Hybrid Multi-Cluster Tools via Petri Nets
Fajun Yang, Naiqi Wu, Yan Qiao, Rong Su
2018, 5(1): 270-280. doi: 10.1109/JAS.2017.7510772
Abstract(2010) HTML (380) PDF(100)
Abstract:
A treelike hybrid multi-cluster tool is composed of both single-arm and dual-arm cluster tools with a treelike topology. Scheduling such a tool is challenging. For a hybrid treelike multi-cluster tool whose bottleneck individual tool is process-bound, this work aims at finding its optimal one-wafer cyclic schedule. It is modeled with Petri nets such that a onewafer cyclic schedule is parameterized as its robots' waiting time. Based on the model, this work proves the existence of its onewafer cyclic schedule that features with the ease of industrial implementation. Then, computationally efficient algorithms are proposed to find the minimal cycle time and optimal onewafer cyclic schedule. Multi-cluster tool examples are given to illustrate the proposed approach. The use of the found schedules enables industrial multi-cluster tools to operate with their highest productivity.
Behavior Consistency Computation for Workflow Nets With Unknown Correspondence
Mimi Wang, Guanjun Liu, Peihai Zhao, Chungang Yan, Changjun Jiang
2018, 5(1): 281-291. doi: 10.1109/JAS.2017.7510775
Abstract(1427) HTML (417) PDF(64)
Abstract:
Consistency degree calculation is established on the basis of known correspondence, but in real life, the correspondence is generally unknown, so how to calculate consistency of two models under unknown correspondence has become a problem. For this condition, we should analyze unknown correspondence due to the influence of different correspondences. In this paper we obtain the relations of transitions based on event relations using branching processes, and build a behavioral matrix of relations. Based on the permutation of behavioral matrix, we express different correspondences, and define a new formula to compute the maximal consistency degree of two workflow nets. Additionally, this paper utilizes an example to show these definitions, computation as well as the advantages.
A Novel Robust Attitude Control for Quadrotor Aircraft Subject to Actuator Faults and Wind Gusts
Guo Yuying, Jiang Bin, Zhang Youmin
2018, 5(1): 292-300. doi: 10.1109/JAS.2017.7510679
Abstract(1929) HTML (407) PDF(235)
Abstract:
A novel robust fault tolerant controller is developed for the problem of attitude control of a quadrotor aircraft in the presence of actuator faults and wind gusts in this paper. Firstly, a dynamical system of the quadrotor taking into account aerodynamical effects induced by lateral wind and actuator faults is considered using the Newton-Euler approach. Then, based on active disturbance rejection control (ADRC), the fault tolerant controller is proposed to recover faulty system and reject perturbations. The developed controller takes wind gusts, actuator faults and measurement noises as total perturbations which are estimated by improved extended state observer (ESO) and compensated by nonlinear feedback control law. So, the developed robust fault tolerant controller can successfully accomplish the tracking of the desired output values. Finally, some simulation studies are given to illustrate the effectiveness of fault recovery of the proposed scheme and also its ability to attenuate external disturbances that are introduced from environmental causes such as wind gusts and measurement noises.
An Adaptive Strategy via Reinforcement Learning for the Prisoner's Dilemma Game
Xue Lei, Changyin Sun, Donald Wunsch, Yingjiang Zhou, Yu Fang
2018, 5(1): 301-310. doi: 10.1109/JAS.2017.7510466
Abstract(1905) HTML (421) PDF(73)
Abstract:
The iterated prisoner's dilemma (IPD) is an ideal model for analyzing interactions between agents in complex networks. It has attracted wide interest in the development of novel strategies since the success of tit-for-tat in Axelrod's tournament. This paper studies a new adaptive strategy of IPD in different complex networks, where agents can learn and adapt their strategies through reinforcement learning method. A temporal difference learning method is applied for designing the adaptive strategy to optimize the decision making process of the agents. Previous studies indicated that mutual cooperation is hard to emerge in the IPD. Therefore, three examples which based on square lattice network and scale-free network are provided to show two features of the adaptive strategy. First, the mutual cooperation can be achieved by the group with adaptive agents under scale-free network, and once evolution has converged mutual cooperation, it is unlikely to shift. Secondly, the adaptive strategy can earn a better payoff compared with other strategies in the square network. The analytical properties are discussed for verifying evolutionary stability of the adaptive strategy.
Parallel Dispatch:A New Paradigm of Electrical Power System Dispatch
JunJason Zhang, Fei-Yue Wang, Qiang Wang, Dazhi Hao, Xiaojing Yang, David Wenzhong Gao, Xiangyang Zhao, Yingchen Zhang
2018, 5(1): 311-319. doi: 10.1109/JAS.2017.7510778
Abstract(1828) HTML (387) PDF(278)
Abstract:
Modern power systems are evolving into sociotechnical systems with massive complexity, whose real-time operation and dispatch go beyond human capability. Thus, the need for developing and applying new intelligent power system dispatch tools are of great practical significance. In this paper, we introduce the overall business model of power system dispatch, the top level design approach of an intelligent dispatch system, and the parallel intelligent technology with its dispatch applications. We expect that a new dispatch paradigm, namely the parallel dispatch, can be established by incorporating various intelligent technologies, especially the parallel intelligent technology, to enable secure operation of complex power grids, extend system operators' capabilities, suggest optimal dispatch strategies, and to provide decision-making recommendations according to power system operational goals.
Feature Selection for Multi-label Classification Using Neighborhood Preservation
Zhiling Cai, William Zhu
2018, 5(1): 320-330. doi: 10.1109/JAS.2017.7510781
Abstract(1392) HTML (421) PDF(86)
Abstract:
Multi-label learning deals with data associated with a set of labels simultaneously. Dimensionality reduction is an important but challenging task in multi-label learning. Feature selection is an efficient technique for dimensionality reduction to search an optimal feature subset preserving the most relevant information. In this paper, we propose an effective feature evaluation criterion for multi-label feature selection, called neighborhood relationship preserving score. This criterion is inspired by similarity preservation, which is widely used in single-label feature selection. It evaluates each feature subset by measuring its capability in preserving neighborhood relationship among samples. Unlike similarity preservation, we address the order of sample similarities which can well express the neighborhood relationship among samples, not just the pairwise sample similarity. With this criterion, we also design one ranking algorithm and one greedy algorithm for feature selection problem. The proposed algorithms are validated in six publicly available data sets from machine learning repository. Experimental results demonstrate their superiorities over the compared state-of-the-art methods.
A Novel Distributed Optimal Adaptive Control Algorithm for Nonlinear Multi-Agent Differential Graphical Games
Majid Mazouchi, Mohammad Bagher Naghibi-Sistani, Seyed Kamal Hosseini Sani
2018, 5(1): 331-341. doi: 10.1109/JAS.2017.7510784
Abstract(1587) HTML (407) PDF(210)
Abstract:
In this paper, an online optimal distributed learning algorithm is proposed to solve leader-synchronization problem of nonlinear multi-agent differential graphical games. Each player approximates its optimal control policy using a single-network approximate dynamic programming (ADP) where only one critic neural network (NN) is employed instead of typical actorcritic structure composed of two NNs. The proposed distributed weight tuning laws for critic NNs guarantee stability in the sense of uniform ultimate boundedness (UUB) and convergence of control policies to the Nash equilibrium. In this paper, by introducing novel distributed local operators in weight tuning laws, there is no more requirement for initial stabilizing control policies. Furthermore, the overall closed-loop system stability is guaranteed by Lyapunov stability analysis. Finally, Simulation results show the effectiveness of the proposed algorithm.
Robust Formation Maneuvers Through Sliding Mode for Multi-agent Systems With Uncertainties
Dianwei Qian, Chengdong Li, SukGyu Lee, Chao Ma
2018, 5(1): 342-351. doi: 10.1109/JAS.2017.7510787
Abstract(1642) HTML (423) PDF(149)
Abstract:
This paper develops a robust control method for formation maneuvers of a multi-agent system. The multi-agent system is leader-follower-based, where the graph theory is utilized to describe the information exchange among the agents. The control method is exercised via sliding mode methodology where each agent is subjected to uncertainties. The technique of nonlinear disturbance observer is adopted in order to overcome the adverse effects of the uncertainties. Assuming that the uncertainties have an unknown bound, the formation stability conditions are investigated according to a given communication topology. In the sense of Lyapunov, not only the formation maneuvers of the multi-agent system have guaranteed stability, but the desired formations of the agents are also realized. Compared with other two control approaches, i.e., the basic sliding mode approach and the fuzzy sliding mode approach, some numerical results are presented to illustrate the effectiveness, performance and validity of the robust control method for formation maneuvers in the presence of uncertainties.
Suboptimal Robust Stabilization of Discrete-time Mismatched Nonlinear System
Niladri Sekhar Tripathy, Indra Narayan Kar, Kolin Paul
2018, 5(1): 352-359. doi: 10.1109/JAS.2017.7510676
Abstract(1509) HTML (411) PDF(92)
Abstract:
This paper proposes a discrete-time robust control technique for an uncertain nonlinear system. The uncertainty mainly affects the system dynamics due to mismatched parameter variation which is bounded by a predefined known function. In order to compensate the effect of uncertainty, a robust control input is derived by formulating an equivalent optimal control problem for a virtual nominal system with a modified costfunctional. To derive the stabilizing control law for a mismatched system, this paper introduces another control input named as virtual input. This virtual input is not applied directly to stabilize the uncertain system, rather it is used to define a sufficient condition. To solve the nonlinear optimal control problem, a discretetime general Hamilton-Jacobi-Bellman (DT-GHJB) equation is considered and it is approximated numerically through a neural network (NN) implementation. The approximated solution of DTGHJB is used to compute the suboptimal control input for the virtual system. The suboptimal inputs for the virtual system ensure the asymptotic stability of the closed-loop uncertain system. A numerical example is illustrated with simulation results to prove the efficacy of the proposed control algorithm.
An Iterative Relaxation Approach to the Solution of the Hamilton-Jacobi-Bellman-Isaacs Equation in Nonlinear Optimal Control
M. D. S. Aliyu
2018, 5(1): 360-366. doi: 10.1109/JAS.2017.7510682
Abstract(1534) HTML (397) PDF(50)
Abstract:
In this paper, we propose an iterative relaxation method for solving the Hamilton-Jacobi-Bellman-Isaacs equation (HJBIE) arising in deterministic optimal control of affine nonlinear systems. Local convergence of the method is established under fairly mild assumptions, and examples are solved to demonstrate the effectiveness of the method. An extension of the approach to Lyapunov equations is also discussed. The preliminary results presented are promising, and it is hoped that the approach will ultimately develop into an efficient computational tool for solving the HJBIEs.
Robust Adaptive Gain Higher Order Sliding Mode Observer Based Control-constrained Nonlinear Model Predictive Control for Spacecraft Formation Flying
Ranjith Ravindranathan Nair, Laxmidhar Behera
2018, 5(1): 367-381. doi: 10.1109/JAS.2016.7510253
Abstract(1834) HTML (396) PDF(173)
Abstract:
This work deals with the development of a decentralized optimal control algorithm, along with a robust observer, for the relative motion control of spacecraft in leader-follower based formation. An adaptive gain higher order sliding mode observer has been proposed to estimate the velocity as well as unmeasured disturbances from the noisy position measurements. A differentiator structure containing the Lipschitz constant and Lebesgue measurable control input, is utilized for obtaining the estimates. Adaptive tuning algorithms are derived based on Lyapunov stability theory, for updating the observer gains, which will give enough flexibility in the choice of initial estimates. Moreover, it may help to cope with unexpected state jerks. The trajectory tracking problem is formulated as a finite horizon optimal control problem, which is solved online. The control constraints are incorporated by using a nonquadratic performance functional. An adaptive update law has been derived for tuning the step size in the optimization algorithm, which may help to improve the convergence speed. Moreover, it is an attractive alternative to the heuristic choice of step size for diverse operating conditions. The disturbance as well as state estimates from the higher order sliding mode observer are utilized by the plant output prediction model, which will improve the overall performance of the controller. The nonlinear dynamics defined in leader fixed Euler-Hill frame has been considered for the present work and the reference trajectories are generated using Hill-Clohessy-Wiltshire equations of unperturbed motion. The simulation results based on rigorous perturbation analysis are presented to confirm the robustness of the proposed approach.
Bionic Quadruped Robot Dynamic Gait Control Strategy Based on Twenty Degrees of Freedom
Dawei Gong, Peng Wang, Shuangyu Zhao, Li Du, Yu Duan
2018, 5(1): 382-388. doi: 10.1109/JAS.2017.7510790
Abstract(1784) HTML (413) PDF(113)
Abstract:
Quadruped robot dynamic gaits have much more advantages than static gaits on speed and efficiency, however high speed and efficiency calls for more complex mechanical structure and complicated control algorithm. It becomes even more challenging when the robot has more degrees of freedom. As a result, most of the present researches focused on simple robot, while the researches on dynamic gaits for complex robot with more degrees of freedom are relatively limited. The paper is focusing on the dynamic gaits control for complex robot with twenty degrees of freedom for the first time. Firstly, we build a relatively complete 3D model for quadruped robot based on spring loaded inverted pendulum (SLIP) model, analyze the inverse kinematics of the model, plan the trajectory of the swing foot and analyze the hydraulic drive. Secondly, we promote the control algorithm of one-legged to the quadruped robot based on the virtual leg and plan the state variables of pace gait and bound gait. Lastly, we realize the above two kinds of dynamic gaits in ADAMS-MATLAB joint simulation platform which testify the validity of above method.