A journal of IEEE and CAA , publishes high-quality papers in English on original theoretical/experimental research and development in all areas of automation
Volume 9 Issue 10
Oct.  2022

IEEE/CAA Journal of Automatica Sinica

  • JCR Impact Factor: 19.2, Top 1 (SCI Q1)
    CiteScore: 28.2, Top 1% (Q1)
    Google Scholar h5-index: 95, TOP 5
Turn off MathJax
Article Contents
N. Tan, P. Yu, Z. Y. Zhong, and F. L. Ni, “A new noise-tolerant dual-neural-network scheme for robust kinematic control of robotic arms with unknown models,” IEEE/CAA J. Autom. Sinica, vol. 9, no. 10, pp. 1778–1791, Oct. 2022. doi: 10.1109/JAS.2022.105869
Citation: N. Tan, P. Yu, Z. Y. Zhong, and F. L. Ni, “A new noise-tolerant dual-neural-network scheme for robust kinematic control of robotic arms with unknown models,” IEEE/CAA J. Autom. Sinica, vol. 9, no. 10, pp. 1778–1791, Oct. 2022. doi: 10.1109/JAS.2022.105869

A New Noise-Tolerant Dual-Neural-Network Scheme for Robust Kinematic Control of Robotic Arms With Unknown Models

doi: 10.1109/JAS.2022.105869
Funds:  This work was partially supported by the National Natural Science Foundation of China (62173352, 62103112), the Guangdong Basic and Applied Basic Research Foundation (2021A1515012314), the Open Project of Shenzhen Institute of Artificial Intelligence and Robotics for Society (AC01202005006), and the Key-Area Research and Development Program of Guangzhou (202007030004)
More Information
  • Taking advantage of their inherent dexterity, robotic arms are competent in completing many tasks efficiently. As a result of the modeling complexity and kinematic uncertainty of robotic arms, model-free control paradigm has been proposed and investigated extensively. However, robust model-free control of robotic arms in the presence of noise interference remains a problem worth studying. In this paper, we first propose a new kind of zeroing neural network (ZNN), i.e., integration-enhanced noise-tolerant ZNN (IENT-ZNN) with integration-enhanced noise-tolerant capability. Then, a unified dual IENT-ZNN scheme based on the proposed IENT-ZNN is presented for the kinematic control problem of both rigid-link and continuum robotic arms, which improves the performance of robotic arms with the disturbance of noise, without knowing the structural parameters of the robotic arms. The finite-time convergence and robustness of the proposed control scheme are proven by theoretical analysis. Finally, simulation studies and experimental demonstrations verify that the proposed control scheme is feasible in the kinematic control of different robotic arms and can achieve better results in terms of accuracy and robustness.

     

  • loading
  • [1]
    C. Duriez, “Control of elastic soft robots based on real-time finite element method,” in Proc. IEEE Int. Conf. Robotics and Automation, 2013, pp. 3982–3987.
    [2]
    M. Giorelli, F. Renda, M. Calisti, A. Arienti, G. Ferri, and C. Laschi, “Neural network and Jacobian method for solving the inverse statics of a cable-driven soft arm with nonconstant curvature,” IEEE Trans. Robotics, vol. 31, no. 4, pp. 823–834, 2015. doi: 10.1109/TRO.2015.2428511
    [3]
    Y. Jin, Y. Wang, X. Chen, Z. Wang, X. Liu, H. Jiang, and X. Chen, “Model-less feedback control for soft manipulators,” in Proc. IEEE Int. Conf. Intelligent Robots and Systems, 2017, pp. 2916–2922.
    [4]
    E. Coevoet, A. Escande, and C. Duriez, “Optimization-based inverse model of soft robots with contact handling,” IEEE Robotics and Automation Letters, vol. 2, no. 3, pp. 1413–1419, 2017. doi: 10.1109/LRA.2017.2669367
    [5]
    D. Guo and Y. Zhang, “A new inequality-based obstacle-avoidance MVN scheme and its application to redundant robot manipulators,” IEEE Trans. Systems,Man and Cybernetics Part C: Applications and Reviews, vol. 42, no. 6, pp. 1326–1340, 2012. doi: 10.1109/TSMCC.2012.2183868
    [6]
    L. Jin, S. Li, L. Xiao, R. Lu, and B. Liao, “Cooperative motion generation in a distributed network of redundant robot manipulators with noises,” IEEE Trans. Systems,Man,and Cybernetics: Systems, vol. 48, no. 10, pp. 1715–1724, 2018. doi: 10.1109/TSMC.2017.2693400
    [7]
    A. H. Khan, Z. Shao, S. Li, Q. Wang, and N. Guan, “Which is the best PID variant for pneumatic soft robots an experimental study?” IEEE/CAA J. Autom. Sinica, vol. 7, no. 2, pp. 451–460, 2020. doi: 10.1109/JAS.2020.1003045
    [8]
    S. Wang, J. Housden, T. Bai, H. Liu, J. Back, D. Singh, K. Rhode, Z. G. Hou, and F.-Y. Wang, “Robotic intra-operative ultrasound: Virtual environments and parallel systems,” IEEE/CAA J. Autom. Sinica, vol. 8, no. 5, pp. 1095–1106, 2021. doi: 10.1109/JAS.2021.1003985
    [9]
    D. Guo and Y. Zhang, “Li-function activated ZNN with finite-time convergence applied to redundant-manipulator kinematic control via time-varying Jacobian matrix pseudoinversion,” Applied Soft Computing J., vol. 24, pp. 158–168, 2014. doi: 10.1016/j.asoc.2014.06.045
    [10]
    Z. Zhang, L. Zheng, J. Yu, Y. Li, and Z. Yu, “Three recurrent neural networks and three numerical methods for solving a repetitive motion planning scheme of redundant robot manipulators,” IEEE/ASME Trans. Mechatronics, vol. 22, no. 3, pp. 1423–1434, 2017. doi: 10.1109/TMECH.2017.2683561
    [11]
    S. Cobos-Guzman, D. Palmer, and D. Axinte, “Kinematic model to control the end-effector of a continuum robot for multi-axis processing,” Robotica, vol. 35, no. 1, pp. 224–240, 2017. doi: 10.1017/S0263574715000946
    [12]
    V. Falkenhahn, A. Hildebrandt, R. Neumann, and O. Sawodny, “Dynamic control of the bionic handling assistant,” IEEE/ASME Trans. Mechatronics, vol. 22, no. 1, pp. 6–17, 2017. doi: 10.1109/TMECH.2016.2605820
    [13]
    W. Chang, Y. Li, and S. Tong, “Adaptive fuzzy backstepping tracking control for flexible robotic manipulator,” IEEE/CAA J. Autom. Sinica, vol. 8, no. 12, pp. 1923–1930, 2021. doi: 10.1109/JAS.2017.7510886
    [14]
    Z. Li, S. Li, and X. Luo, “An overview of calibration technology of industrial robots,” IEEE/CAA J. Autom. Sinica, vol. 8, no. 1, pp. 23–36, 2021. doi: 10.1109/JAS.2020.1003381
    [15]
    M. C. Yip and D. B. Camarillo, “Model-less feedback control of continuum manipulators in constrained environments,” IEEE Trans. Robotics, vol. 30, no. 4, pp. 880–889, 2014. doi: 10.1109/TRO.2014.2309194
    [16]
    M. C. Yip and D. B. Camarillo, “Model-less hybrid position/force control: A minimalist approach for continuum manipulators in unknown, constrained environments,” IEEE Robotics and Automation Letters, vol. 1, no. 2, pp. 844–851, 2016. doi: 10.1109/LRA.2016.2526062
    [17]
    H. T. Kalidindi, T. G. Thuruthel, C. Laschi, and E. Falotico, “Cerebellum-inspired approach for adaptive kinematic control of soft robots,” in Proc. IEEE Int. Conf. Soft Robotics, 2019, pp. 684–689.
    [18]
    M. Yang, Y. Zhang, Z. Zhang, and H. Hu, “Adaptive discrete ZND models for tracking control of redundant manipulator,” IEEE Trans. Industrial Informatics, 2020. DOI: 10.1109/TII.2020.2976844
    [19]
    K. H. Lee, D. K. Fu, M. C. Leong, M. Chow, H. C. Fu, K. Althoefer, K. Y. Sze, C. K. Yeung, and K. W. Kwok, “Nonparametric online learning control for soft continuum robot: An enabling technique for effective endoscopic navigation,” Soft Robotics, vol. 4, no. 4, pp. 324–337, 2017. doi: 10.1089/soro.2016.0065
    [20]
    T. G. Thuruthel, E. Falotico, M. Manti, A. Pratesi, M. Cianchetti, and C. Laschi, “Learning closed loop kinematic controllers for continuum manipulators in unstructured environments,” Soft Robotics, vol. 4, no. 3, pp. 285–296, 2017. doi: 10.1089/soro.2016.0051
    [21]
    M. Li, R. Kang, D. T. Branson, and J. S. Dai, “Model-free control for continuum robots based on an adaptive Kalman filter,” IEEE/ASME Trans. Mechatronics, vol. 23, no. 1, pp. 286–297, 2018. doi: 10.1109/TMECH.2017.2775663
    [22]
    X. Luo, Y. Yuan, M. Zhou, Z. Liu, and M. Shang, “Non-negative latent factor model based on β-divergence for recommender systems,” IEEE Trans. Systems,Man,and Cybernetics: Systems, vol. 51, no. 8, pp. 4612–4623, 2021. doi: 10.1109/TSMC.2019.2931468
    [23]
    Z. Zhang, Z. Li, Y. Zhang, Y. Luo, and Y. Li, “Neural-dynamic-methodbased dual-arm CMG scheme with time-varying constraints applied to humanoid robots,” IEEE Trans. Neural Networks and Learning Systems, vol. 26, no. 12, pp. 3251–3262, 2015. doi: 10.1109/TNNLS.2015.2469147
    [24]
    D. Chen, Y. Zhang, and S. Li, “Tracking control of robot manipulators with unknown models: A Jacobian-matrix-adaption method,” IEEE Trans. Industrial Informatics, vol. 14, no. 7, pp. 3044–3053, 2018. doi: 10.1109/TII.2017.2766455
    [25]
    J. Li, Y. Zhang, S. Li, and M. Mao, “New discretization-formula-based zeroing dynamics for real-time tracking control of serial and parallel manipulators,” IEEE Trans. Industrial Informatics, vol. 14, no. 8, pp. 3416–3425, 2018. doi: 10.1109/TII.2017.2780892
    [26]
    L. Xiao, B. Liao, S. Li, Z. Zhang, L. Ding, and L. Jin, “Design and analysis of FTZNN applied to the real-time solution of a nonstationary Lyapunov equation and tracking control of a wheeled mobile manipulator,” IEEE Trans. Industrial Informatics, vol. 14, no. 1, pp. 98–105, 2018. doi: 10.1109/TII.2017.2717020
    [27]
    H. Lu, L. Jin, X. Luo, B. Liao, D. Guo, and L. Xiao, “RNN for solving perturbed time-varying underdetermined linear system with double bound limits on residual errors and state variables,” IEEE Trans. Industrial Informatics, vol. 15, no. 11, pp. 5931–5942, 2019. doi: 10.1109/TII.2019.2909142
    [28]
    S. Lyu and C. C. Cheah, “Data-driven learning for robot control with unknown Jacobian,” Automatica, vol. 120, p. 109120, 2020.
    [29]
    Y. Zhang and D. Guo, Zhang Functions and Various Models. Berlin, Germany: Springer-Verlag, 2015.
    [30]
    D. Chen and Y. Zhang, “Robust zeroing neural-dynamics and its time-varying disturbances suppression model applied to mobile robot manipulators,” IEEE Trans. Neural Networks and Learning Systems, vol. 29, no. 9, pp. 4385–4397, 2018. doi: 10.1109/TNNLS.2017.2764529
    [31]
    Z. Xie, L. Jin, X. Luo, B. Hu, and S. Li, “An acceleration-level datadriven repetitive motion planning scheme for kinematic control of robots with unknown structure,” IEEE Trans. Systems,Man,and Cybernetics: Systems, pp. 1–13, 2021.
    [32]
    G. Zong, H. Ren, and H. R. Karimi, “Event-triggered communication and annular finite-time H filtering for networked switched systems,” IEEE Trans. Cybernetics, vol. 51, no. 1, pp. 309–317, 2021. doi: 10.1109/TCYB.2020.3010917
    [33]
    H. Ren, G. Zong, and T. Li, “Event-triggered finite-time control for networked switched linear systems with asynchronous switching,” IEEE Trans. Systems,Man,and Cybernetics: Systems, vol. 48, no. 11, pp. 1874–1884, 2018. doi: 10.1109/TSMC.2017.2789186
    [34]
    Z. Zhao and Z. Liu, “Finite-time convergence disturbance rejection control for a flexible Timoshenko manipulator,” IEEE/CAA J. Autom. Sinica, vol. 8, no. 1, pp. 157–168, 2021. doi: 10.1109/JAS.2020.1003378
    [35]
    B. Liao, Y. Zhang, and L. Jin, “Taylor O(h3) discretization of ZNN models for dynamic equality-constrained quadratic programming with application to manipulators,” IEEE Trans. Neural Networks and Learning Systems, vol. 27, no. 2, pp. 225–237, 2016. doi: 10.1109/TNNLS.2015.2435014
    [36]
    L. Jin, Y. Zhang, S. Li, and Y. Zhang, “Noise-tolerant ZNN models for solving time-varying zero-finding problems: A control-theoretic approach,” IEEE Trans. Autom. Control, vol. 62, no. 2, pp. 992–997, 2017. doi: 10.1109/TAC.2016.2566880
    [37]
    L. Xiao, B. Liao, S. Li, and K. Chen, “Nonlinear recurrent neural networks for finite-time solution of general time-varying linear matrix equations,” Neural Networks, vol. 98, pp. 102–113, 2018. doi: 10.1016/j.neunet.2017.11.011
    [38]
    L. Xiao, L. Jia, Y. Zhang, Z. Hu, and J. Dai, “Finite-time convergence and robustness analysis of two nonlinear activated ZNN models for time-varying linear matrix equations,” IEEE Access, vol. 7, pp. 135133–135144, 2019. doi: 10.1109/ACCESS.2019.2941961
    [39]
    W. Li, L. Xiao, and B. Liao, “A finite-time convergent and noiserejection recurrent neural network and its discretization for dynamic nonlinear equations solving,” IEEE Trans. Cybernetics, vol. 50, no. 7, pp. 3195–3207, 2020. doi: 10.1109/TCYB.2019.2906263
    [40]
    Q. Xiang, W. Li, B. Liao, and Z. Huang, “Noise-resistant discretetime neural dynamics for computing time-dependent Lyapunov equation,” IEEE Access, vol. 6, pp. 45359–45371, 2018. doi: 10.1109/ACCESS.2018.2863736
    [41]
    W. Li, “Design and analysis of a novel finite-time convergent and noisetolerant recurrent neural network for time-variant matrix inversion,” IEEE Trans. Systems,Man,and Cybernetics: Systems, vol. 50, no. 11, pp. 4362–4376, 2020. doi: 10.1109/TSMC.2018.2853598
    [42]
    L. Xiao, “Design and analysis of robust nonlinear neural dynamics for solving dynamic nonlinear equation within finite time,” Nonlinear Dynamics, vol. 96, no. 4, pp. 2437–2447, 2019. doi: 10.1007/s11071-019-04932-8
    [43]
    Z. Tan, W. Li, L. Xiao, and Y. Hu, “New varying-parameter ZNN models with finite-time convergence and noise suppression for timevarying matrix moore-penrose inversion,” IEEE Trans. Neural Networks and Learning Systems, vol. PP, no. 1, pp. 1–13, 2019.
    [44]
    L. Xiao, Y. Zhang, J. Dai, K. Chen, S. Yang, W. Li, B. Liao, L. Ding, and J. Li, “A new noise-tolerant and predefined-time ZNN model for time-dependent matrix inversion,” Neural Networks, vol. 117, pp. 124–134, 2019. doi: 10.1016/j.neunet.2019.05.005
    [45]
    Z. Tan, Y. Hu, L. Xiao, and K. Chen, “Robustness analysis and robotic application of combined function activated RNN for time-varying matrix pseudo inversion,” IEEE Access, vol. 7, pp. 33434–33440, 2019. doi: 10.1109/ACCESS.2019.2904605
    [46]
    L. Jin, Y. Zhang, and S. Li, “Integration-enhanced Zhang neural network for real-time-varying matrix inversion in the presence of various kinds of noises,” IEEE Trans. Neural Networks and Learning Systems, vol. 27, no. 12, pp. 2615–2627, 2016. doi: 10.1109/TNNLS.2015.2497715
    [47]
    K. Imagawa, T. Emaru, Y. Hoshino, and Y. Kobayashi, “Estimation of velocity and acceleration by nonlinear filter based on sliding mode and application to control system,” in Proc. 3rd Asia Int. Symposium Mechatronics, 2018, pp. 226–231.
    [48]
    J. Yang, J. Na, H. Yu, G. Gao, and X. Wang, “Unknown system dynamics estimator for motion control of nonlinear robotic systems,” IEEE Trans. Industrial Electronics, vol. 67, no. 5, pp. 3850–3859, 2020. doi: 10.1109/TIE.2019.2920604
    [49]
    G. Li, D. Song, S. Xu, L. Sun, and J. Liu, “A hybrid model and modelfree position control for a reconfigurable manipulator,” IEEE/ASME Trans. Mechatronics, vol. 24, no. 2, pp. 785–795, 2019. doi: 10.1109/TMECH.2019.2893227
    [50]
    N. Tan, P. Yu, X. Zhang, and T. Wang, “Model-free motion control of continuum robots based on a zeroing neurodynamic approach,” Neural Networks, vol. 133, pp. 21–31, 2021. doi: 10.1016/j.neunet.2020.10.005

Catalog

    通讯作者: 陈斌, bchen63@163.com
    • 1. 

      沈阳化工大学材料科学与工程学院 沈阳 110142

    1. 本站搜索
    2. 百度学术搜索
    3. 万方数据库搜索
    4. CNKI搜索

    Figures(20)  / Tables(4)

    Article Metrics

    Article views (816) PDF downloads(99) Cited by()

    Highlights

    • A new IENT-ZNN model with better convergence and robustness is designed
    • A model-free control system is devised based on the IENT-ZNN for rigid-link and continuum robots
    • The finite-time convergence and noise-tolerant capability of the proposed method are proven
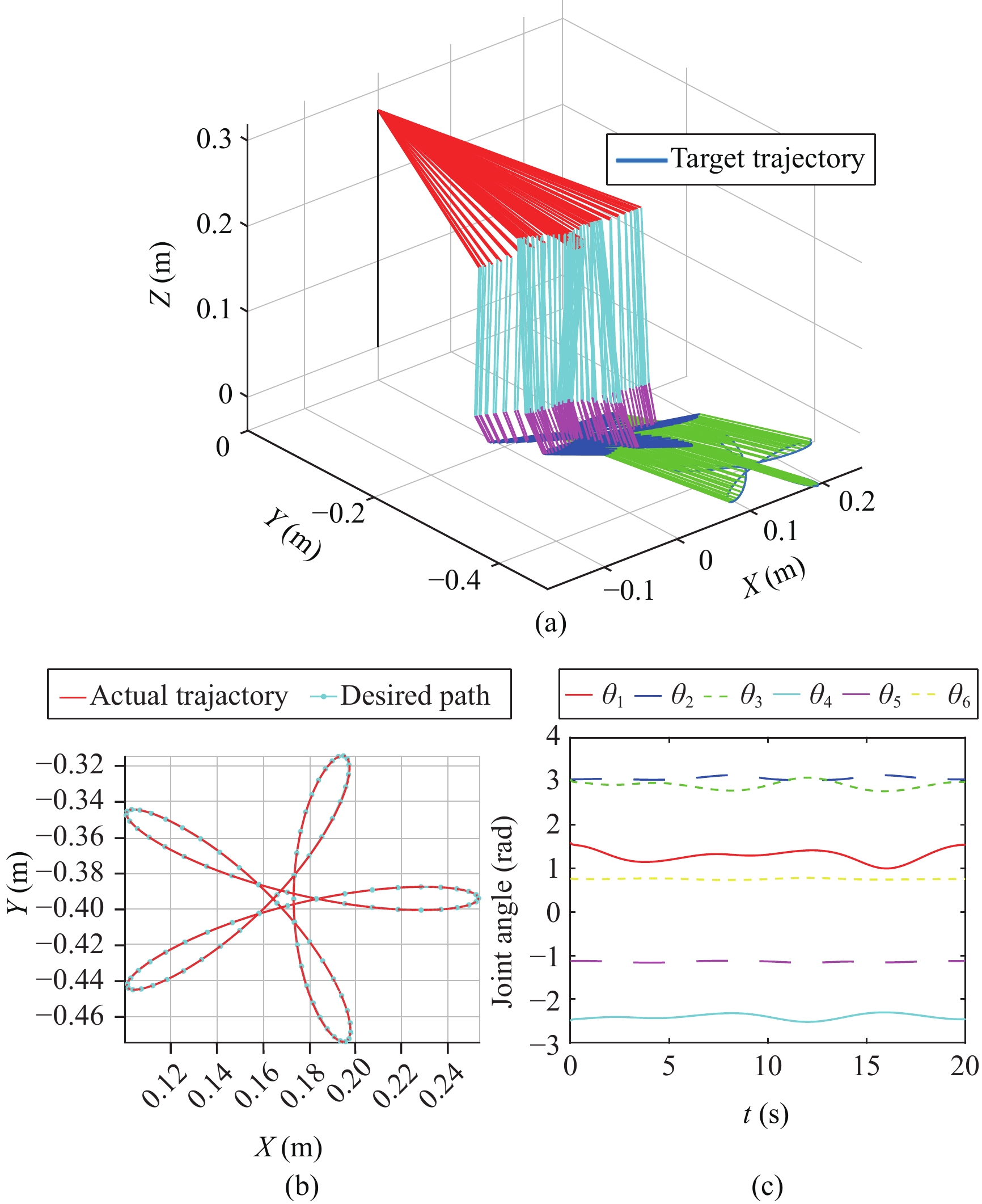
    • Experiments based a cable-driven continuum robot and a rigid-link robot are performed

    /

    DownLoad:  Full-Size Img  PowerPoint
    Return
    Return