A journal of IEEE and CAA , publishes high-quality papers in English on original theoretical/experimental research and development in all areas of automation
Volume 13 Issue 1
Jan.  2026

IEEE/CAA Journal of Automatica Sinica

  • JCR Impact Factor: 19.2, Top 1 (SCI Q1)
    CiteScore: 28.2, Top 1% (Q1)
    Google Scholar h5-index: 95, TOP 5
Turn off MathJax
Article Contents
Z. Feng, Z. Shi, X. Dong, G. Hu, and J. Lv, “Attack-resilient distributed Nash equilibrium seeking for networked games under unbounded FDI attacks: Theory and experiment,” IEEE/CAA J. Autom. Sinica, vol. 13, no. 1, pp. 98–109, Jan. 2026. doi: 10.1109/JAS.2025.125486
Citation: Z. Feng, Z. Shi, X. Dong, G. Hu, and J. Lv, “Attack-resilient distributed Nash equilibrium seeking for networked games under unbounded FDI attacks: Theory and experiment,” IEEE/CAA J. Autom. Sinica, vol. 13, no. 1, pp. 98–109, Jan. 2026. doi: 10.1109/JAS.2025.125486

Attack-Resilient Distributed Nash Equilibrium Seeking for Networked Games Under Unbounded FDI Attacks: Theory and Experiment

doi: 10.1109/JAS.2025.125486
Funds:  This work was supported in part by the National Natural Science Foundation of China (62373022, U2241217, 62141604), Beijing Natural Science Foundation (4252043, JQ23019), the Fundamental Research Funds for the Central Universities (JKF-2025037448805, JKF-2025086098295), the Aeronautical Science Fund (2023Z034051001), the Academic Excellence Foundation of BUAA for Ph.D. Students, the Science and Technology Innovation 2030—Key Project of New Generation Artificial Intelligence (2020AAA0108200), and the National Key Research and Development Program of China (2022YFB3305600)
More Information
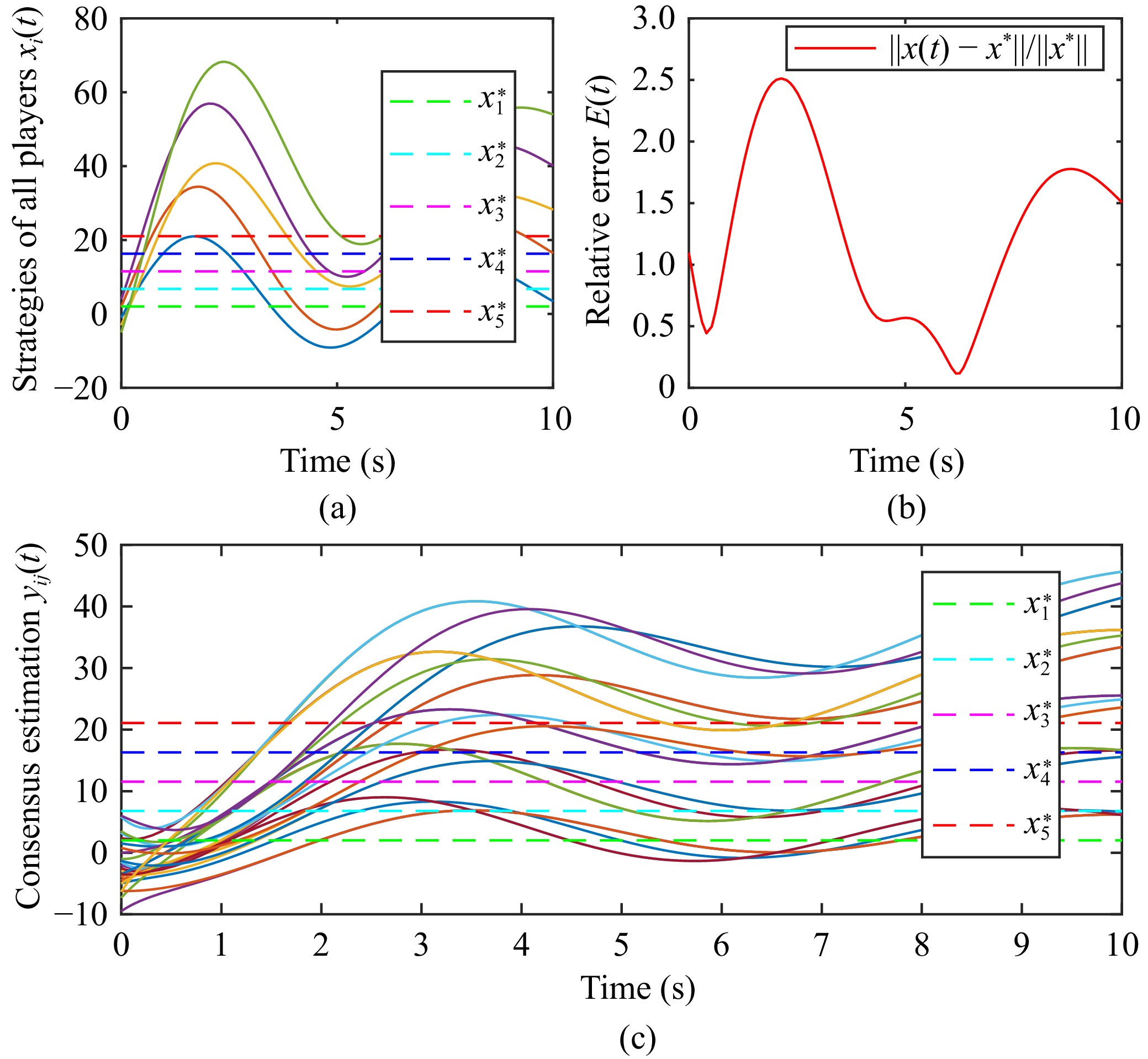
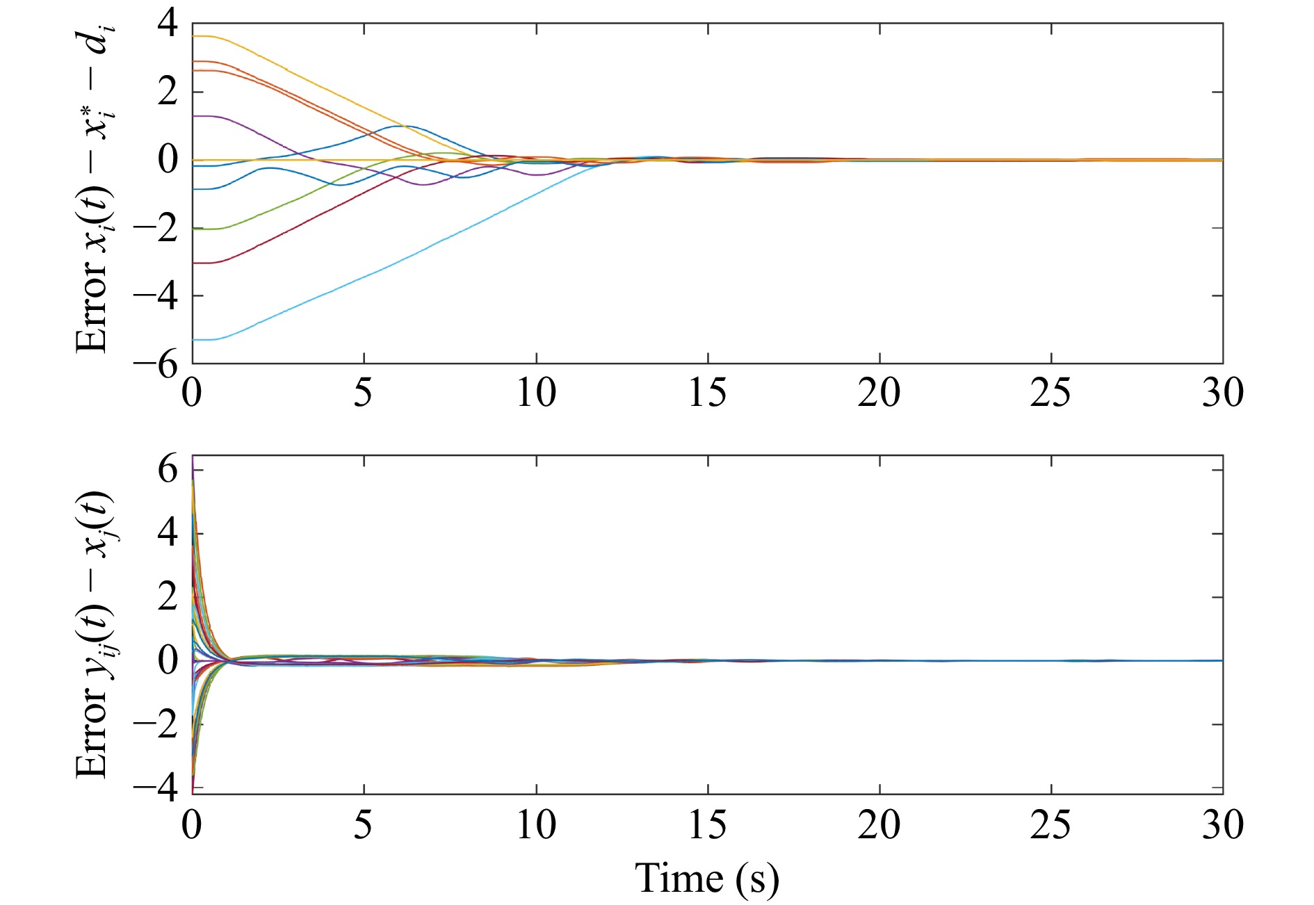
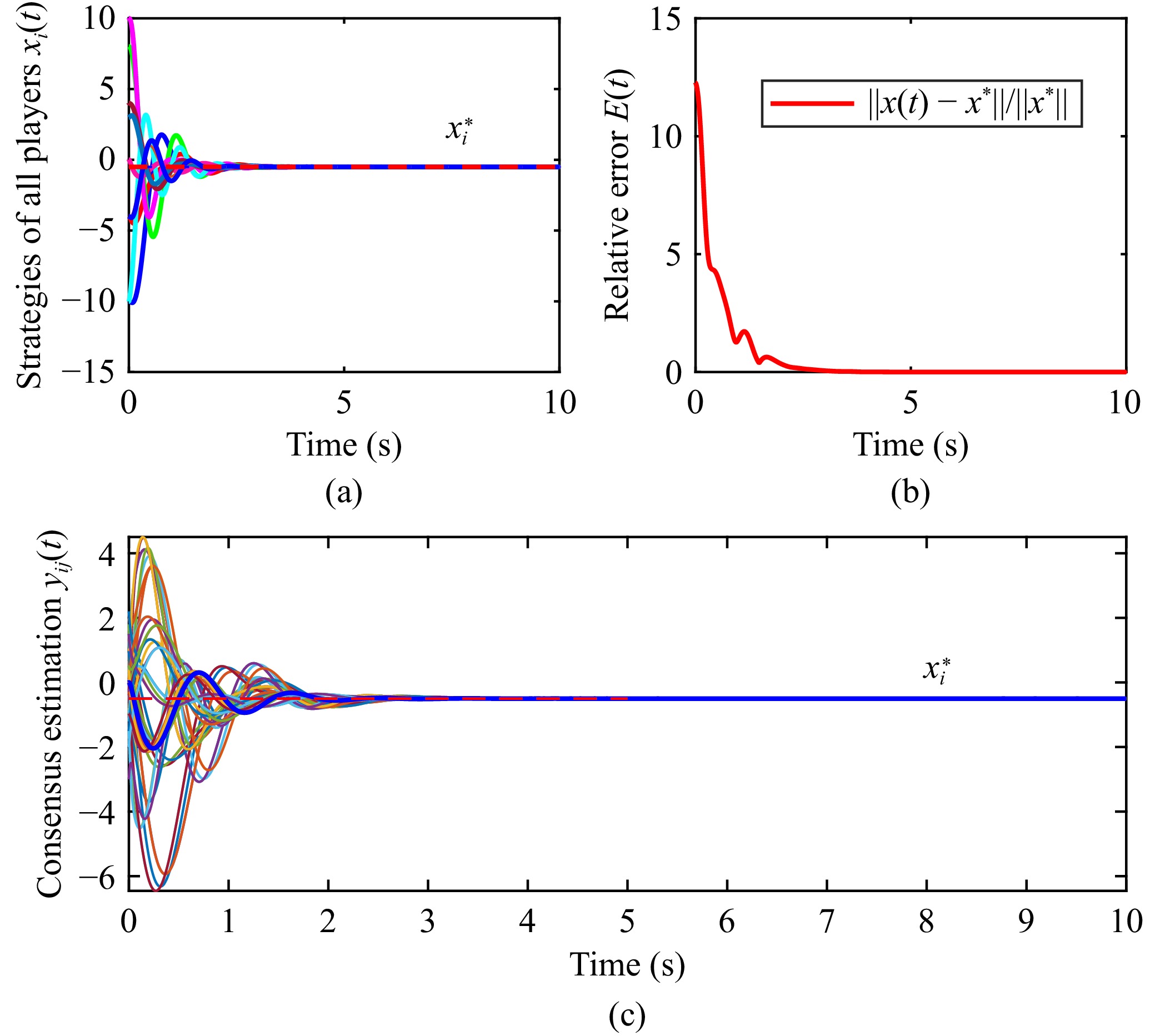
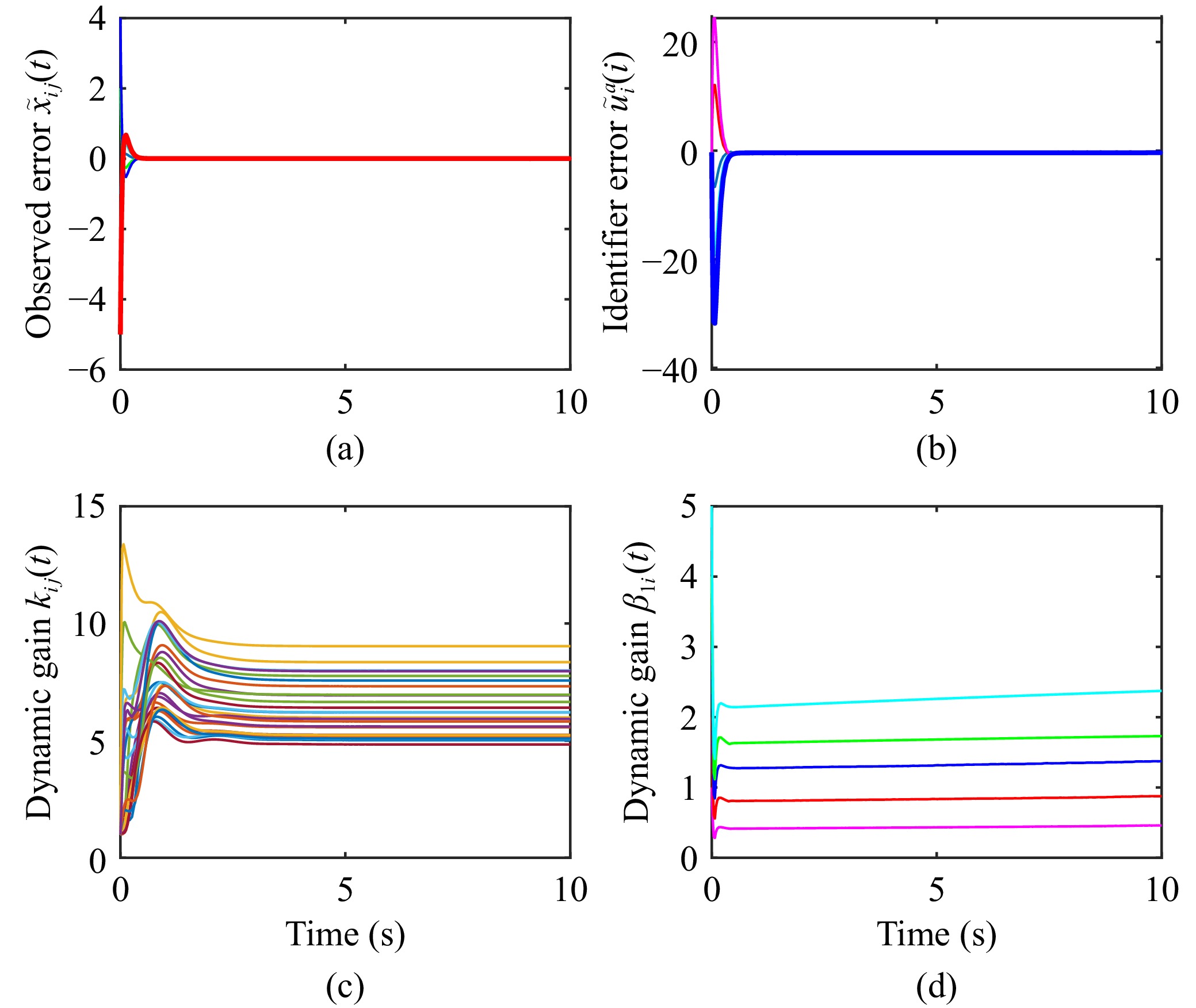
  • An attack-resilient distributed Nash equilibrium (NE) seeking problem is addressed for noncooperative games of networked systems under malicious cyber-attacks, i.e., false data injection (FDI) attacks. Different from many existing distributed NE seeking works, it is practical and challenging to get resilient adaptively distributed NE seeking under unknown and unbounded FDI attacks. An attack-resilient NE seeking algorithm that is distributed (i.e., independent of global information on the graph’s algebraic connectivity, Lipschitz and monotone constants of pseudo-gradients, or number of players), is presented by means of incorporating the consensus-based gradient play with a distributed attack identifier so as to achieve simultaneous NE seeking and attack identification asymptotically. Another key characteristic is that FDI attacks are allowed to be unknown and unbounded. By exploiting nonsmooth analysis and stability theory, the global asymptotic convergence of the developed algorithm to the NE is ensured. Moreover, we extend this design to further consider the attack-resilient NE seeking of double-integrator players. Lastly, numerical simulation and practical experiment results are presented to validate the developed algorithms’ effectiveness.

     

  • loading
  • 1 The proof follows a similar process to that of Lemma 5 in [27].
  • [1]
    X. Na and D. Cole, “Theoretical and experimental investigation of driver noncooperative-game steering control behavior,” IEEE/CAA J. Autom. Sinica, vol. 8, no. 1, pp. 189–205, 2021. doi: 10.1109/JAS.2020.1003480
    [2]
    M. S. Stankovic, K. H. Johansson, and D. M. Stipanovic, “Distributed seeking of Nash equilibria with applications to mobile sensor networks,” IEEE Trans. Autom. Control, vol. 57, no. 4, pp. 904–919, 2012. doi: 10.1109/TAC.2011.2174678
    [3]
    C. Mu, K. Wang, Z. Ni, and C. Sun, “Cooperative differential game-based optimal control and its application to power systems,” IEEE Trans. Ind. Informat., vol. 16, no. 8, pp. 5169–5179, 2020. doi: 10.1109/TII.2019.2955966
    [4]
    M. Ye, D. Li, Q.-L. Han, and L. Ding, “Distributed Nash equilibrium seeking for general networked games with bounded disturbances,” IEEE/CAA J. Autom. Sinica, vol. 10, no. 2, pp. 376–387, 2023. doi: 10.1109/JAS.2022.105428
    [5]
    D. Gadjov and L. Pavel, “A passivity-based approach to Nash equilibrium seeking over networks,” IEEE Trans. Autom. Control, vol. 64, no. 1, pp. 1077–1092, 2019.
    [6]
    Z. Deng and X. Nian, “Distributed generalized Nash equilibrium seeking algorithm design for aggregative games over weight-balanced digraphs,” IEEE Trans. Neur. Net. Lear., vol. 30, no. 3, pp. 695–706, 2019. doi: 10.1109/TNNLS.2018.2850763
    [7]
    M. Ye, “Distributed robust seeking of Nash equilibrium for networked games: An extended state observer-based approach,” IEEE Trans. Cybern., vol. 52, no. 3, pp. 1527–1538, 2022. doi: 10.1109/TCYB.2020.2989755
    [8]
    C. D. Persis and S. Grammatico, “Distributed averaging integral Nash equilibrium seeking on networks,” Automatica, vol. 110, p. 108548, 2019. doi: 10.1016/j.automatica.2019.108548
    [9]
    M. Ye and G. Hu, “Adaptive approaches for fully distributed Nash equilibrium seeking in networked games,” Automatica, vol. 129, p. 109661, 2021. doi: 10.1016/j.automatica.2021.109661
    [10]
    Z. Feng, G. Hu, X. Dong, and J. Lv, “Adaptively distributed Nash equilibrium seeking of noncooperative games for uncertain heterogeneous linear multi-agent systems,” IEEE Trans. Netw. Sci. Eng., vol. 10, no. 6, pp. 3871–3882, 2023.
    [11]
    L. Ding, C. Chen, M. Ye, and Q.-L. Han, “Fully distributed Nash equilibrium seeking: A double-layer adaptive approach,” IEEE Trans. Neural Netw. Learn. Syst., vol. 36, no. 7, pp. 13358−13372, 2025. doi: 10.1109/TNNLS.2024.3489356
    [12]
    Z. Feng and G. Hu, “Secure cooperative event-triggered control of linear multi-agent systems under DoS attacks,” IEEE Trans. Contr. Syst. Tech., vol. 28, no. 3, pp. 741–752, 2020. doi: 10.1109/TCST.2019.2892032
    [13]
    X. Ge, Q. Han, Q. Wu, and X. Zhang, “Resilient and safe platooning control of connected automated vehicles against intermittent denial-of-service attacks,” IEEE/CAA J. Autom. Sinica, vol. 10, no. 5, pp. 1234–1251, 2023. doi: 10.1109/JAS.2022.105845
    [14]
    X. Li, C. Wen, and C. Chen, “Resilient cooperative control for networked Lagrangian systems against DoS attacks,” IEEE Trans. Cybernetics, vol. 52, no. 2, pp. 836–848, 2022. doi: 10.1109/TCYB.2020.2988883
    [15]
    B. Chen, Y. Tan, Z. Sun, and L. Yu, “Attack-resilient control against FDI attacks in cyber-physical systems,” IEEE/CAA J. Autom. Sinica, vol. 9, no. 6, pp. 1099–1102, 2022. doi: 10.1109/JAS.2022.105641
    [16]
    C. Wu, W. Pan, R. Staa, J. Liu, G. Sun, and L. Wu, “Deep reinforcement learning control approach to mitigating actuator attacks,” Automatica, vol. 152, no. 110999, pp. 1–12, 2023.
    [17]
    D. Zhao, Y. Lv, X. Yu, G. Wen, and G. Chen, “Resilient consensus of higher order multi-agent networks: An attack isolation-based approach,” IEEE Trans. Autom. Control, vol. 67, no. 2, pp. 1001–1007, 2022. doi: 10.1109/TAC.2021.3075327
    [18]
    S. Sundaram and B. Gharesifard, “Distributed optimization under adversarial nodes,” IEEE Trans. Autom. Control, vol. 64, no. 3, pp. 1063–1076, 2019. doi: 10.1109/TAC.2018.2836919
    [19]
    C. Zhao, J. He, and Q. Wang, “Resilient distributed optimization algorithm against adversarial attacks,” IEEE Trans. Autom. Control, vol. 65, no. 10, pp. 4308–4315, 2020. doi: 10.1109/TAC.2019.2954363
    [20]
    Z. Feng and G. Hu, “Attack-resilient distributed convex optimization of cyber–physical systems against malicious cyber-attacks over random digraphs,” IEEE Internet Things J., vol. 10, no. 1, pp. 458–472, 2023. doi: 10.1109/JIOT.2022.3201583
    [21]
    C. Deng, L. Xu, T. Yang, Y. Dong, and T. Chai, “Distributed cooperative optimization for nonlinear heterogeneous MASs under intermittent communication,” IEEE Trans. Autom. Control, vol. 69, no. 4, pp. 2737–2744, 2024. doi: 10.1109/TAC.2023.3339435
    [22]
    X. Wang, X. Sun, A. Teel, and K. Liu, “Distributed robust Nash equilibrium seeking for aggregative games under persistent attacks: A hybrid systems approach,” Automatica, vol. 122, p. 109255, 2021.
    [23]
    C. Qian and L. Ding, “Fully distributed attack-resilient Nash equilibrium seeking for networked games subject to DoS attacks,” Infor. Sciences, vol. 641, p. 119080, 2023. doi: 10.1016/j.ins.2023.119080
    [24]
    M. Ye, “On resilience against cyber-physical uncertainties in distributed Nash equilibrium seeking strategies for heterogeneous games,” IEEE/CAA J. Autom. Sinica, vol. 12, no. 1, pp. 138–147, 2025. doi: 10.1109/JAS.2024.124803
    [25]
    C. Xin, X. Feng, and W. Bo, “Resilient Nash equilibrium seeking in multi-agent games under false data injection attacks,” IEEE Trans. Syst., Man Cybern. Syst., vol. 53, no. 1, pp. 275–283, 2023. doi: 10.1109/TSMC.2022.3180006
    [26]
    F. Facchinei and J. Pang, Finite-Dimensional Variational Inequalities and Complementarity Problems. Springer, 2007.
    [27]
    Z. Li, W. Ren, X. Liu, and M. Fu, “Consensus of multi-agent systems with general linear and Lipschitz nonlinear dynamics using distributed adaptive protocols,” IEEE Trans. Autom. Control, vol. 58, no. 7, pp. 1786–1791, 2013. doi: 10.1109/TAC.2012.2235715
    [28]
    G. Hu, “Robust consensus tracking of a class of second-order multi-agent dynamic systems,” Syst. Control Lett., vol. 61, no. 1, pp. 134–142, 2012. doi: 10.1016/j.sysconle.2011.10.004
    [29]
    Z. Feng and G. Hu, “Connectivity-preserving flocking for networked Lagrange systems with time-varying actuator faults,” Automatica, vol. 109, no. 108509, pp. 1–10, 2019.
    [30]
    X. Li, C. Wen, J. Wang, and J. Zhou, “Adaptive coordination of networked Lagrangian systems with nonsmooth actuator nonlinearities,” IEEE Trans. Autom. Control, vol. 70, no. 3, pp. 1883–1889, 2025. doi: 10.1109/TAC.2024.3471860
    [31]
    N. Fischer, R. Kamalapurkar, and W. E. Dixon, “LaSalle-Yoshizawa corollaries for nonsmooth systems,” IEEE Trans. Autom. Control, vol. 58, no. 1, pp. 2333–2338, 2013.

Catalog

    通讯作者: 陈斌, bchen63@163.com
    • 1. 

      沈阳化工大学材料科学与工程学院 沈阳 110142

    1. 本站搜索
    2. 百度学术搜索
    3. 万方数据库搜索
    4. CNKI搜索

    Figures(14)  / Tables(1)

    Article Metrics

    Article views (580) PDF downloads(115) Cited by()

    /

    DownLoad:  Full-Size Img  PowerPoint
    Return
    Return