A journal of IEEE and CAA , publishes high-quality papers in English on original theoretical/experimental research and development in all areas of automation
Volume 10 Issue 11
Nov.  2023

IEEE/CAA Journal of Automatica Sinica

  • JCR Impact Factor: 19.2, Top 1 (SCI Q1)
    CiteScore: 28.2, Top 1% (Q1)
    Google Scholar h5-index: 95, TOP 5
Turn off MathJax
Article Contents
X. L. Wang, L. M. Liu, L. Duan, and  Q. Liao,  “Multi-objective optimization for an industrial grinding and classification process based on PBM and RSM,” IEEE/CAA J. Autom. Sinica, vol. 10, no. 11, pp. 2124–2135, Nov. 2023. doi: 10.1109/JAS.2023.123333
Citation: X. L. Wang, L. M. Liu, L. Duan, and  Q. Liao,  “Multi-objective optimization for an industrial grinding and classification process based on PBM and RSM,” IEEE/CAA J. Autom. Sinica, vol. 10, no. 11, pp. 2124–2135, Nov. 2023. doi: 10.1109/JAS.2023.123333

Multi-Objective Optimization for an Industrial Grinding and Classification Process Based on PBM and RSM

doi: 10.1109/JAS.2023.123333
Funds:  This work was supported in part by the National Natural Science Foundation of China (62073342) and the National Key Research and Development Program of China (2018YFB1701100)
More Information
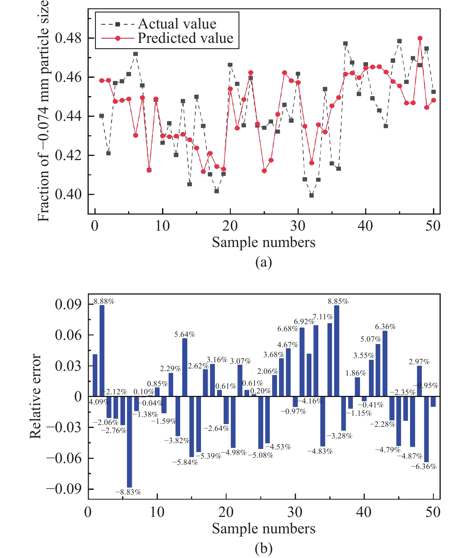
  • The grinding and classification process is one of the key sub-processes in mineral processing, which influences the final process indexes significantly and determines energy and ball consumption of the whole plant. Therefore, optimal control of the process has been very important in practice. In order to stabilize the grinding index and improve grinding capacity in the process, a process model based on population balance model (PBM) is calibrated in this study. The correlation between the mill power and the operating variables in the grinding process is modelled by using the response surface method (RSM), which solves the problem where the traditional power modeling method relies on some unobservable mechanism-related parameters. On this basis, a multi-objective optimization model is established to maximize the useful power of the grinding circuit to improve the throughput of the grinding operation and improve the fraction of –0.074 mm particles in the hydrocyclone overflow to smooth the subsequent flotation operation. The elite non-dominated sorting genetic algorithm-II (NSGA-II) is then employed to solve the multi-objective optimization problem. Finally, subjective and objective weighting methods and integrated multi-attribute decision-making methods are used to select the optimal solution on the Pareto optimal solution set. The results demonstrate that the throughput of the mill and the fraction of –0.074 mm particles in the overflow of the cyclone are increased by 3.83 t/h and 2.53%, respectively.

     

  • loading
  • [1]
    J. Ding, C. Yang, and T. Chai, “Recent progress on data-based optimization for mineral processing plants,” Engineering, vol. 3, no. 2, pp. 183–187, Apr. 2017.
    [2]
    D. Wei and I. K. Craig, “Grinding mill circuits—A survey of control and economic concerns,” International Journal of Mineral Processing, vol. 90, no. 1–4, pp. 56–66, Feb. 2009. doi: 10.1016/j.minpro.2008.10.009
    [3]
    D. Hodouin, “Methods for automatic control, observation and optimization in mineral processing plants,” Journal of Process Control, vol. 21, no. 2, pp. 211–225, Feb. 2011. doi: 10.1016/j.jprocont.2010.10.016
    [4]
    J. D. Rouux and I. K. Craig, “Plant-wide control framework for a grinding mill circuit,” Industrial &Engineering Chemistry Research, vol. 58, no. 26, pp. 11585–11600, Mar. 2019.
    [5]
    P. Momaya and K. Mitra, “Advanced process control of ore beneficiation in mineral processing plants,” Proceedings of Intl. Symp. Proc. Sys. Engg. and Cntrl, vol. 3, pp. 3–4, Jan. 2003.
    [6]
    X. Chen, Q. Li, and S. Fei, “Supervisory expert control for ball mill grinding circuits,” Expert Systems with Applications, vol. 34, no. 3, pp. 1877–1885, Apr. 2008. doi: 10.1016/j.eswa.2007.02.013
    [7]
    K. Brooks, M. Westcott, and M. Bauer, “A combined MPC for milling and flotation—A simulation study,” IFAC-PapersOnLine, vol. 52, no. 14, pp. 24–29, 2019. doi: 10.1016/j.ifacol.2019.09.158
    [8]
    L. Ziolkowski, J. D. leRoux, and I. K. Craig, “Optimizing grinding mill performance using extremum seeking control,” IFAC-PapersOnLine, vol. 54, no. 11, pp. 43–48, 2021.
    [9]
    M. S. Powell, A. P. van der Westhuizen, and A. N. Mainzab, “Applying grindcurves to mill operation and optimization,” Minerals Engineering, vol. 22, no. 7–8, pp. 625–632, Jun.–Jul. 2009.
    [10]
    X. Lu, M. Krstić, T. Chai, and J. Fu, “Hardware-in-the-loop multiobjective extremum-seeking control of mineral grinding,” IEEE Trans. Control Systems Technology, vol. 29, no. 3, pp. 961–971, May 2021. doi: 10.1109/TCST.2020.2982353
    [11]
    Y. Tian, R. Cheng, X. Zhang, and Y. Jin, “PlatEMO: A MATLAB platform for evolutionary multi-objective optimization,” IEEE Computational Intelligence Magazine, vol. 12, no. 4, pp. 73–87, Nov. 2017.
    [12]
    P. Zhou, S. Lu, M. Yuan, and T. Chai, “Survey on higher-level advanced control for grinding circuits operation,” Powder Technology, vol. 288, pp. 324–338, Jan. 2016. doi: 10.1016/j.powtec.2015.11.010
    [13]
    K. Mitra and R. Gopinath, “Multiobjective optimization of an industrial grinding operation using elitist nondominated sorting genetic algorithm,” Chemical Engineering Science, vol. 59, no. 2, pp. 385–396, Jan. 2004.
    [14]
    K. Deb, A. Pratap, S. Agarwal, and T. Meyarivan, “A fast and elitist multiobjective genetic algorithm: NSGA-II,” IEEE Trans. Evolutionary Computation, vol. 6, no. 2, pp. 182–197, Apr. 2002.
    [15]
    K. Mitra and S. Majumder, “Successive approximate model based multi-objective optimization for an industrial straight grate iron ore induration process using evolutionary algorithm,” Chemical Engineering Science, vol. 66, no. 15, pp. 3471–3481, Aug. 2011. doi: 10.1016/j.ces.2011.03.041
    [16]
    A. Farzanegan and S. M. Vahidipour, “Optimization of comminution circuit simulations based on genetic algorithms search method,” Minerals Engineering, vol. 22, no. 7–8, pp. 719–726, Jun.–Jul. 2009.
    [17]
    J. Ding, H. Wang, C. Liu, and T. Chai, “A multiobjective operational optimization approach for iron ore beneficiation process,”in Proc. Int. Conf. Advanced Mechatronic Systems, 2013, pp. 582–587.
    [18]
    G. Yu, T. Chai, and X. Luo, “Two-level production plan decomposition based on a hybrid MOEA for mineral processing,” IEEE Trans. Automation Science and Engineering, vol. 10, no. 4, pp. 1050–1071, Oct. 2013. doi: 10.1109/TASE.2012.2221458
    [19]
    B. Sun, C. Yang, H. Zhu, Y. Li, and W. Gui, “Modeling, optimization, and control of solution purification process in zinc hydrometallurgy,” IEEE/CAA J. Autom. Sinica, vol. 5, no. 2, pp. 564–576, Mar. 2018. doi: 10.1109/JAS.2017.7510844
    [20]
    X. Zhou, C. Yang, and W. Gui, “State transition algorithm,” Journal of Industrial and Management Optimization, vol. 8, no. 4, pp. 1039–1056, 2012. doi: 10.3934/jimo.2012.8.1039
    [21]
    Z. Wang and B. Chen, “Present state and development trend for ball mill load measurement,” Chinese Powder Science and Technology, vol. 7, no. 1, pp. 19–23, 2001.
    [22]
    Z. Deng and J. Wang, “Research on the intelligent control of mill load based on RBF neural network,” Mining Research and Development, vol. 38, no. 2, pp. 89–94, Feb. 2018.
    [23]
    P. W. Cleary and R. D. Morrison, “Comminution mechanisms, particle shape evolution and collision energy partitioning in tumbling mills,” Minerals Engineering, vol. 86, pp. 75–95, Feb. 2016. doi: 10.1016/j.mineng.2015.12.006
    [24]
    X. Wang, Y. Wang, C. Yang D. Xu, and W. Gui, “Hybrid modeling of an industrial grinding-classification process,” Powder Technology, vol. 279, pp. 75–85, Jul. 2015. doi: 10.1016/j.powtec.2015.03.031
    [25]
    J. Kwon, J. Jeong, and H. Cho, “Simulation and optimization of a two-stage ball mill grinding circuit of molybdenum ore,” Advanced Powder Technology, vol. 27, no. 4, pp. 1073–1085, Jul. 2016. doi: 10.1016/j.apt.2016.03.016
    [26]
    J. Liu, C. Yang, and Y. Wang, “Research and application for spiral classification process mathematic model,” Computer Engineering and Applications, vol. 46, no. 4, pp. 230–232, Aug. 2008.
    [27]
    H. Xie and S. Li, “An improvement of calculation method on classification efficiency,” Nonferrous Metals, vol. 42, pp. 39–45, 1990.
    [28]
    X. Pang, “Calculation method of separation particle size of hydrocyclone,” Mining and Metallurgical Engineering, vol. 6, no. 1, pp. 24–29, Aug. 1986.
    [29]
    O. Celep, N. Aslan, and I. Alp, “Optimization of some parameters of stirred mill for ultra-fine grinding of refractory Au/Ag ores,” Powder Technology, vol. 208, no. 1, pp. 121–127, Mar. 2011. doi: 10.1016/j.powtec.2010.12.009
    [30]
    Y. Mao, B. Chen, and J. Gao, “Factors affecting ball mill’s active power and grinding efficiency,” Mining and Metallurgical Engineering, vol. 20, no. 4, pp. 48–50, Apr. 2000.
    [31]
    M. Alemi-Ardakani, A. S. Milani, S. Yannacopoulos, and G. Shokouhi, “On the effect of subjective, objective and combinative weighting in multiple criteria decision making: A case study on impact optimization of composites,” Expert Systems with Applications, vol. 46, no. 15, pp. 426–438.

Catalog

    通讯作者: 陈斌, bchen63@163.com
    • 1. 

      沈阳化工大学材料科学与工程学院 沈阳 110142

    1. 本站搜索
    2. 百度学术搜索
    3. 万方数据库搜索
    4. CNKI搜索

    Figures(13)  / Tables(4)

    Article Metrics

    Article views (1352) PDF downloads(98) Cited by()

    Highlights

    • The mapping relationship between mill power and load is considered
    • The mill power model based on Response Surface Method is established
    • A multi-objective optimization model for maximizing power and product quality is established to improve throughput and grinding quality
    • The Multi-attribute decision criteria are used to determine the optimal set point

    /

    DownLoad:  Full-Size Img  PowerPoint
    Return
    Return