A journal of IEEE and CAA , publishes high-quality papers in English on original theoretical/experimental research and development in all areas of automation
Volume 9 Issue 2
Feb.  2022

IEEE/CAA Journal of Automatica Sinica

  • JCR Impact Factor: 19.2, Top 1 (SCI Q1)
    CiteScore: 28.2, Top 1% (Q1)
    Google Scholar h5-index: 95, TOP 5
Turn off MathJax
Article Contents
L. Zhang, J. Yang, and S. H. Li, “A model-based unmatched disturbance rejection control approach for speed regulation of a converter-driven DC motor using output-feedback,” IEEE/CAA J. Autom. Sinica, vol. 9, no. 2, pp. 365–376, Feb. 2022. doi: 10.1109/JAS.2021.1004213
Citation: L. Zhang, J. Yang, and S. H. Li, “A model-based unmatched disturbance rejection control approach for speed regulation of a converter-driven DC motor using output-feedback,” IEEE/CAA J. Autom. Sinica, vol. 9, no. 2, pp. 365–376, Feb. 2022. doi: 10.1109/JAS.2021.1004213

A Model-Based Unmatched Disturbance Rejection Control Approach for Speed Regulation of a Converter-Driven DC Motor Using Output-Feedback

doi: 10.1109/JAS.2021.1004213
Funds:  This work was supported in part by the Natural Science Foundation of China (61973080, 61973081), by the Aviation Key Laboratory of Science and Technology on Aero Electromechanical System Integration (201928069002) and the Key R&D Plan of Jiangsu Province (BE2020082-4)
More Information
  • The speed regulation problem with only speed measurement is investigated in this paper for a permanent magnet direct current (DC) motor driven by a buck converter. By lumping all unknown matched/unmatched disturbances and uncertainties together, the traditional active disturbance rejection control (ADRC) approach provides an intuitive solution for the problem under consideration. However, for such a higher-order disturbed system, the increase of poles for the extended state observer (ESO) therein will lead to drastically growth of observer gains, which causes severe noise amplification. This paper aims to propose a new model-based disturbance rejection controller for the converter-driven DC motor system using output-feedback. Instead of estimating lumped disturbances directly, a new observer is constructed to estimate the desired steady state of control signal as well as errors between the real states and their desired steady-state responses. Thereafter, a controller with only speed measurement is proposed by utilizing the estimates. The performance of the proposed method is tested through experiments on dSPACE. It is further shown via numerical calculations and experimental results that the poles of the observer within the proposed control approach can be largely increased without significantly increasing magnitude of the observer gains.

     

  • loading
  • [1]
    J. Shao, D. Nolan, M. Teissier, and D. Swanson, “A novel microcontroller-based sensorless brushless DC (BLDC) motor drive for automotive fuel pumps,” IEEE Trans. Ind. Appl., vol. 39, no. 6, pp. 1734–1740, Nov./Dec. 2003. doi: 10.1109/TIA.2003.818973
    [2]
    D. Das, N. Kumaresan, V. Nayanar, K. Navin Sam, and N. Ammasai Gounden, “Development of BLDC motor-based elevator system for DC microgrid,” IEEE/ASME Trans. Mechatron., vol. 21, no. 3, pp. 1552–1560, Jun. 2016. doi: 10.1109/TMECH.2015.2506818
    [3]
    S. Bhattacharyya, A. Konar, and D. N. Tibarewala, “Motor imagery and error related potential induced position control of a robotic arm,” IEEE/CAA J. Autom. Sinica, vol. 4, no. 4, pp. 639–650, Oct. 2017. doi: 10.1109/JAS.2017.7510616
    [4]
    J. Linares-Flores and H. Sira-Ramírez, “DC motor velocity control through a DC-to-DC power converter, ” in Proc. IEEE 43rd Conf. Decision Control, Dec. 2004, pp. 5297–5302.
    [5]
    T. D. Do, H. H. Chio, and J.-W. Jung, “θ-D approximation technique for nonlinear optimal speed control design of surface-mounted PMSM drives,” IEEE/ASME Trans. Mechatron., vol. 20, no. 4, pp. 1822–1831, Aug. 2015. doi: 10.1109/TMECH.2014.2356138
    [6]
    J. Wang, S. Li, J. Yang, B. Wu, and Q. Li, “Finite-time disturbance observer based non-singular terminal slidingmode control for pulse width modulation based DC-DC buck converters with mismatched load disturbances,” IET Power Electron., vol. 9, no. 9, pp. 1995–2002, Jul. 2016. doi: 10.1049/iet-pel.2015.0178
    [7]
    T. Sebastian, “Temperature effects on torque production and efficiency of PM motors using Ndfeb magnets,” IEEE Trans. Ind. Appl., vol. 31, no. 2, pp. 353–357, Mar./Apr. 1995. doi: 10.1109/28.370284
    [8]
    S. Chai, L. Zhang, and E. Rogers, “A cascade MPC control structure for PMSM with speed ripple minimization,” IEEE Trans. Ind. Electron., vol. 60, no. 8, pp. 2978–2987, Aug. 2013. doi: 10.1109/TIE.2012.2201432
    [9]
    A. Apte, U. Thakar, and V. Joshi, “Disturbance observer based speed control of PMSM using fractional order PI controller,” IEEE/CAA J. Autom. Sinica, vol. 6, no. 1, pp. 316–326, Jan. 2019. doi: 10.1109/JAS.2019.1911354
    [10]
    D. M. Dawson, J. J. Carroll, and M. Schneider, “Integrator backstepping control of a brush DC motor turning a robotic load,” IEEE Trans. Control Syst. Technol., vol. 2, no. 3, pp. 233–244, Sep. 1994. doi: 10.1109/87.317980
    [11]
    F. Antritter, P. Maurer, and J. Reger, “Flatness based control of a buck-converter driven DC motor, ” in Proc. 4th IFAC Symp. Mechatron. Syst., Sep. 2006, pp. 36–41.
    [12]
    W. Qi, G. Zong, and H. R. Karim, “Observer-based adaptive SMC for nonlinear uncertain singular semi-markov jump systems with applications to DC motor,” IEEE Trans. Circuits Syst. I,Reg. Papers, vol. 65, no. 9, pp. 2951–2960, Sept. 2018. doi: 10.1109/TCSI.2018.2797257
    [13]
    H. Sira-Ramirez and M. A. Oliver-Salazar, “On the robust control of buck-converter DC-motor combinations,” IEEE Trans. Power Electron., vol. 28, no. 8, pp. 3912–3922, Aug. 2013. doi: 10.1109/TPEL.2012.2227806
    [14]
    D. Shi, J. Xue, L. Zhao, J. Wang, and Y. Huang, “Eventtriggered active disturbance rejection control of DC torque motors,” IEEE/ASME Trans. Mechatron., vol. 22, no. 5, pp. 2277–2287, Oct. 2017. doi: 10.1109/TMECH.2017.2748887
    [15]
    J. Han, “From PID to active disturbance rejection control,” IEEE Trans. Ind. Electron., vol. 56, no. 3, pp. 900–906, Mar. 2009. doi: 10.1109/TIE.2008.2011621
    [16]
    Y. Yang, J. Tan, and D. Yue, “Prescribed performance control of one-DOF link manipulator with uncertainties and input saturation constraint,” IEEE/CAA J. Autom. Sinica, vol. 6, no. 1, pp. 148–157, Jan. 2019. doi: 10.1109/JAS.2018.7511099
    [17]
    S. Li, J. Yang, W.-H. Chen, and X. S. Chen, Disturbance Observer Based Control: Methods and Applications. Boca Raton, FL, USA: CRC Press, 2014.
    [18]
    M. Ruderman, A. Ruderman, and T. Bertram, “Observerbased compensation of additive periodic torque disturbances in permanent magnet motors,” IEEE Trans. Ind. Inf., vol. 9, no. 2, pp. 1130–1138, May 2013. doi: 10.1109/TII.2012.2222040
    [19]
    H. Chu, W. Tao, B. Gao, Q. Liu, and H. Chen, “Speed control of the permanent-magnet DC motor subjected to uncertainty and disturbance,” In Proc. 35th Chinese Control Conf. (CCC), IEEE, pp. 4664–4669, 2016.
    [20]
    H. Chu, B. Gao, W. Gu, and H. Chen, “Low-speed control for permanent-magnet DC torque motor using observer-based nonlinear triple-step controller,” IEEE Trans. Ind. Electron., vol. 64, no. 4, pp. 3286–3896, Apr. 2017. doi: 10.1109/TIE.2016.2598298
    [21]
    J. Linares-Flores and H. Sira-Ramírez, “A smooth starter for a DC machine: A flatness based approach, ” in Proc. 1st Conf. Electr. Electron. Eng., Sep. 2004, pp. 589–594.
    [22]
    J. Yang, H. Wu, L. Hu, and S. Li, “Robust predictive speed regulation of converter-driven DC motors via a discrete-time reduced-order GPIO,” IEEE Trans. Ind. Electron., vol. 66, no. 10, pp. 7893–7902, Oct. 2019. doi: 10.1109/TIE.2018.2878119
    [23]
    S. Li, J. Yang, W.-H. Chen, and X. Chen, “Generalized extended state observer based control for systems with mismatched uncertainties,” IEEE Tran. Ind. Electron., vol. 59, no. 12, pp. 4792–4802, Dec. 2012. doi: 10.1109/TIE.2011.2182011
    [24]
    A. Isidori and C. Byrnes, “Output regulation of nonlinear systems,” IEEE Trans. Autom. Control, vol. 35, no. 2, pp. 131–140, Feb. 1990. doi: 10.1109/9.45168
    [25]
    Z. Chen and J. Huang, Stabilization and Regulation of Nonlinear Systems. Cham, Switzerland: Springer, 2015.
    [26]
    D. Qian, H. Ding, S. Lee, and H. Bae, “Suppression of chaotic behaviors in a complex biological system by disturbance observer based derivative-integral terminal sliding mode,” IEEE/CAA J. Autom. Sinica, vol. 7, no. 1, pp. 126–135, Jan. 2020. doi: 10.1109/JAS.2019.1911834
    [27]
    L. Wang and J. Su, “Trajectory tracking of vertical take-off and landing unmanned aerial vehicles based on disturbance rejection control,” IEEE/CAA J. Autom. Sinica, vol. 2, no. 1, pp. 65–73, Jan. 2015. doi: 10.1109/JAS.2015.7032907
    [28]
    S. Butt and H. Aschemann, “Adaptive backstepping control for an engine cooling system with guaranteed parameter convergence under mismatched parameter uncertainties,” Control Eng. Pract., vol. 64, pp. 195–204, Jul. 2017. doi: 10.1016/j.conengprac.2017.03.002
    [29]
    L. Zhang, J. Yang, and S. Li, “Output feedback disturbance rejection control for DC-DC buck converter-DC motor system subject to unmatched load torques, ” in Proc. 44th Annual Conf. IEEE Ind. Electron. Society, Oct. 2018, pp. 625–630.
    [30]
    N. Bianchi and S. Bolognani, “Design techniques for reducing the cogging torque in surface-mounted PM motors,” IEEE Trans. Ind. Appl., vol. 38, no. 5, pp. 1259–1265, Sep. 2002. doi: 10.1109/TIA.2002.802989
    [31]
    Q. Zheng and Z. Gao, “Active disturbance rejection control: Between the formulation in time and the understanding in frequency,” Control Theory Tech., vol. 14, no. 3, pp. 250–259, Aug. 2016. doi: 10.1007/s11768-016-6059-9
    [32]
    H. Khalil, Nonlinear Systems, 3rd ed. Upper Saddle River, NJ, USA: Prentice-Hall, 2002.
    [33]
    Q. Zheng, L. Q. Gao, and Z. Gao, “ On stability analysis of active disturbane rejection control for nonlinear timevarying plants with unknown dynamics, ” in Proc. IEEE 46th Conf. Decision Control, Dec. 2007, pp. 12–14.

Catalog

    通讯作者: 陈斌, bchen63@163.com
    • 1. 

      沈阳化工大学材料科学与工程学院 沈阳 110142

    1. 本站搜索
    2. 百度学术搜索
    3. 万方数据库搜索
    4. CNKI搜索

    Figures(9)  / Tables(5)

    Article Metrics

    Article views (2990) PDF downloads(197) Cited by()

    Highlights

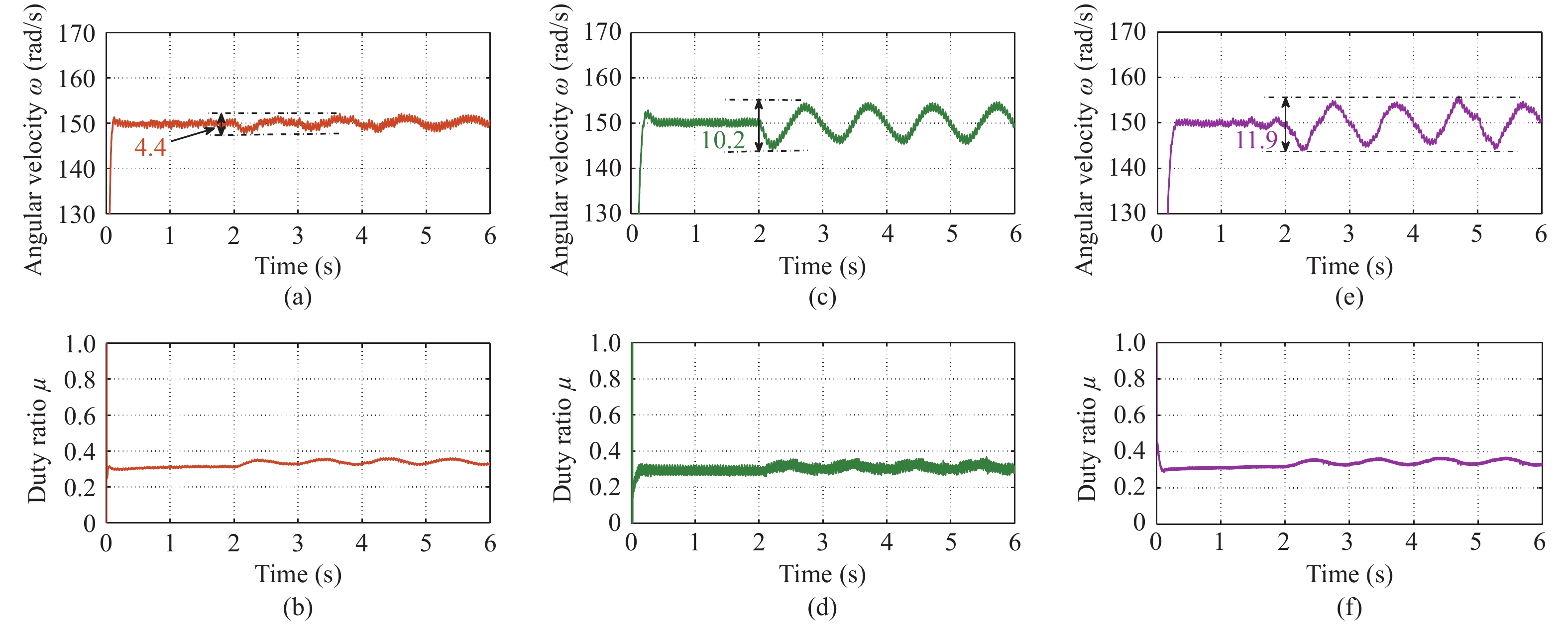
    • The explicit relationship between the observer gains and the assigned poles has been developed for both the proposed method and the active disturbance rejection control (ADRC) method. The results show that the observer gains under the proposed observer are much lower than the traditional ADRC method provided that they have the same observer poles. This feature allows for better performance balance between noise attenuation and disturbance rejection of the proposed method
    • This paper is concerned with unmatched disturbance rejections via output-feedback control. The potential difficulty for designing an output-feedback disturbance rejection controller is that it is quite challenging to estimate both the unknown states and unmatched disturbances simultaneously. Consequently, we provide a thorough comparison with the existing traditional ADRC approach, which is a well-known output-feedback disturbance rejection controller, from different aspects including with a methodological perspective, delicate theoretical analysis and experimental comparisons
    • The performance of the proposed control method is tested through experiments on dSPACE. It is further shown via numerical calculations and experimental results that the poles of the observer within the proposed control approach can be largely increased without significantly increasing magnitude of the observer gains

    /

    DownLoad:  Full-Size Img  PowerPoint
    Return
    Return