A journal of IEEE and CAA , publishes high-quality papers in English on original theoretical/experimental research and development in all areas of automation

Vol. 9,  No. 2, 2022

Display Method:
REVIEW
Sampling Methods for Efficient Training of Graph Convolutional Networks: A Survey
Xin Liu, Mingyu Yan, Lei Deng, Guoqi Li, Xiaochun Ye, Dongrui Fan
2022, 9(2): 205-234. doi: 10.1109/JAS.2021.1004311
Abstract(4513) HTML (863) PDF(299)
Abstract:
Graph convolutional networks (GCNs) have received significant attention from various research fields due to the excellent performance in learning graph representations. Although GCN performs well compared with other methods, it still faces challenges. Training a GCN model for large-scale graphs in a conventional way requires high computation and storage costs. Therefore, motivated by an urgent need in terms of efficiency and scalability in training GCN, sampling methods have been proposed and achieved a significant effect. In this paper, we categorize sampling methods based on the sampling mechanisms and provide a comprehensive survey of sampling methods for efficient training of GCN. To highlight the characteristics and differences of sampling methods, we present a detailed comparison within each category and further give an overall comparative analysis for the sampling methods in all categories. Finally, we discuss some challenges and future research directions of the sampling methods.
PAPERS
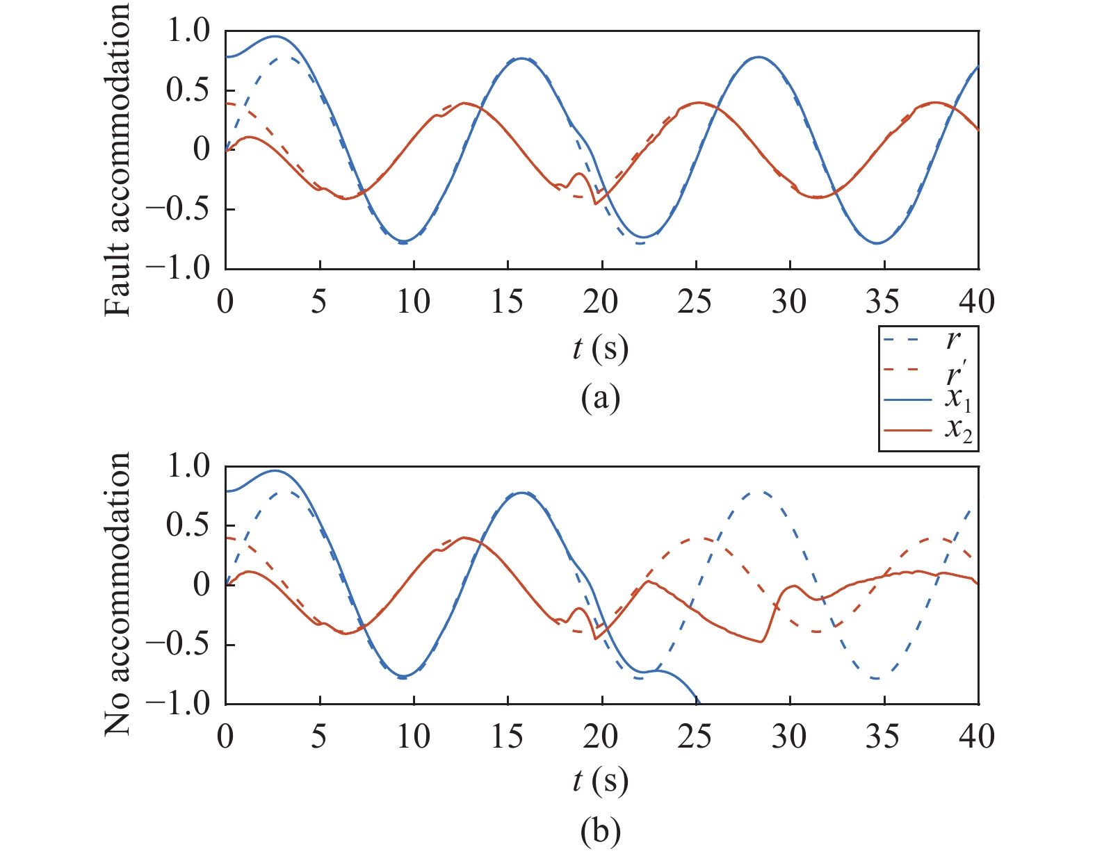
Fault Accommodation for a Class of Nonlinear Uncertain Systems With Event-Triggered Input
Dong Zhao, Marios M. Polycarpou
2022, 9(2): 235-245. doi: 10.1109/JAS.2021.1004314
Abstract(2671) HTML (439) PDF(161)
Abstract:
The event-triggered fault accommodation problem for a class of nonlinear uncertain systems is considered in this paper. The control signal transmission from the controller to the system is determined by an event-triggering scheme with relative and constant triggering thresholds. Considering the event-induced control input error and system fault threat, a novel event-triggered active fault accommodation scheme is designed, which consists of an event-triggered nominal controller for the time period before detecting the occurrence of faults and an adaptive approximation based event-triggered fault accommodation scheme for handling the unknown faults after detecting the occurrence of faults. The closed-loop stability and inter-event time of the proposed fault accommodation scheme are rigorously analyzed. Special cases for the fault accommodation design under constant triggering threshold are also derived. An example is employed to illustrate the effectiveness of the proposed fault accommodation scheme.
Precise Agriculture: Effective Deep Learning Strategies to Detect Pest Insects
Luca Butera, Alberto Ferrante, Mauro Jermini, Mauro Prevostini, Cesare Alippi
2022, 9(2): 246-258. doi: 10.1109/JAS.2021.1004317
Abstract(3664) HTML (725) PDF(262)
Abstract:
Pest insect monitoring and control is crucial to ensure a safe and profitable crop growth in all plantation types, as well as guarantee food quality and limited use of pesticides. We aim at extending traditional monitoring by means of traps, by involving the general public in reporting the presence of insects by using smartphones. This includes the largely unexplored problem of detecting insects in images that are taken in non-controlled conditions. Furthermore, pest insects are, in many cases, extremely similar to other species that are harmless. Therefore, computer vision algorithms must not be fooled by these similar insects, not to raise unmotivated alarms. In this work, we study the capabilities of state-of-the-art (SoA) object detection models based on convolutional neural networks (CNN) for the task of detecting beetle-like pest insects on non-homogeneous images taken outdoors by different sources. Moreover, we focus on disambiguating a pest insect from similar harmless species. We consider not only detection performance of different models, but also required computational resources. This study aims at providing a baseline model for this kind of tasks. Our results show the suitability of current SoA models for this application, highlighting how FasterRCNN with a MobileNetV3 backbone is a particularly good starting point for accuracy and inference execution latency. This combination provided a mean average precision score of 92.66% that can be considered qualitatively at least as good as the score obtained by other authors that adopted more specific models.
Maximizing Convergence Speed for Second Order Consensus in Leaderless Multi-Agent Systems
Gianvito Difilippo, Maria Pia Fanti, Agostino Marcello Mangini
2022, 9(2): 259-269. doi: 10.1109/JAS.2021.1004320
Abstract(2839) HTML (451) PDF(123)
Abstract:
The paper deals with the consensus problem in a leaderless network of agents that have to reach a common velocity while forming a uniformly spaced string. Moreover, the final common velocity (reference velocity) is determined by the agents in a distributed and leaderless way. Then, the consensus protocol parameters are optimized for networks characterized by a communication topology described by a class of directed graphs having a directed spanning tree, in order to maximize the convergence rate and avoid oscillations. The advantages of the optimized consensus protocol are enlightened by some simulation results and comparison with a protocol proposed in the related literature. The presented protocol can be applied to coordinate agents such as mobile robots, automated guided vehicles (AGVs) and autonomous vehicles that have to move with the same velocity and a common inter-space gap.
Exponential Set-Point Stabilization of Underactuated Vehicles Moving in Three-Dimensional Space
Xiaodong He, Zhiyong Sun, Zhiyong Geng, Anders Robertsson
2022, 9(2): 270-282. doi: 10.1109/JAS.2021.1004323
Abstract(2566) HTML (450) PDF(83)
Abstract:
This paper investigates the stabilization of underactuated vehicles moving in a three-dimensional vector space. The vehicle’s model is established on the matrix Lie group SE(3), which describes the configuration of rigid bodies globally and uniquely. We focus on the kinematic model of the underactuated vehicle, which features an underactuation form that has no sway and heave velocity. To compensate for the lack of these two velocities, we construct additional rotation matrices to generate a motion of rotation coupled with translation. Then, the state feedback is designed with the help of the logarithmic map, and we prove that the proposed control law can exponentially stabilize the underactuated vehicle to the identity group element with an almost global domain of attraction. Later, the presented control strategy is extended to set-point stabilization in the sense that the underactuated vehicle can be stabilized to an arbitrary desired configuration specified in advance. Finally, simulation examples are provided to verify the effectiveness of the stabilization controller.
An Adaptive Rapidly-Exploring Random Tree
Binghui Li, Badong Chen
2022, 9(2): 283-294. doi: 10.1109/JAS.2021.1004252
Abstract(2524) HTML (500) PDF(104)
Abstract:
Sampling-based planning algorithms play an important role in high degree-of-freedom motion planning (MP) problems, in which rapidly-exploring random tree (RRT) and the faster bidirectional RRT (named RRT-Connect) algorithms have achieved good results in many planning tasks. However, sampling-based methods have the inherent defect of having difficultly in solving planning problems with narrow passages. Therefore, several algorithms have been proposed to overcome these drawbacks. As one of the improved algorithms, Rapidly-exploring random vines (RRV) can achieve better results, but it may perform worse in cluttered environments and has a certain environmental selectivity. In this paper, we present a new improved planning method based on RRT-Connect and RRV, named adaptive RRT-Connect (ARRT-Connect), which deals well with the narrow passage environments while retaining the ability of RRT algorithms to plan paths in other environments. The proposed planner is shown to be adaptable to a variety of environments and can accomplish path planning in a short time.
Aerodynamic Effects Compensation on Multi-Rotor UAVs Based on a Neural Network Control Allocation Approach
Sarah P. Madruga, Augusto H. B. M. Tavares, Saulo O. D. Luiz, Tiago P. do Nascimento, Antonio Marcus N. Lima
2022, 9(2): 295-312. doi: 10.1109/JAS.2021.1004266
Abstract(4927) HTML (970) PDF(170)
Abstract:
This paper shows that the aerodynamic effects can be compensated in a quadrotor system by means of a control allocation approach using neural networks. Thus, the system performance can be improved by replacing the classic allocation matrix, without using the aerodynamic inflow equations directly. The network training is performed offline, which requires low computational power. The target system is a Parrot MAMBO drone whose flight control is composed of PD-PID controllers followed by the proposed neural network control allocation algorithm. Such a quadrotor is particularly susceptible to the aerodynamics effects of interest to this work, because of its small size. We compared the mechanical torques commanded by the flight controller, i.e., the control input, to those actually generated by the actuators and established at the aircraft. It was observed that the proposed neural network was able to closely match them, while the classic allocation matrix could not achieve that. The allocation error was also determined in both cases. Furthermore, the closed-loop performance also improved with the use of the proposed neural network control allocation, as well as the quality of the thrust and torque signals, in which we perceived a much less noisy behavior.
Domain-Invariant Similarity Activation Map Contrastive Learning for Retrieval-Based Long-Term Visual Localization
Hanjiang Hu, Hesheng Wang, Zhe Liu, Weidong Chen
2022, 9(2): 313-328. doi: 10.1109/JAS.2021.1003907
Abstract(3982) HTML (923) PDF(90)
Abstract:
Visual localization is a crucial component in the application of mobile robot and autonomous driving. Image retrieval is an efficient and effective technique in image-based localization methods. Due to the drastic variability of environmental conditions, e.g., illumination changes, retrieval-based visual localization is severely affected and becomes a challenging problem. In this work, a general architecture is first formulated probabilistically to extract domain-invariant features through multi-domain image translation. Then, a novel gradient-weighted similarity activation mapping loss (Grad-SAM) is incorporated for finer localization with high accuracy. We also propose a new adaptive triplet loss to boost the contrastive learning of the embedding in a self-supervised manner. The final coarse-to-fine image retrieval pipeline is implemented as the sequential combination of models with and without Grad-SAM loss. Extensive experiments have been conducted to validate the effectiveness of the proposed approach on the CMU-Seasons dataset. The strong generalization ability of our approach is verified with the RobotCar dataset using models pre-trained on urban parts of the CMU-Seasons dataset. Our performance is on par with or even outperforms the state-of-the-art image-based localization baselines in medium or high precision, especially under challenging environments with illumination variance, vegetation, and night-time images. Moreover, real-site experiments have been conducted to validate the efficiency and effectiveness of the coarse-to-fine strategy for localization.
Computation of Minimal Siphons in Petri Nets Using Problem Partitioning Approaches
Dan You, Oussama Karoui, Shouguang Wang
2022, 9(2): 329-338. doi: 10.1109/JAS.2021.1004326
Abstract(2625) HTML (484) PDF(94)
Abstract:
A large amount of research has shown the vitality of siphon enumeration in the analysis and control of deadlocks in various resource-allocation systems modeled by Petri nets (PNs). In this paper, we propose an algorithm for the enumeration of minimal siphons in PN based on problem decomposition. The proposed algorithm is an improved version of the global partitioning minimal-siphon enumeration (GPMSE) proposed by Cordone et al. (2005) in IEEE Transactions on Systems, Man, and Cybernetics—Part A: Systems and Humans, which is widely used in the literature to compute minimal siphons. The experimental results show that the proposed algorithm consumes lower computational time and memory compared with GPMSE, which becomes more evident when the size of the handled net grows.
Scribble-Supervised Video Object Segmentation
Peiliang Huang, Junwei Han, Nian Liu, Jun Ren, Dingwen Zhang
2022, 9(2): 339-353. doi: 10.1109/JAS.2021.1004210
Abstract(3726) HTML (972) PDF(169)
Abstract:
Recently, video object segmentation has received great attention in the computer vision community. Most of the existing methods heavily rely on the pixel-wise human annotations, which are expensive and time-consuming to obtain. To tackle this problem, we make an early attempt to achieve video object segmentation with scribble-level supervision, which can alleviate large amounts of human labor for collecting the manual annotation. However, using conventional network architectures and learning objective functions under this scenario cannot work well as the supervision information is highly sparse and incomplete. To address this issue, this paper introduces two novel elements to learn the video object segmentation model. The first one is the scribble attention module, which captures more accurate context information and learns an effective attention map to enhance the contrast between foreground and background. The other one is the scribble-supervised loss, which can optimize the unlabeled pixels and dynamically correct inaccurate segmented areas during the training stage. To evaluate the proposed method, we implement experiments on two video object segmentation benchmark datasets, YouTube-video object segmentation (VOS), and densely annotated video segmentation (DAVIS)-2017. We first generate the scribble annotations from the original per-pixel annotations. Then, we train our model and compare its test performance with the baseline models and other existing works. Extensive experiments demonstrate that the proposed method can work effectively and approach to the methods requiring the dense per-pixel annotations.
Distributed Control of Nonholonomic Robots Without Global Position Measurements Subject to Unknown Slippage Constraints
Hao Zhang, Jianwen Sun, Zhuping Wang
2022, 9(2): 354-364. doi: 10.1109/JAS.2021.1004329
Abstract(2699) HTML (509) PDF(120)
Abstract:
This paper studies the fully distributed formation control problem of multi-robot systems without global position measurements subject to unknown longitudinal slippage constraints. It is difficult for robots to obtain accurate and stable global position information in many cases, such as when indoors, tunnels and any other environments where GPS (global positioning system) is denied, thus it is meaningful to overcome the dependence on global position information. Additionally, unknown slippage, which is hard to avoid for wheeled robots due to the existence of ice, sand, or muddy roads, can not only affect the control performance of wheeled robot, but also limits the application scene of wheeled mobile robots. To solve both problems, a fully distributed finite time state observer which does not require any global position information is proposed, such that each follower robot can estimate the leader’s states within finite time. The distributed adaptive controllers are further designed for each follower robot such that the desired formation can be achieved while overcoming the effect of unknown slippage. Finally, the effectiveness of the proposed observer and control laws are verified by simulation results.
A Model-Based Unmatched Disturbance Rejection Control Approach for Speed Regulation of a Converter-Driven DC Motor Using Output-Feedback
Lu Zhang, Jun Yang, Shihua Li
2022, 9(2): 365-376. doi: 10.1109/JAS.2021.1004213
Abstract(3223) HTML (589) PDF(197)
Abstract:
The speed regulation problem with only speed measurement is investigated in this paper for a permanent magnet direct current (DC) motor driven by a buck converter. By lumping all unknown matched/unmatched disturbances and uncertainties together, the traditional active disturbance rejection control (ADRC) approach provides an intuitive solution for the problem under consideration. However, for such a higher-order disturbed system, the increase of poles for the extended state observer (ESO) therein will lead to drastically growth of observer gains, which causes severe noise amplification. This paper aims to propose a new model-based disturbance rejection controller for the converter-driven DC motor system using output-feedback. Instead of estimating lumped disturbances directly, a new observer is constructed to estimate the desired steady state of control signal as well as errors between the real states and their desired steady-state responses. Thereafter, a controller with only speed measurement is proposed by utilizing the estimates. The performance of the proposed method is tested through experiments on dSPACE. It is further shown via numerical calculations and experimental results that the poles of the observer within the proposed control approach can be largely increased without significantly increasing magnitude of the observer gains.