A journal of IEEE and CAA , publishes high-quality papers in English on original theoretical/experimental research and development in all areas of automation
Volume 5 Issue 3
May  2018

IEEE/CAA Journal of Automatica Sinica

  • JCR Impact Factor: 19.2, Top 1 (SCI Q1)
    CiteScore: 28.2, Top 1% (Q1)
    Google Scholar h5-index: 95, TOP 5
Turn off MathJax
Article Contents
Menghua Zhang, Xin Ma, Rui Song, Xuewen Rong, Guohui Tian, Xincheng Tian and Yibin Li, "Adaptive Proportional-Derivative Sliding Mode Control Law With Improved Transient Performance for Underactuated Overhead Crane Systems," IEEE/CAA J. Autom. Sinica, vol. 5, no. 3, pp. 683-690, Mar. 2018. doi: 10.1109/JAS.2018.7511072
Citation: Menghua Zhang, Xin Ma, Rui Song, Xuewen Rong, Guohui Tian, Xincheng Tian and Yibin Li, "Adaptive Proportional-Derivative Sliding Mode Control Law With Improved Transient Performance for Underactuated Overhead Crane Systems," IEEE/CAA J. Autom. Sinica, vol. 5, no. 3, pp. 683-690, Mar. 2018. doi: 10.1109/JAS.2018.7511072

Adaptive Proportional-Derivative Sliding Mode Control Law With Improved Transient Performance for Underactuated Overhead Crane Systems

doi: 10.1109/JAS.2018.7511072
Funds:

the National High Technology Research and Development Program of China (863 Program) 2015AA042307

Shandong Provincial Scientific and Technological Development Foundation 2014GGX103038

Shandong Provincial Independent Innovation and Achievement Transformation Special Foundation 2015ZDXX0101E01

National Natural Science Fundation of China (NSFC) and Joint Fund of Shandong Province U1706228

the Fundamental Research Funds of Shandong University 2015JC027

More Information
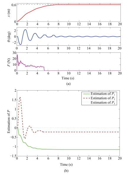
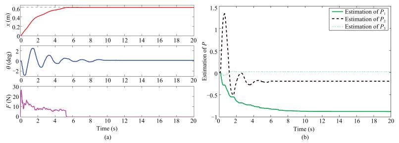
  • In this paper, an adaptive proportional-derivative sliding mode control (APD-SMC) law, is proposed for 2D underactuated overhead crane systems. The proposed controller has the advantages of simple structure, easy to implement of PD control, strong robustness of SMC with respect to external disturbances and uncertain system parameters, and adaptation for unknown system dynamics associated with the feedforward parts. In the proposed APD-SMC law, the PD control part is used to stabilize the controlled system, the SMC part is used to compensate the external disturbances and system uncertainties, and the adaptive control part is utilized to estimate the unknown system parameters. The coupling behavior between the trolley movement and the payload swing is enhanced and, therefore, the transient performance of the proposed controller is improved. The Lyapunov techniques and the LaSalle's invariance theorem are employed in to support the theoretical derivations. Experimental results are provided to validate the superior performance of the proposed control law.

     

  • loading
  • [1]
    H. H. Pan, W. C. Sun, and X. J. Jing, "Adaptive tracking control for stochastic mechanical systems with actuator nonlinearities, " J. Franklin Inst., vol. 354, no. 7, pp. 2725-2741, May 2017. https://www.sciencedirect.com/science/article/pii/S0016003217300480
    [2]
    Z. C. Zhang, Y. Q. Wu, and J. M. Huang, "Differential-flatnessbased finite-time anti-swing control of underactuated crane systems, " Nonlinear Dyn., vol. 87, no. 3, pp. 1749-1761, Feb. 2017. doi: 10.1007/s11071-016-3149-7
    [3]
    N. Sun, Y. C. Fang, H. Chen, and B. Lu, "Amplitude-saturated nonlinear output feedback antiswing control for underactuated cranes with doublependulum cargo dynamics, " IEEE Trans. Ind. Electron., vol. 64, no. 3, pp. 2135-2146, Mar. 2017. https://ieeexplore.ieee.org/abstract/document/7725990/
    [4]
    J. Smoczek, "Fuzzy crane control with sensorless payload deflection feedback for vibration reduction, " Mech. Syst. Signal Process., vol. 46, no. 1, pp. 70-81, May 2014.
    [5]
    M. H. Zhang, X. Ma, X. W. Rong, X. C. Tian, and Y. B. Li, "Adaptive tracking control for double-pendulum overhead cranes subject to tracking error limitation, parametric uncertainties and external disturbances, " Mech. Syst. Signal Process., vol. 76-77, pp. 15-32, Aug. 2016.
    [6]
    M. H. Zhang, X. Ma, H. Chai, X. W. Rong, X. C. Tian, and Y. B. Li, "A novel online motion planning method for double-pendulum overhead cranes, " Nonlinear Dyn., vol. 85, no. 2, pp. 1079-1090, Jul. 2016.
    [7]
    S. Garrido, M. Abderrahim, A. Giménez, R. Diez, and C. Balaguer, "Anti-swinging input shaping control of an automatic construction crane, " IEEE Trans. Autom. Sci. Eng., vol. 5, no. 3, pp. 549-557, Jul. 2008. https://ieeexplore.ieee.org/document/4453861/
    [8]
    N. Sun, T. Yang, Y. C. Fang, B. Lu, and Y. Z. Qian, "Nonlinear motion control of underactuated 3-dimensional boom cranes with hardware experiments, " IEEE Trans. Ind. Inf., vol. 14, no. 3, pp. 887-897, Mar. 2018. doi: 10.1007%2Fs11071-014-1328-y
    [9]
    G. Glossiotis and I. Antoniadis, "Payload sway suppression in rotary cranes by digital filtering of the commanded inputs, " Proc. Inst. Mech. Eng. Part K J. Multi-body Dyn., vol. 217, no. 2, pp. 99-109, Jun. 2003.
    [10]
    X. B. Zhang, Y. C. Fang, and N. Sun, "Minimum-time trajectory planning for underactuated overhead crane systems with state and control constraints, " IEEE Trans. Ind. Electron., vol. 61, no. 12, pp. 6915-6925, Dec. 2014. https://ieeexplore.ieee.org/document/6805639/
    [11]
    X. J. Wei, Z. J. Wu, and H. R. Karimi, "Disturbance observer-based disturbance attenuation control for a class of stochastic systems, " Automatica, vol. 63, pp. 21-25, Jan. 2016.
    [12]
    H. F. Zhang, Y. W. Jing, and X. J. Wei, "Composite anti-disturbance control for a class of uncertain nonlinear systems via a disturbance observer, " Trans. Inst. Meas. Control, vol. 38, no. 6, pp. 648-656, Jun. 2016. doi: 10.1177/0142331215616181?journalCode=tima
    [13]
    R. Tang and J. Huang, "Control of bridge cranes with distributed-mass payloads under windy conditions, " Mech. Syst. Signal Process., vol. 72-73, pp. 409-419, May 2016.
    [14]
    J. M. Veciana, S. Cardona, and P. Catalá, "Modified adaptive input shaping for maneuvering cranes using a feedback MEM Gyroscope with null drift, " Int. J. Precis. Eng. Manuf., vol. 16, no. 9, 1911-1917, Aug. 2015.
    [15]
    N. Sun, Y. M. Wu, Y. C. Fang, H. Chen, and B. Lu, "Nonlinear continuous global stabilization control for underactuated RTAC systems: design, analysis, and experimentation, " IEEE/ASME Trans. Mechatron., vol. 22, no. 2, pp. 1104-1115, Apr. 2017. https://ieeexplore.ieee.org/document/7752953/
    [16]
    N. Sun and Y. C. Fang, "An efficient online trajectory generating method for underactuated crane systems, " Int. J. Robust Nonlinear Control, vol. 24, no. 11, pp. 1653-1663, Jul. 2014. doi: 10.1002/rnc.2953
    [17]
    N. Sun, Y. C. Fang, H. Chen, Y. M. Fu, and B. Lu, "Nonlinear stabilizing control for ship-mounted cranes with ship roll and heave movements: design, analysis, and experiments, " IEEE Trans. Syst. Man Cybern. Syst., to be published. doi: 10.1109/TSMC.2017.2700393.
    [18]
    H. M. Omar, "Control of gantry and tower cranes, " M. S. thesis, Virginia Polytechnic Institute and State University, Virginia, USA, 2003.
    [19]
    H. M. Omar and A. H. Nayfeh, "Anti-swing control of gantry and tower cranes using fuzzy and time-delayed feedback with friction compensation, " Shock Vib., vol. 12, no. 2, pp. 73-89, 2005. doi: 10.1155/2005/890127
    [20]
    B. Yang and B. Xiong, "Application of LQR techniques to the anti-sway controller of overhead crane, " Advanced Materials Res., vol. 139-141, pp. 1933-1936, Oct. 2010.
    [21]
    M. H. Zhang, X. Ma, X. W. Rong, X. C. Tian, and Y. B. Li, "Error tracking control for underactuated overhead cranes against arbitrary initial payload swing angles, " Mech. Syst. Signal Process., vol. 84, pp. 268-285, Feb. 2017.
    [22]
    N. Sun, T. Yang, H. Chen, Y. Fang, and Y. Qian, "Adaptive anti-swing and positioning control for 4-DOF rotary cranes subject to uncertain/unknown parameters with hardware experiments, " IEEE Trans. Syst. Man Cybern. Syst., to be published. doi: 10.1109/TSMC.2017.2765183.
    [23]
    N. Sun, Y. C. Fang, and X. Q. Wu, "An enhanced coupling nonlinear control method for bridge cranes, " IET Control Theory Appl., vol. 8, no. 13, pp. 1215-1223, Sep. 2014. https://ieeexplore.ieee.org/document/6882898/
    [24]
    Z. Wu, X. H. Xia, and B. Zhu, "Model predictive control for improving operational efficiency of overhead cranes, " Nonlinear Dyn., vol. 79, no. 4, pp. 2639-2657, Mar. 2015. doi: 10.1007/s11071-014-1837-8
    [25]
    D. Jolevski and O. Bego, "Model predictive control of gantry/bridge crane with anti-sway algorithm, " J. Mech. Sci. Technol., vol. 29, no. 2, pp. 827-834, Feb. 2015.
    [26]
    H. Chen, Y. C. Fang, and N. Sun, "A swing constraint guaranteed MPC algorithm for underactuated overhead cranes, " IEEE/ASME Trans. Mechatron., vol. 21, no. 5, pp. 2543-2555, Oct. 2016. https://ieeexplore.ieee.org/document/7458888/
    [27]
    N. Sun, Y. M. Wu, Y. C. Fang, and H. Chen, "Nonlinear antiswing control for crane systems with double-pendulum swing effects and uncertain parameters: design and experiments, " IEEE Trans. Autom. Sci. Eng., to be published. doi: 10.1109/TASE.2017.2723539.
    [28]
    J. H. Yang and S. H. Shen, "Novel approach for adaptive tracking control of a 3-D overhead crane system, " J. Intell. Rob. Syst., vol. 62, no. 1, pp. 59-80, Apr. 2011.
    [29]
    N. Uchiyama, "Robust control for overhead cranes by partial state feedback, " Proc. Inst. Mech. Eng. Part I J. Syst. Control Eng., vol. 223, no. 4, pp. 575-580, Jun. 2009.
    [30]
    L. H. Lee, P. H. Huang, Y. C. Shih, T. C. Chiang, and C. Y. Chang, "Parallel neural network combined with sliding mode control in overhead crane control system, " J. Vib. Control, vol. 20, no. 5, pp. 749-760, Apr. 2014. doi: 10.1177/1077546312464681
    [31]
    Ł. Drąg, "Model of an artificial neural network for optimization of payload positioning in sea waves, " Ocean Eng., vol. 115, pp. 123-134, Mar. 2016. https://www.sciencedirect.com/science/article/pii/S0029801816000603
    [32]
    J. Smoczek and J. Szpytko, "Evolutionary algorithm-based design of a fuzzy TBF predictive model and TSK fuzzy anti-sway crane control system, " Eng. Appl. Artif. Intell., vol. 28, pp. 190-200, Feb. 2014.
    [33]
    H. Y. Zhang, J. Wang, and G. D. Lu, "Hierarchical fuzzy-tuned multiobjective optimization control for gantry cranes, " Proc. Inst. Mech. Eng. Part C J. Mech. Eng. Sci., vol. 228, no. 7, pp. 1119-1131, May 2014. doi: 10.1177/0954406213501968
    [34]
    A. Levant, "Principles of 2-sliding mode design, " Automatica, vol. 43, no. 4, pp. 576-586, Apr. 2007.
    [35]
    N. B. Almutairi and M. Zribi, "Sliding mode control of a threedimensional overhead crane, " J. Vib. Control, vol. 15, no. 11, pp. 1679-1730, Nov. 2009. doi: 10.1177/1077546309105095
    [36]
    L. A. Tuan, J. J. Kim, S. G. Lee, T. G. Lim, and L. C. Nho, "Secondorder sliding mode control of a 3D overhead crane with uncertain system parameters, "Int. J. Precis. Eng. Manuf., vol. 15, no. 5, pp. 811-819, May 2014.
    [37]
    Z. Xi and T. Hesketh, "Discrete time integral sliding mode control for overhead crane with uncertainties, " IET Control Theory Appl., vol. 4, no. 10, pp. 2071-2081, Oct. 2010. https://ieeexplore.ieee.org/document/5611727/
    [38]
    G. Bartolini, A. Pisano, and E. Usai, "Second-order sliding-mode control of container cranes, " Automatica, vol. 38, no. 10, pp. 1783-1790, Oct. 2002.
    [39]
    P. R. Ouyang, J. Acob, and V. Pano, "PD with sliding mode control for trajectory tracking of robotic system, " Rob. Comput. Integr. Manuf., vol. 30, no. 2, pp. 189-200, Apr. 2014.
    [40]
    N. Sun, Y. C. Fang, and H. Chen, "A new antiswing control method for underactuated cranes with unmodeled uncertainties: theoretical design and hardware experiments, " IEEE Trans. Ind. Electron., vol. 62, no. 1, pp. 453-465, Jan. 2015. https://ieeexplore.ieee.org/document/6824211/
    [41]
    Z. Chen, B. Yao, and Q. F. Wang, "Accurate motion control of linear motors with adaptive robust compensation of nonlinear electromagnetic field effect, " IEEE/ASME Trans. Mechatron., vol. 18, no. 3, pp. 1122-1129, Jun. 2013. https://ieeexplore.ieee.org/document/6202698/
    [42]
    Z. Chen, B. Yao, and Q. F. Wang, "μ-synthesis-based adaptive robust control of linear motor driven stages with high-frequency dynamics: a case study, " IEEE/ASME Trans. Mechatron., vol. 20, no. 3, pp. 1482-1490, Jun. 2015. https://ieeexplore.ieee.org/document/6983626/
    [43]
    W. E. Dixon, D. M. Dawson, E. Zergeroglu, and A. Behal, "Nonlinear Control of Wheeled Mobile Robots", Berlin, Germany: Springer-Verlag, 2001. http://www.springer.com/us/book/9781852334147
    [44]
    L. Van den Broeck, M. Diehl, and J. Swevers, "A model predictive control approach for time optimal point-to-point motion control, " Mechatronics, vol. 21, no. 7, pp. 1203-1212, Oct. 2011.
    [45]
    T. Erneux and T. Kalmar-Nagy, "Nonlineár stability of a delayed feedback controlled container crane, " J. Vib. Control, vol. 13, no. 5, pp. 603-616, May 2007.
    [46]
    B. Ma, Y. Fang, and Y. Zhang, "Switching-based emergency braking control for an overhead crane system, " IET Control Theory Appl., vol. 4, no. 9, pp. 1739-1747, Sep. 2010.

Catalog

    通讯作者: 陈斌, bchen63@163.com
    • 1. 

      沈阳化工大学材料科学与工程学院 沈阳 110142

    1. 本站搜索
    2. 百度学术搜索
    3. 万方数据库搜索
    4. CNKI搜索

    Figures(9)  / Tables(1)

    Article Metrics

    Article views (1790) PDF downloads(115) Cited by()

    /

    DownLoad:  Full-Size Img  PowerPoint
    Return
    Return