A journal of IEEE and CAA , publishes high-quality papers in English on original theoretical/experimental research and development in all areas of automation
Volume 13 Issue 3
Mar.  2026

IEEE/CAA Journal of Automatica Sinica

  • JCR Impact Factor: 19.2, Top 1 (SCI Q1)
    CiteScore: 28.2, Top 1% (Q1)
    Google Scholar h5-index: 95, TOP 5
Turn off MathJax
Article Contents
Z. Chen, S. Mo, H. Ke, S. Ding, Z. Jiang, C. Yang, and W. Gui, “CCDNN: A novel deep learning architecture for multi-source data fusion,” IEEE/CAA J. Autom. Sinica, vol. 13, no. 3, pp. 555–567, Mar. 2026. doi: 10.1109/JAS.2025.125411
Citation: Z. Chen, S. Mo, H. Ke, S. Ding, Z. Jiang, C. Yang, and W. Gui, “CCDNN: A novel deep learning architecture for multi-source data fusion,” IEEE/CAA J. Autom. Sinica, vol. 13, no. 3, pp. 555–567, Mar. 2026. doi: 10.1109/JAS.2025.125411

CCDNN: A Novel Deep Learning Architecture for Multi-Source Data Fusion

doi: 10.1109/JAS.2025.125411
Funds:  This work was supported in part by the National Natural Science Foundation of China (62173349), the Natural Science Foundation of Hunan Province (2025JJ10007), the Science and Technology Innovation Program of Hunan Province (2022RC1090), the Natural Science Foundation of Hunan Province (2022JJ20076)
More Information
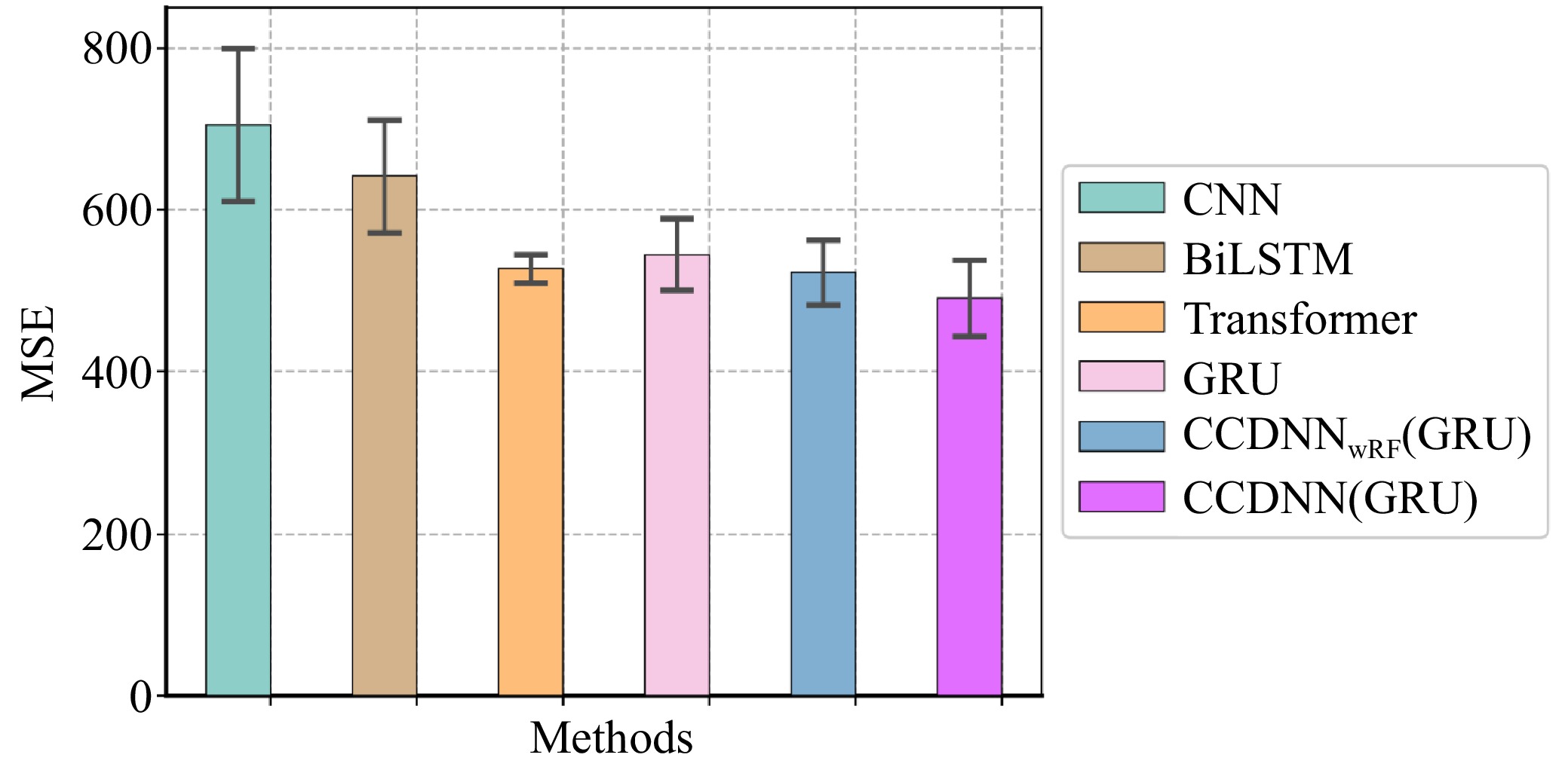
  • With the rapid development of Industrial 4.0 and Industrial Internet of Things, the data collection with multi-source has significantly improved. How to effectively fuse these data for various engineering applications is still an open and challenge issue. To this end, we propose the canonical correlation guided deep neural network (CCDNN), a novel deep learning architecture, to learn a correlated representation for multi-source data fusion. Unlike the linear canonical correlation analysis (CCA), kernel CCA and deep CCA, in the proposed method, the optimization formulation is not restricted to maximize correlation, instead we make canonical correlation as a constraint, which preserves the correlated representation learning ability and focuses more on the engineering tasks endowed by optimization formulation, such as reconstruction, classification and prediction. Furthermore, to reduce the redundancy induced by correlation, a redundancy filter is designed. We illustrate its data fusion ability via correlated representation learning and superior performance on various engineering tasks. In experiments on MNIST dataset, the results show that CCDNN has better reconstruction performance in terms of mean squared error and mean absolute error than deep CCA and deep canonically correlated autoencoders (DCCAE). Also, we present the application of the proposed network to industrial fault diagnosis and remaining useful life cases for the classification and prediction tasks accordingly. The proposed method demonstrates approving performance in both tasks when compared to existing methods. Extension of CCDNN to much more deeper with the aid of residual connection is also presented in Appendix.

     

  • loading
  • [1]
    H. Hotelling, “Relations between two sets of variates,” Biometrika, vol. 28, no. 3–4, pp. 321–377, 1936. doi: 10.1093/biomet/28.3-4.321
    [2]
    T. Anderson, An Introduction to Multivariate Statistical Analysis, 2nd ed. New York, USA: John Wiley and Sons, Ltd, 1984.
    [3]
    N. M. Correa, T. Adali, Y.-O. Li, and V. D. Calhoun, “Canonical correlation analysis for data fusion and group inferences: Examining applications of medical imaging data,” IEEE Signal Process Mag, vol. 27, no. 4, pp. 39–50, 2010. doi: 10.1109/MSP.2010.936725
    [4]
    Y. Bengio, A. Courville, and P. Vincent, “Representation learning: A review and new perspectives,” IEEE Trans. Pattern Analysis and Machine Intelligence, vol. 35, no. 8, pp. 1798–1828, 2013. doi: 10.1109/TPAMI.2013.50
    [5]
    L. A. Passos, J. P. Papa, J. Del Ser, A. Hussain, and A. Adeel, “Multimodal audio-visual information fusion using canonical-correlated graph neural network for energy-efficient speech enhancement,” Information Fusion, vol. 90, pp. 1–11, 2023. doi: 10.1016/j.inffus.2022.09.006
    [6]
    B. Scholkopf and A. J. Smola, Learning With Kernels. Cambridge, USA: MIT Press, 2002.
    [7]
    S. Akaho, “A kernel method for canonical correlation analysis,” arXiv preprint arXiv cs/0609071, 2006.
    [8]
    K. Fukumizu, F. R. Bach, and A. Gretton, “Statistical consistency of kernel canonical correlation analysis,” J. Machine Learning Research, vol. 8, pp. 361–383, 2007.
    [9]
    X. Li, S. Yu, Y. Lei, N. Li, and B. Yang, “Dynamic vision-based machinery fault diagnosis with cross-modality feature alignment,” IEEE/CAA J. Autom. Sinica, vol. 11, no. 10, pp. 2068–2081, 2024. doi: 10.1109/JAS.2024.124470
    [10]
    J. Zhang, L. Pan, Q.-L. Han, C. Chen, S. Wen, and Y. Xiang, “Deep learning based attack detection for cyber-physical system cybersecurity: A survey,” IEEE/CAA J. Autom. Sinica, vol. 9, no. 3, pp. 377–391, 2021.
    [11]
    A. J. Moshayedi, A. S. Khan, S. Yang, and S. M. Zanjani, “Personal image classifier based handy pipe defect recognizer (HPD): Design and test,” in Proc. 7th Int. Conf. Intelligent Computing and Signal Processing, 2022, pp. 1721–1728.
    [12]
    Z. Li, S. Li, and X. Luo, “An overview of calibration technology of industrial robots,” IEEE/CAA J. Autom. Sinica, vol. 8, no. 1, pp. 23–36, 2021. doi: 10.1109/JAS.2020.1003381
    [13]
    G. Andrew, R. Arora, J. Bilmes, and K. Livescu, “Deep canonical correlation analysis,” in Proc. 30th Int. Conf. Machine Learning, 2013, vol. 28, no. 3. pp. 1247–1255.
    [14]
    H. Asoh and O. Takechi, “An approximation of nonlinear canonical correlation analysis by multilayer perceptrons,” in Proc. Int. Conf. Artificial Neural Networks, 1994, pp. 713–716.
    [15]
    X. Yuan, W. Xu, Y. Wang, C. Yang, and W. Gui, “A deep residual PLS for data-driven quality prediction modeling in industrial process,” IEEE/CAA J. Autom. Sinica, vol. 11, no. 8, pp. 1777–1785, 2024. doi: 10.1109/JAS.2024.124578
    [16]
    A. J. Moshayedi, A. S. Khan, M. Davari, T. Mokhtari, and M. E. Andani, “Micro robot as the feature of robotic in healthcare approach from design to application: The state of art and challenges,” EAI Endorsed Trans. AI and Robotics, vol. 3, pp. 1–16, 2024.
    [17]
    Z. Li, S. Li, A. Francis, and X. Luo, “A novel calibration system for robot arm via an open dataset and a learning perspective,” IEEE Trans. Circuits and Systems II: Express Briefs, vol. 69, no. 12, pp. 5169–5173, 2022.
    [18]
    G. Xu, A. S. Khan, A. J. Moshayedi, X. Zhang, and Y. Shuxin, “The object detection, perspective and obstacles in robotic: A review,” EAI Endorsed Trans. AI and Robotics, vol. 1, p. 1, 2022.
    [19]
    A. G. Barnston and C. F. Ropelewski, “Prediction of ENSO episodes using canonical correlation analysis,” J. Climate, vol. 5, no. 11, pp. 1316–1345, 1992.
    [20]
    L. Sun, S. Ji, S. Yu, and J. Ye, “On the equivalence between canonical correlation analysis and orthonormalized partial least squares,” in Proc. 21st Int. Joint Conf. Artificial Intelligence, Pasadena, USA, Jul. 2009, pp. 1230–1235.
    [21]
    D. R. Hardoon, S. Szedmak, and J. Shawe-Taylor, “Canonical correlation analysis: An overview with application to learning methods,” Neural Computation, vol. 16, no. 12, pp. 2639–2664, 2004. doi: 10.1162/0899766042321814
    [22]
    B. Juricek, D. Seborg, and W. Larimore, “Fault detection using canonical variate analysis,” Industrial & Engineering Chemistry Research, vol. 43, no. 2, pp. 458–474, Jan. 2004.
    [23]
    S. X. Ding, Data-Driven Design of Fault Diagnosis and Fault-tolerant Control Systems. London, UK: Springer-Verlag, 2014.
    [24]
    Z. W. Chen, S. X. Ding, K. Zhang, Z. B. Li, and Z. K. Hu, “Canonical correlation analysis-based fault detection methods with application to alumina evaporation process,” Control Engineering Practice, vol. 46, pp. 51–58, 2016. doi: 10.1016/j.conengprac.2015.10.006
    [25]
    Q. Jiang and X. Yan, “Learning deep correlated representations for nonlinear process monitoring,” IEEE Trans. Industrial Informatics, vol. 15, no. 12, pp. 6200–6209, 2019. doi: 10.1109/TII.2018.2886048
    [26]
    H. Chen, Z. Chen, Z. Chai, B. Jiang, and B. Huang, “A single-side neural network-aided canonical correlation analysis with applications to fault diagnosis,” IEEE Trans. Cybern., vol. 52, no. 9, pp. 9454–9466, 2022. doi: 10.1109/TCYB.2021.3060766
    [27]
    A. Er, D. Y. Ding, B. Er, M. Uzun, M. Cakmak, C. Sadee, G. Durhan, M. N. Ozmen, M. D. Tanriover, A. Topeli, S. Y. Aydin, R. Tibshirani, S. Unal, and O. Gevaert, “Multimodal data fusion using sparse canonical correlation analysis and cooperative learning: A COVID-19 cohort study,” NPJ Digit Med, vol. 7, no. 1, p. 117, 2024. doi: 10.1038/s41746-024-01128-2
    [28]
    V. Uurtio, J. a. M. Monteiro, J. Kandola, J. Shawe-Taylor, D. Fernandez-Reyes, and J. Rousu, “A tutorial on canonical correlation methods,” ACM Comput. Surv., vol. 50, no. 6, p. 95, Nov. 2017. doi: 10.1145/3136624
    [29]
    F. R. Bach and M. I. Jordan, “Kernel independent component analysis,” J. Mach. Learn. Res., vol. 3, pp. 1–48, 2003.
    [30]
    M. J. Healy, “A rotation method for computing canonical correlations,” Math. of Computation, vol. 11, pp. 83–86, 1957. doi: 10.1090/S0025-5718-1957-0085600-6
    [31]
    Z. Li, S. Li, O. O. Bamasag, A. Alhothali, and X. Luo, “Diversified regularization enhanced training for effective manipulator calibration,” IEEE Trans. Neural Networks and Learning Systems, vol. 34, no. 11, pp. 8778–8790, 2022.
    [32]
    W. Wang, R. Arora, K. Livescu, and J. Bilmes, “On deep multiview representation learning,” in Proc. Int. Conf. Machine Learning, 2015, pp. 1083–1092.
    [33]
    X. Li, Y. Xu, N. Li, B. Yang, and Y. Lei, “Remaining useful life prediction with partial sensor malfunctions using deep adversarial networks,” IEEE/CAA J. Autom. Sinica, vol. 10, no. 1, pp. 121–134, 2023. doi: 10.1109/JAS.2022.105935
    [34]
    X. Jiang, X. Kong, and Z. Ge, “Augmented industrial data-driven modeling under the curse of dimensionality,” IEEE/CAA J. Autom. Sinica, vol. 10, no. 6, pp. 1445–1461, 2023. doi: 10.1109/JAS.2023.123396
    [35]
    Z. W. Chen, S. X. Ding, T. Peng, C. H. Yang, and W. H. Gui, “Fault detection for non-Gaussian processes using generalized canonical correlation analysis and randomized algorithms,” IEEE Trans. Industrial Electronics, vol. 65, no. 2, pp. 1559–1567, 2018. doi: 10.1109/TIE.2017.2733501
    [36]
    S. Akaho, “A kernel method for canonical correlation analysis,” arXiv preprint arXiv: cs/0609071, 2007.
    [37]
    C. Dong, C. C. Loy, K. He, and X. Tang, “Image super-resolution using deep convolutional networks,” IEEE Trans. Pattern Analysis and Machine Intelligence, vol. 38, no. 2, pp. 295–307, 2016. doi: 10.1109/TPAMI.2015.2439281
    [38]
    Y. Lecun, L. Bottou, Y. Bengio, and P. Haffner, “Gradient-based learning applied to document recognition,” Proc. IEEE, vol. 86, no. 11, pp. 2278–2324, 1998. doi: 10.1109/5.726791
    [39]
    I. Tolstikhin, O. Bousquet, S. Gelly, and B. Schoelkopf, “Wasserstein auto-encoders,” arXiv preprint arXiv: 1711.01558, 2017.
    [40]
    Z. Chen, K. Liang, S. X. Ding, C. Yang, T. Peng, and X. Yuan, “A comparative study of deep neural network-aided canonical correlation analysis-based process monitoring and fault detection methods,” IEEETrans. Neural Networks and Learning Systems, vol. 33, no. 11, pp. 6158–6172, 2021.
    [41]
    S. Shao, S. McAleer, R. Yan, and P. Baldi, “Highly accurate machine fault diagnosis using deep transfer learning,” IEEE Trans. Industrial Informatics, vol. 15, no. 4, pp. 2446–2455, 2019. doi: 10.1109/TII.2018.2864759
    [42]
    A. Saxena, K. Goebel, D. Simon, and N. Eklund, “Damage propagation modeling for aircraft engine run-to-failure simulation,” in Proc. 1st Int. Conf. Prognostics and Health Management, [Online], Available: https://dx.doi.org/10.1109/PHM.2008.4711414, 2008.
    [43]
    K. He, X. Zhang, S. Ren, and J. Sun, “Deep residual learning for image recognition,” in Proc. IEEE Conf. Computer Vision and Pattern Recognition, 2016, pp. 770–778.

Catalog

    通讯作者: 陈斌, bchen63@163.com
    • 1. 

      沈阳化工大学材料科学与工程学院 沈阳 110142

    1. 本站搜索
    2. 百度学术搜索
    3. 万方数据库搜索
    4. CNKI搜索

    Figures(13)  / Tables(4)

    Article Metrics

    Article views (619) PDF downloads(52) Cited by()

    /

    DownLoad:  Full-Size Img  PowerPoint
    Return
    Return