A journal of IEEE and CAA , publishes high-quality papers in English on original theoretical/experimental research and development in all areas of automation
Volume 13 Issue 3
Mar.  2026

IEEE/CAA Journal of Automatica Sinica

  • JCR Impact Factor: 19.2, Top 1 (SCI Q1)
    CiteScore: 28.2, Top 1% (Q1)
    Google Scholar h5-index: 95, TOP 5
Turn off MathJax
Article Contents
X.-M. Zhang, Q.-L. Han, and X. Ge, “Data-driven event-triggered control dealing with noisy data,” IEEE/CAA J. Autom. Sinica, vol. 13, no. 3, pp. 543–554, Mar. 2026. doi: 10.1109/JAS.2026.125867
Citation: X.-M. Zhang, Q.-L. Han, and X. Ge, “Data-driven event-triggered control dealing with noisy data,” IEEE/CAA J. Autom. Sinica, vol. 13, no. 3, pp. 543–554, Mar. 2026. doi: 10.1109/JAS.2026.125867

Data-Driven Event-Triggered Control Dealing With Noisy Data

doi: 10.1109/JAS.2026.125867
More Information
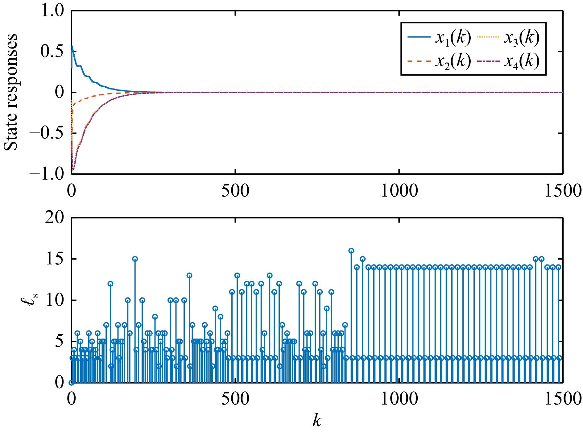
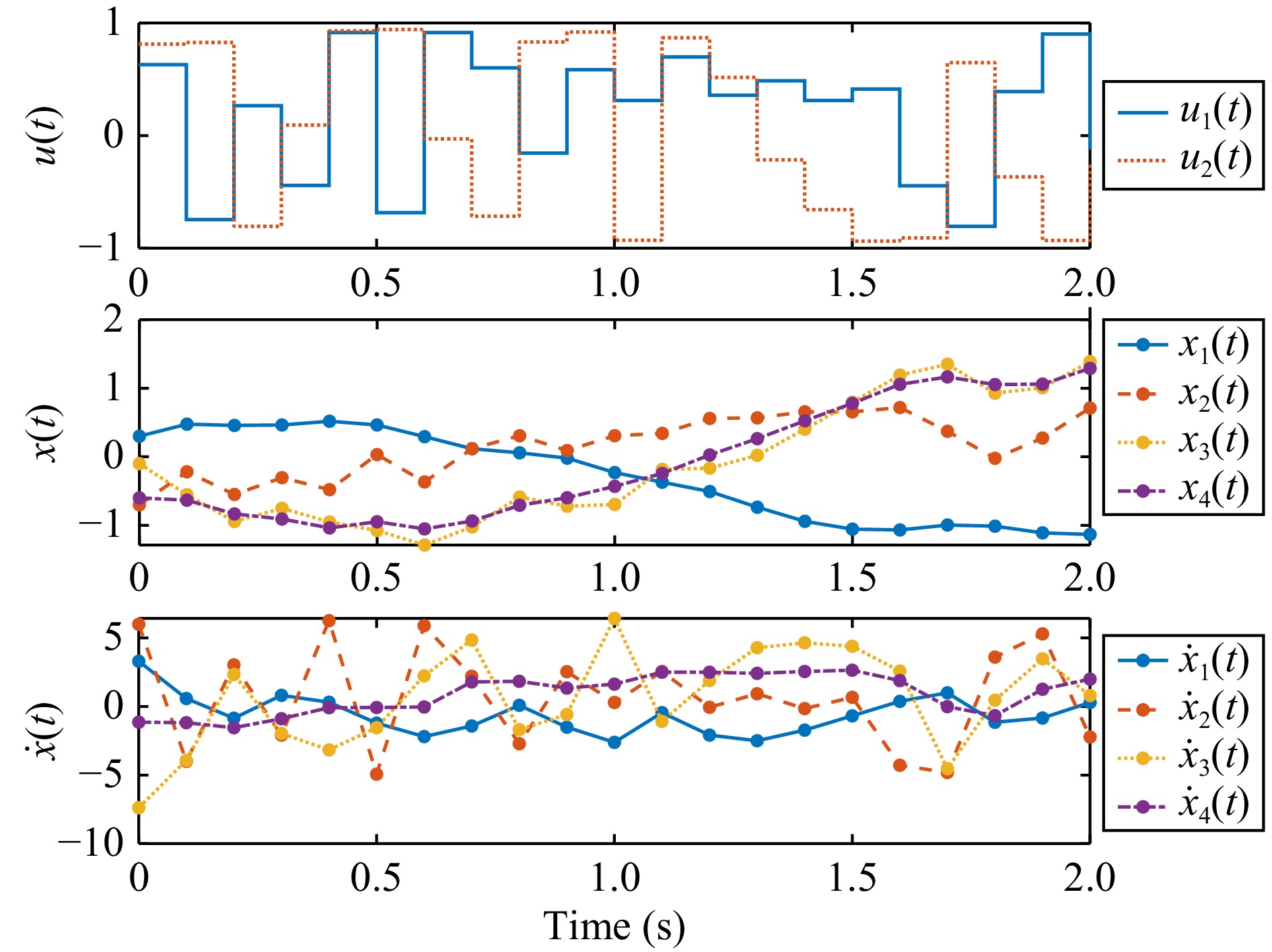
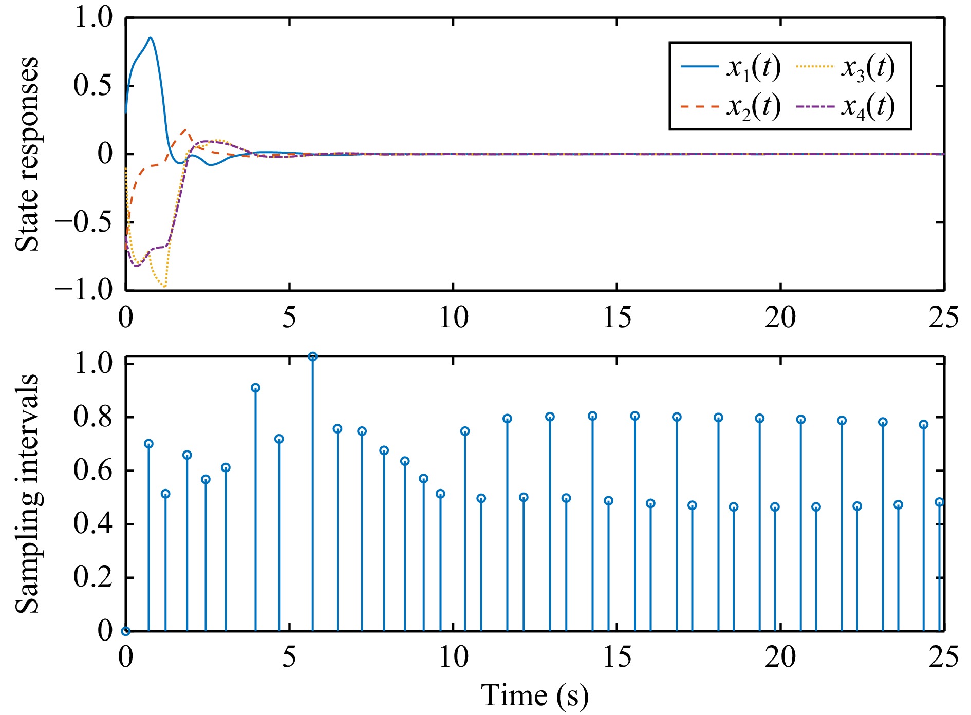
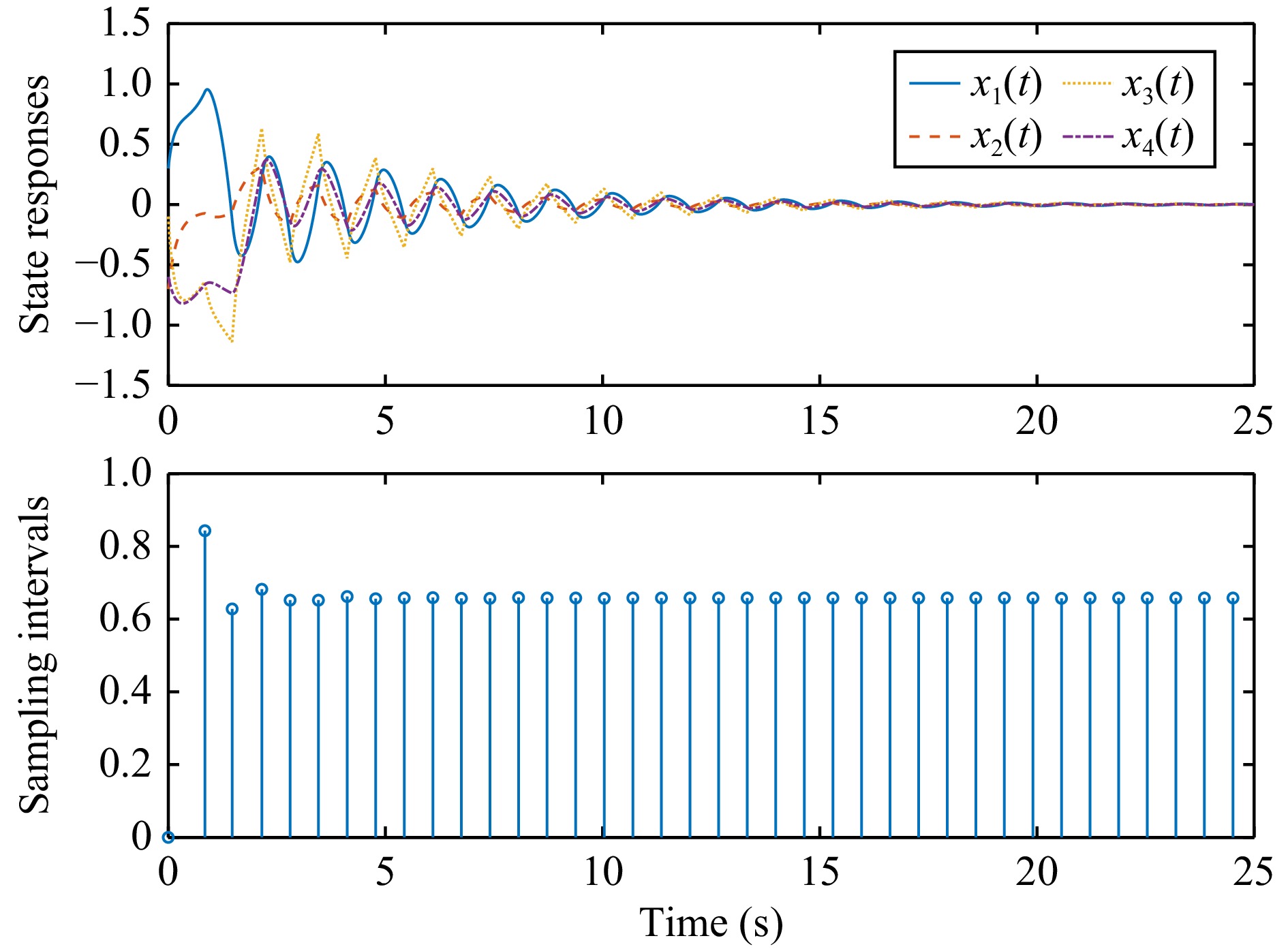
  • This paper is concerned with event-triggered control that deals with noisy data for both discrete-time and continuous-time linear systems with unknown system matrices. First, based on a sufficiently rich finite set of noisy data collected in an experiment, the pair of system matrices is represented as a data-based nominal matrix plus an uncertain matrix with a bounded norm. This formulation enables classical robust control techniques to be applied to tackle the robust control problem. Second, for discrete-time systems, a novel event-triggering condition is proposed, by which an event is triggered if the sum of the squares of the weighted error exceeds the square of the weighted state from the previous event. For continuous-time systems, the event-triggering condition is devised as a monotonically increasing function that starts with a negative value and triggers an event when it reaches zero. This condition can exclude the so-called Zeno behaviour due to its monotonic increase property. Third, by employing a looped functional method, several criteria are derived to co-design suitable state feedback controllers and event-triggering parameters for the systems under study. Finally, the effectiveness of the proposed method is demonstrated through a case study involving a batch reactor system.

     

  • loading
  • [1]
    K.-E. Åarzén, “A simple event-based PID controller,” IFAC Proc. Vol., vol. 32, no. 2, pp. 8687–8692, Jul. 1999. doi: 10.1016/S1474-6670(17)57482-0
    [2]
    P. Tabuada, “Event-triggered real-time scheduling of stabilizing control tasks,” IEEE Trans. Autom. Control, vol. 52, no. 9, pp. 1680–1685, Sep. 2007. doi: 10.1109/TAC.2007.904277
    [3]
    A. Girard, “Dynamic triggering mechanisms for event-triggered control,” IEEE Trans. Autom. Control, vol. 60, no. 7, pp. 1992–1997, Jul. 2015. doi: 10.1109/TAC.2014.2366855
    [4]
    X. Wang, J. Sun, G. Wang, F. Allgöwer, and J. Chen, “Data-driven control of distributed event-triggered network systems,” IEEE/CAA J. Autom. Sinica, vol. 10, no. 2, pp. 351–364, Feb. 2023. doi: 10.1109/JAS.2023.123225
    [5]
    Y. Hu, C. Zhang, B. Wang, J. Zhao, X. Gong, J. Gao, and H. Chen, “Noise-tolerant ZNN-based data-driven iterative learning control for discrete nonaffine nonlinear MIMO repetitive systems,” IEEE/CAA J. Autom. Sinica, vol. 11, no. 2, pp. 344–361, Feb. 2024. doi: 10.1109/JAS.2023.123603
    [6]
    W. Yang, S. Li, and X. Luo, “Data driven vibration control: A review,” IEEE/CAA J. Autom. Sinica, vol. 11, no. 9, pp. 1898–1917, Sep. 2024. doi: 10.1109/JAS.2024.124431
    [7]
    Z. Zhang, H. Jiang, D. Shen, and S. S. Saab, “Data-driven learning control algorithms for unachievable tracking problems,” IEEE/CAA J. Autom. Sinica, vol. 11, no. 1, pp. 205–218, Jan. 2024. doi: 10.1109/JAS.2023.123756
    [8]
    J. C. Willems, P. Rapisarda, I. Markovsky, and B. L. M. De Moor, “A note on persistency of excitation,” Syst. Control Lett., vol. 54, no. 4, pp. 325–329, Apr. 2005. doi: 10.1016/j.sysconle.2004.09.003
    [9]
    C. De Persis and P. Tesi, “Formulas for data-driven control: Stabilization, optimality, and robustness,” IEEE Trans. Autom. Control, vol. 65, no. 3, pp. 909–924, Mar. 2020. doi: 10.1109/TAC.2019.2959924
    [10]
    C. De Persis, R. Postoyan, and P. Tesi, “Event-triggered control from data,” IEEE Trans. Autom Control, vol. 69, no. 6, pp. 3780–3795, Jun. 2024. doi: 10.1109/TAC.2023.3335002
    [11]
    D. P. Borgers and W. P. M. H. Heemels, “Event-separation properties of event-triggered control systems,” IEEE Trans. Autom. Control, vol. 59, no. 10, pp. 2644–2656, Oct. 2014. doi: 10.1109/TAC.2014.2325272
    [12]
    T. Xu, Z. Sun, G. Wen, and Z. Duan, “Data-driven dynamic event-triggered control,” IEEE Trans. Autom. Control, vol. 69, no. 12, pp. 8804–8811, Dec. 2024. doi: 10.1109/TAC.2024.3417088
    [13]
    K. Zheng, D. Shi, and Y. Shi, “Safety-critical randomized event-triggered learning of Gaussian process with applications to data-driven predictive control,” IEEE Trans. Autom. Control, vol. 70, no. 6, pp. 3920–3935, Jun. 2025. doi: 10.1109/TAC.2024.3523682
    [14]
    V. Digge and R. Pasumarthy, “Data-driven event-triggered control for discrete-time LTI systems,” in Proc. Eur. Control Conf., London, UK, 2022, pp. 1355−1360.
    [15]
    X. Wang, J. Berberich, J. Sun, G. Wang, F. Allgöwer, and J. Chen, “Model-based and data-driven control of event- and self-triggered discrete-time linear systems,” IEEE Trans. Cybern., vol. 53, no. 9, pp. 6066–6079, Sep. 2023. doi: 10.1109/TCYB.2023.3272216
    [16]
    A. Bisoffi, C. De Persis, and P. Tesi, “Data-driven control via Petersen’s lemma,” Automatica, vol. 145, p. 110537, Nov. 2022. doi: 10.1016/j.automatica.2022.110537
    [17]
    K. Liu and E. Fridman, “Wirtinger’s inequality and Lyapunov-based sampled-data stabilization,” Automatica, vol. 48, no. 1, pp. 102–108, Jan. 2012. doi: 10.1016/j.automatica.2011.09.029
    [18]
    H. J. van Waarde, M. K. Camlibel, and M. Mesbahi, “From noisy data to feedback controllers: Nonconservative design via a matrix S-lemma,” IEEE Trans. Autom. Control, vol. 67, no. 1, pp. 162–175, Jan. 2022. doi: 10.1109/TAC.2020.3047577
    [19]
    X.-M. Zhang, Q.-L. Han, X. Ge, and B.-L. Zhang, “Accumulative-error-based event-triggered control for discrete-time linear systems: A discrete-time looped functional method,” IEEE/CAA J. Autom. Sinica, vol. 12, no. 4, pp. 683–693, Apr. 2025. doi: 10.1109/JAS.2024.124476
    [20]
    I. R. Petersen, “A stabilization algorithm for a class of uncertain linear systems,” Syst. Control Lett., vol. 8, no. 4, pp. 351–357, Mar. 1987. doi: 10.1016/0167-6911(87)90102-2
    [21]
    X.-M. Zhang, Q.-L. Han, B. Zhang, and X. Ge, “Monotonically-increasing-function-based event-triggered sampling scheme for stabilization of networked nonlinear system,” it Sci. China Inf. Sci., vol. 69, no. 5, p. 152201, May 2026.
    [22]
    X.-M. Zhang, Q.-L. Han, B.-L. Zhang, X. Ge, and D. Zhang, “Accumulated-state-error-based event-triggered sampling scheme and its application to H control of sampled-data systems,” Sci. China Inf. Sci., vol. 67, no. 6, pp. 162206:1–162206:14, May 2024. doi: 10.1007/s11432-023-4038-3
    [23]
    A. Seuret, “A novel stability analysis of linear systems under asynchronous samplings,” Automatica, vol. 48, no. 1, pp. 177–182, Jan. 2012. doi: 10.1016/j.automatica.2011.09.033
    [24]
    X. Wang and M. Lemmon, “On event design in event-triggered feedback systems,” Automatica, vol. 47, no. 10, pp. 2319–2322, Oct. 2011. doi: 10.1016/j.automatica.2011.05.027
    [25]
    W. P. M. H. Heemels, K. H. Johansson, and P. Tabuada, “An introduction to event-triggered and self-triggered control,” in Proc. 51st IEEE Conf. Decision and Control, Maui, Hawaii, USA, 2012, pp. 3270−3285.
    [26]
    G. C. Walsh and H. Ye, “Scheduling of networked control systems,” IEEE Control Syst. Mag., vol. 21, no. 1, pp. 57–65, Feb. 2001. doi: 10.1109/37.898792
    [27]
    M. Han, L. Wang, Y. Yuan, and X. Luo, “SGD-DyG: Self-reliant global dependency apprehending on dynamic graphs,” in Proc. 31st ACM SIGKDD Conf. Knowledge Discovery and Data Mining, Toronto, Canada, 2025, pp. 802−813.
    [28]
    Y. Yuan, Y. Wang, and X. Luo, “A node-collaboration-informed graph convolutional network for highly accurate representation to undirected weighted graph,” IEEE Trans. Neural Netw. Learn. Syst., vol. 36, no. 6, pp. 11507–11519, Jun. 2025. doi: 10.1109/TNNLS.2024.3514652
    [29]
    L. Wang, K. Liu, and Y. Yuan, “GT-A.2T: Graph tensor alliance attention network,” IEEE/CAA J. Autom. Sinica, vol. 12, no. 10, pp. 2165–2167, Oct. 2025. doi: 10.1109/JAS.2024.124863

Catalog

    通讯作者: 陈斌, bchen63@163.com
    • 1. 

      沈阳化工大学材料科学与工程学院 沈阳 110142

    1. 本站搜索
    2. 百度学术搜索
    3. 万方数据库搜索
    4. CNKI搜索

    Figures(7)

    Article Metrics

    Article views (555) PDF downloads(94) Cited by()

    /

    DownLoad:  Full-Size Img  PowerPoint
    Return
    Return