A journal of IEEE and CAA , publishes high-quality papers in English on original theoretical/experimental research and development in all areas of automation
Volume 13 Issue 3
Mar.  2026

IEEE/CAA Journal of Automatica Sinica

  • JCR Impact Factor: 19.2, Top 1 (SCI Q1)
    CiteScore: 28.2, Top 1% (Q1)
    Google Scholar h5-index: 95, TOP 5
Turn off MathJax
Article Contents
J. Su and Y. Song, “Prescribed-time formation control for multi-agent systems with uncertain nonlinear dynamics and non-vanishing random disturbances,” IEEE/CAA J. Autom. Sinica, vol. 13, no. 3, pp. 586–596, Mar. 2026. doi: 10.1109/JAS.2026.125714
Citation: J. Su and Y. Song, “Prescribed-time formation control for multi-agent systems with uncertain nonlinear dynamics and non-vanishing random disturbances,” IEEE/CAA J. Autom. Sinica, vol. 13, no. 3, pp. 586–596, Mar. 2026. doi: 10.1109/JAS.2026.125714

Prescribed-Time Formation Control for Multi-Agent Systems With Uncertain Nonlinear Dynamics and Non-Vanishing Random Disturbances

doi: 10.1109/JAS.2026.125714
Funds:  This work was supported in part by the Fundamental Research Funds for the Central Universities (2025CDJZKKYJH-17, 2024CDJYDYL020), the Natural Science Foundation of Chongqing (CSTB2023NSCQ-LZX0026), the National Natural Science Foundation of China (W2411061, 624B2029), the Chongqing Municipal Commission of Economy and Informatization (68YJX-2025001001005), and the China Scholarship Council (202506050048)
More Information
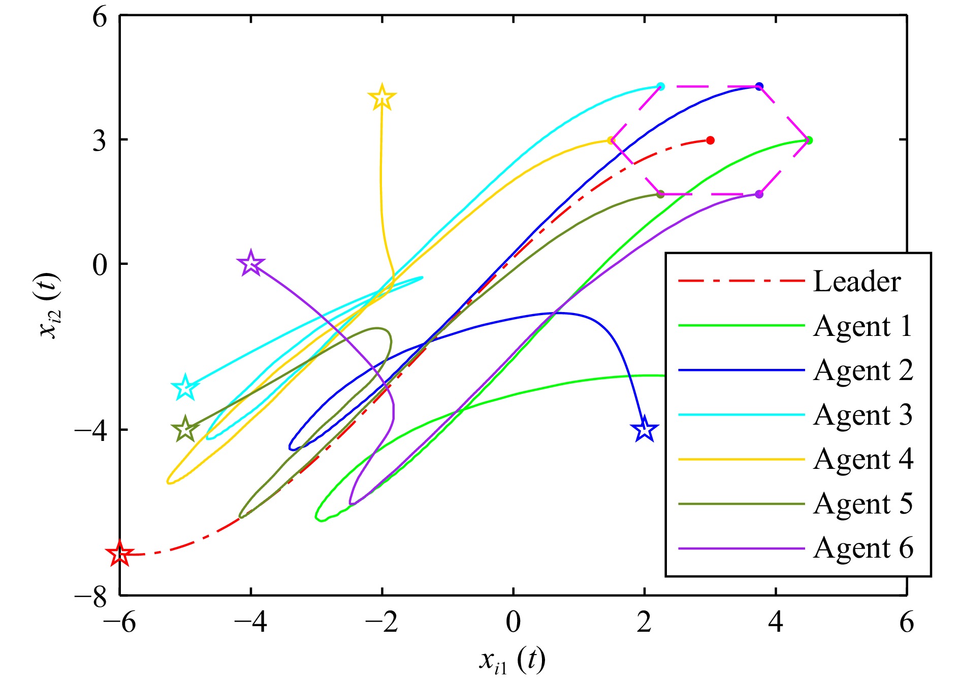
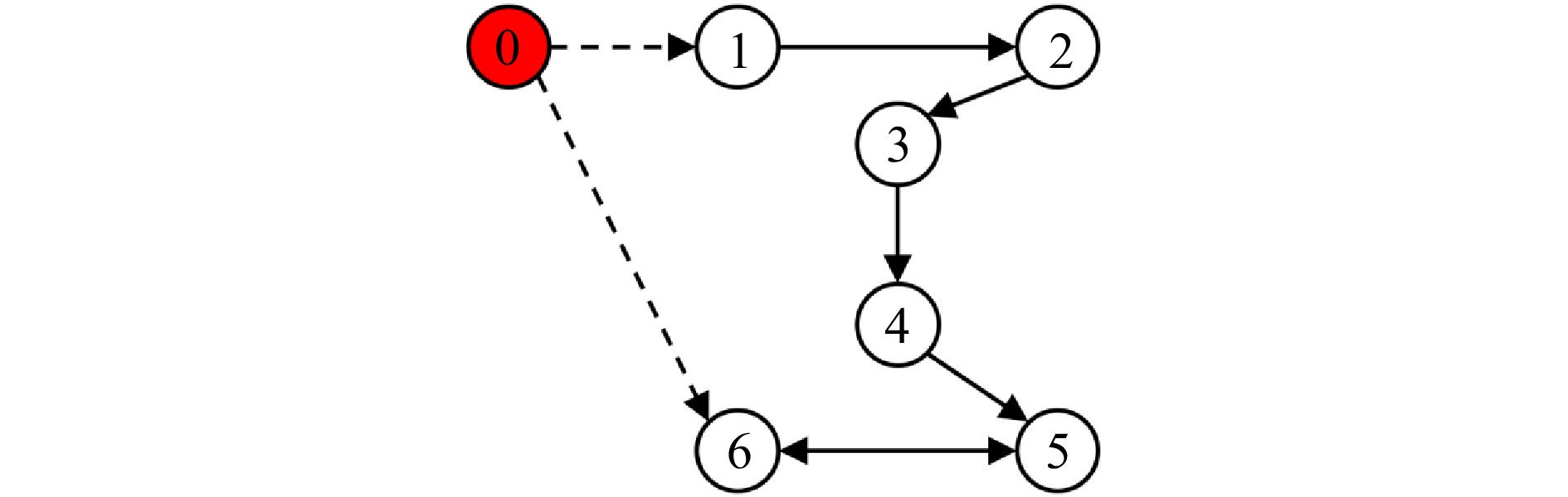
  • This paper investigates the problem of prescribed-time formation control for multi-agent systems with directed communication topology, uncertain nonlinear dynamics, and non-vanishing random disturbances. To drive the formation error to zero within a prescribed time, a novel prescribed-time control lemma is developed. A distributed observer is designed to allow each follower to accurately estimate the leader’s states within the prescribed time. Building on this, an observer-based prescribed-time formation control algorithm is proposed. The algorithm ensures that a disordered group of autonomous agents achieves the desired formation with zero error within the prescribed time, despite the presence of uncertain nonlinear dynamics and non-vanishing random disturbances. The prescribed time is arbitrarily predetermined a priori and independent of the agents’ initial configurations and any other control parameters. Mathematically, the stability of the proposed control scheme is rigorously proven, where all observer and closed-loop system signals are bounded. Numerical simulations confirm the effectiveness of the proposed formation scheme.

     

  • loading
  • [1]
    X. Gong, M. V. Basin, Z. Feng, T. Huang, and Y. Cui, “Resilient time-varying formation-tracking of multi-UAV systems against composite attacks: A two-layered framework,” IEEE/CAA J. Autom. Sinica, vol. 10, no. 4, pp. 969–984, 2023. doi: 10.1109/JAS.2023.123339
    [2]
    L. Feng, B. Huang, J. Sun, Q. Sun, and X. Xie, “Adaptive event-triggered time-varying output group formation containment control of heterogeneous multiagent systems,” IEEE/CAA J. Autom. Sinica, vol. 11, no. 6, pp. 1398–1409, 2024. doi: 10.1109/JAS.2024.124260
    [3]
    L. Cao, Z. Cheng, Y. Liu, and H. Li, “Event-based adaptive NN fixed-time cooperative formation for multiagent systems,” IEEE Trans. Neural Networks and Learning Systems, vol. 35, no. 5, pp. 6467–6477, 2024. doi: 10.1109/TNNLS.2022.3210269
    [4]
    Z. Zuo and L. Tie, “Distributed robust finite-time nonlinear consensus protocols for multi-agent systems,” Int. J. Systems Science, vol. 47, no. 6, pp. 1366–1375, 2016. doi: 10.1080/00207721.2014.925608
    [5]
    Z. Zuo, Q.-L. Han, and B. Ning, Fixed-Time Cooperative Control of Multi-Agent Systems. Cham, Switzerland: Springer, 2019.
    [6]
    Z. Zuo, R. Ke, and Q.-L. Han, “Fully distributed adaptive practical fixed-time consensus protocols for multi-agent systems,” Automatica, vol. 157, p. 111248, 2023. doi: 10.1016/j.automatica.2023.111248
    [7]
    Z. Zuo, J. Tang, R. Ke, and Q.-L. Han, “Hyperbolic tangent function-based protocols for global/semi-global finite-time consensus of multi-agent systems,” IEEE/CAA J. Autom. Sinica, vol. 11, no. 6, pp. 1381–1397, 2024. doi: 10.1109/JAS.2024.124485
    [8]
    B. An, H. Fan, B. Wang, L. Liu, and Y. Wang, “Event-triggered finite-time formation tracking of multi-agent systems with mismatched disturbances under switching topologies,” ISA Transa., vol. 151, pp. 19–32, 2024. doi: 10.1016/j.isatra.2024.05.031
    [9]
    Z. Gao and G. Guo, “Fixed-time sliding mode formation control of AUVs based on a disturbance observer,” IEEE/CAA J. Autom. Sinica, vol. 7, no. 2, pp. 539–545, 2020. doi: 10.1109/jas.2020.1003057
    [10]
    Y. Song, Y. Wang, J. Holloway, and M. Krstic, “Time-varying feedback for regulation of normal-form nonlinear systems in prescribed finite time,” Automatica, vol. 83, pp. 243–251, 2017. doi: 10.1016/j.automatica.2017.06.008
    [11]
    J. Kuang, Y. Gao, Y. Sun, A. Liu, and J. Liu, “Stabilization with prescribed instant via Lyapunov method,” IEEE/CAA J. Autom. Sinica, vol. 11, no. 2, pp. 557–559, 2024. doi: 10.1109/JAS.2023.123801
    [12]
    Y. Lei, Y.-W. Wang, X.-K. Liu, and W. Yang, “Prescribed-time stabilization of singularly perturbed systems,” IEEE/CAA J. Autom. Sinica, vol. 10, no. 2, pp. 569–571, 2023. doi: 10.1109/JAS.2023.123246
    [13]
    J. Su and Y. Song, “Prescribed-time control with bounded feedback gain: A nonscaling and structural adaptation-based approach,” IEEE Trans. Systems, Man, and Cybern.: Systems, vol. 55, no. 4, pp. 2580–2589, 2025. doi: 10.1109/TSMC.2024.3525296
    [14]
    J. Su and Y. Song, “Adaptive prescribed-time control of uncertain self-restructuring nonaffine nonlinear systems,” IEEE Trans. Cybern., 2025. DOI: 10.1109/TCYB.2025.3637910.
    [15]
    J. Wang, X. Ding, C. Wang, L. Liang, and H. Hu, “Affine formation control for multi-agent systems with prescribed convergence time,” J. Franklin Institute, vol. 358, no. 14, pp. 7055–7072, 2021. doi: 10.1016/j.jfranklin.2021.07.019
    [16]
    Q. Tao, Y. Liu, C. Xian, and Y. Zhao, “Prescribed-time distributed time-varying nash equilibrium seeking for formation placement control,” IEEE Trans. Circuits and Systems II: Express Briefs, vol. 69, no. 11, pp. 4423–4427, 2022. doi: 10.1109/tcsii.2022.3179576
    [17]
    T.-F. Ding, M.-F. Ge, C. Xiong, Z.-W. Liu, and G. Ling, “Prescribed-time formation tracking of second-order multi-agent networks with directed graphs,” Automatica, vol. 152, p. 110997, 2023. doi: 10.1016/j.automatica.2023.110997
    [18]
    R. Aldana-López, D. Gómez-Gutiérrez, R. Aragüés, and C. Sagüés, “Dynamic consensus with prescribed convergence time for multileader formation tracking,” IEEE Control Systems Letters, vol. 6, pp. 3014–3019, 2022. doi: 10.1109/LCSYS.2022.3181784
    [19]
    X. Li, Y. Zhu, X. Zhao, and J. Lu, “Bearing-based prescribed time formation tracking for second-order multi-agent systems,” IEEE Trans. Circuits and Systems II: Express Briefs, vol. 69, no. 7, pp. 3259–3263, 2022. doi: 10.1109/tcsii.2022.3141735
    [20]
    Y. Wang, X. Liu, Z. Wu, and C. Dang, “Distributed prescribed-time formation control for underactuated surface vehicles with input saturation: Theory and experiment,” IEEE Trans. Intelligent Transportation Systems, vol. 25, no. 11, pp. 18611–18623, 2024. doi: 10.1109/TITS.2024.3436882
    [21]
    L.-J. Chen, T. Han, B. Xiao, and H. Yan, “Prescribed-time time-varying multi-group formation tracking control of NMSVs via estimator-based hierarchical control algorithm,” IEEE Trans. Intelligent Vehicles, vol. 8, no. 11, pp. 4477–4483, 2023. doi: 10.1109/TIV.2023.3327338
    [22]
    B. Li, Z. Guo, C. Hu, S. Zhu, and S. Wen, “Safe formation control of uncertain multiagent systems from a bayesian perspective,” IEEE Trans. Automatic Control, vol. 70, no. 3, pp. 1929–1934, 2025. doi: 10.1109/TAC.2024.3470928
    [23]
    B. Li, W. Gong, B. Xiao, and Y. Yang, “Distributed prescribed-time leader-following formation control for second-order multi-agent systems with mismatched disturbances,” Int. J. Robust and Nonlinear Control, vol. 33, pp. 9781–9803, 2023.
    [24]
    S. J. Yoo and B. S. Park, “Adaptive practical prescribed-time formation tracking of networked nonlinear multiagent systems with quantized inter-agent communication,” Communi. Nonlinear Science and Numerical Simulation, vol. 129, p. 107697, 2024. doi: 10.1016/j.cnsns.2023.107697
    [25]
    X. Gong and X. Li, “Fault-tolerant practical prescribed-time formation-containment control of multi-agent systems on directed graphs,” IEEE Trans. Network Science and Eng., vol. 11, no. 1, pp. 352–365, 2024. doi: 10.1109/TNSE.2023.3298719
    [26]
    Y. Jiang, Z. Liu, and Z. Chen, “Prescribed-time distributed formation control for a class of nonlinear multi-agent systems subject to internal uncertainties and external disturbances,” Nonlinear Dynamics, vol. 111, pp. 1643–1655, 2023. doi: 10.1007/s11071-022-07909-2
    [27]
    B. An, B. Wang, H. Fan, L. Liu, and Y. Wang, “Prescribed-time formation tracking of heterogeneous multi-agent systems with model uncertainty,” IEEE Trans. Circuits and Systems II: Express Briefs, vol. 71, no. 9, pp. 4206–4210, 2024. doi: 10.1109/tcsii.2024.3382089
    [28]
    H. Zhong, T. Han, B. Xiao, X. Zhan, and H. Yan, “Distributed bipartite time-varying formation tracking control with prescribed-time convergence for heterogeneous Euler-Lagrange systems,” Int. J. Robust and Nonlinear Control, vol. 34, pp. 12329–12348, 2024.
    [29]
    Y. Lu, K. Zhang, and B. Jiang, “Fully actuated system approach based prescribed-time fault-tolerant formation control for unmanned helicopters under fixed and switching topologies,” IEEE Trans. Circuits and Systems I: Regular Papers, vol. 71, no. 11, pp. 5249–5260, 2024. doi: 10.1109/TCSI.2024.3399779
    [30]
    Y. Li, X. Zheng, and K. Li, “Prescribed-time adaptive intelligent formation controller for nonlinear multiagent systems based on time-domain mapping,” IEEE Trans. Artificial Intelligence, vol. 5, no. 4, pp. 1778–1790, 2024. doi: 10.1109/TAI.2023.3299439
    [31]
    M. Wang, T. Han, B. Xiao, and H. Yan, “Prescribed-time adaptive bipartite time-varying formation tracking for multiple lagrangian systems with arbitrary disturbance,” Int. J. Adaptive Control and Signal Processing, vol. 38, pp. 237–254, 2024.
    [32]
    Y. Zhang, M. Chadli, and Z. Xiang, “Prescribed-time formation control for a class of multiagent systems via fuzzy reinforcement learning,” IEEE Trans. Fuzzy Systems, vol. 31, no. 12, pp. 4195–4204, 2023. doi: 10.1109/TFUZZ.2023.3277480
    [33]
    T.-F. Ding, M.-F. Ge, Z.-W. Liu, M. Chi, and C. K. Ahn, “Cluster time-varying formation-containment tracking of networked robotic systems via hierarchical prescribed-time ESO-based control,” IEEE Trans. Network Science and Engineering, vol. 11, no. 1, pp. 566–577, 2024. doi: 10.1109/TNSE.2023.3302011
    [34]
    Z. Li, G. Wen, Z. Duan, and W. Ren, “Designing fully distributed consensus protocols for linear multi-agent systems with directed graphs,” IEEE Trans. Autom. Control, vol. 60, no. 4, pp. 1152–1157, 2015. doi: 10.1109/TAC.2014.2350391
    [35]
    Y. Ren, W. Zhou, Z. Li, L. Liu, and Y. Sun, “Prescribed-time cluster lag consensus control for second-order non-linear leader-following multiagent systems,” ISA Trans., vol. 109, pp. 49–60, 2021. doi: 10.1016/j.isatra.2020.09.012
    [36]
    Y. Wang, Y. Song, D. J. Hill, and M. Krstic, “Prescribed-time consensus and containment control of networked multiagent systems,” IEEE Trans. Cybern., vol. 49, no. 4, pp. 1138–1147, 2019. doi: 10.1109/TCYB.2017.2788874
    [37]
    L. Yao, Q. Xu, Z. Wu, and L. Feng, “Adaptive cooperative formation control for underactuated multiple surface vessel systems with random disturbances,” Ocean Engineering, vol. 328, p. 120984, 2025. doi: 10.1016/j.oceaneng.2025.120984
    [38]
    A. Azarbahram, A. Amini, and N. Pariz, “Event-triggered tracking formation of networked nonlinear intelligent transportation systems surrounded by random disturbances,” IEEE Trans. Intelligent Transportation Systems, vol. 23, no. 11, pp. 21959–21970, 2022. doi: 10.1109/TITS.2022.3189554
    [39]
    G. Wen, C. L. P. Chen, J. Feng, and N. Zhou, “Optimized multi-agent formation control based on an identifier-actor-critic reinforcement learning algorithm,” IEEE Trans. Fuzzy Systems, vol. 26, no. 5, pp. 2719–2731, 2018. doi: 10.1109/TFUZZ.2017.2787561
    [40]
    G. Wen, C. L. P. Chen, and B. Li, “Optimized formation control using simplified reinforcement learning for a class of multiagent systems with unknown dynamics,” IEEE Trans. Industrial Electronics, vol. 67, no. 9, pp. 7879–7888, 2020. doi: 10.1109/TIE.2019.2946545
    [41]
    A. Karimoddini, H. Lin, B. M. Chen, and T. H. Lee, “Hybrid three-dimensional formation control for unmanned helicopters,” Automatica, vol. 49, no. 2, pp. 424–433, 2013. doi: 10.1016/j.automatica.2012.10.008

Catalog

    通讯作者: 陈斌, bchen63@163.com
    • 1. 

      沈阳化工大学材料科学与工程学院 沈阳 110142

    1. 本站搜索
    2. 百度学术搜索
    3. 万方数据库搜索
    4. CNKI搜索

    Figures(14)

    Article Metrics

    Article views (296) PDF downloads(41) Cited by()

    /

    DownLoad:  Full-Size Img  PowerPoint
    Return
    Return