A journal of IEEE and CAA , publishes high-quality papers in English on original theoretical/experimental research and development in all areas of automation
Volume 12 Issue 11
Nov.  2025

IEEE/CAA Journal of Automatica Sinica

  • JCR Impact Factor: 19.2, Top 1 (SCI Q1)
    CiteScore: 28.2, Top 1% (Q1)
    Google Scholar h5-index: 95, TOP 5
Turn off MathJax
Article Contents
X. Hu, C. Peng, H. Shen, and E. Tian, “Extended dissipative observer-based plug-and-play control for large-scale interconnected systems,” IEEE/CAA J. Autom. Sinica, vol. 12, no. 11, pp. 2207–2217, Nov. 2025. doi: 10.1109/JAS.2025.125360
Citation: X. Hu, C. Peng, H. Shen, and E. Tian, “Extended dissipative observer-based plug-and-play control for large-scale interconnected systems,” IEEE/CAA J. Autom. Sinica, vol. 12, no. 11, pp. 2207–2217, Nov. 2025. doi: 10.1109/JAS.2025.125360

Extended Dissipative Observer-Based Plug-and-Play Control for Large-Scale Interconnected Systems

doi: 10.1109/JAS.2025.125360
Funds:  This work was supported in part by the National Natural Science Foundation of China (62173218)
More Information
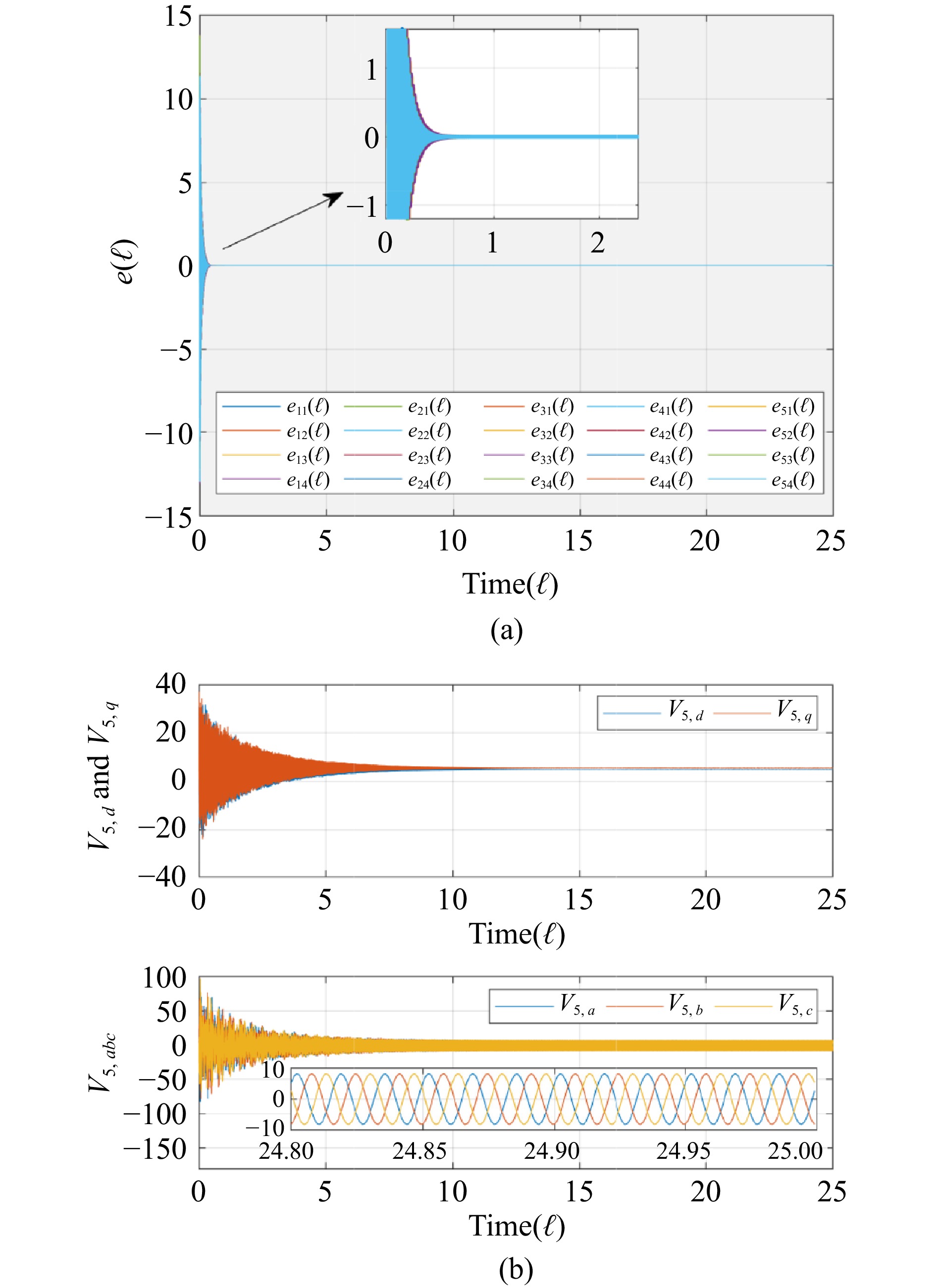
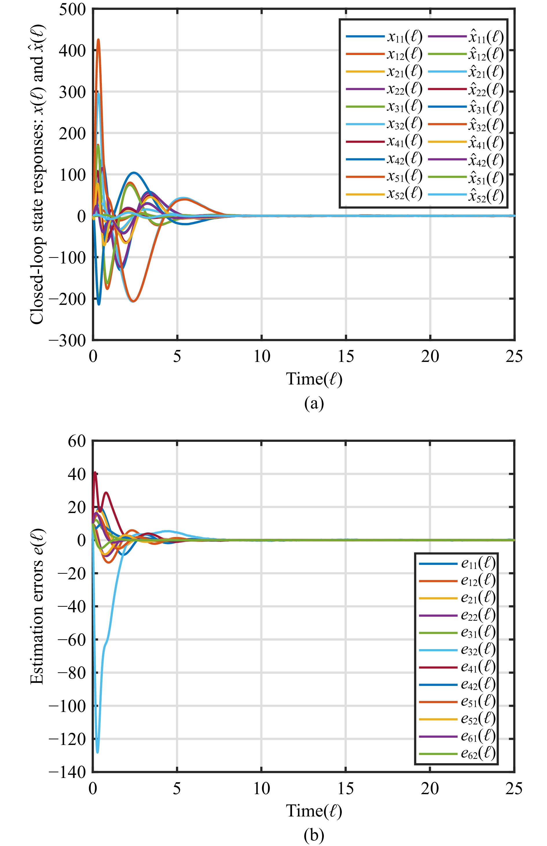
  • In this study, a novel observer-based scalable control scheme for large-scale systems (LSSs) with several interconnected subsystems is explored. Firstly, a scalable observer-based controller is designed to address complex situations where system states are difficult to measure directly. Secondly, unlike the limited cascade and ring topology connections in previous results, this study considers a universal arbitrary topology. Furthermore, it is noteworthy that the plug-and-play (PnP) capability of LSSs is guaranteed thanks to the proposed scalable scheme. Specifically, when subsystems are added or removed, only the controller gains of directly connected neighbors need updating, eliminating the need to redesign the entire system. Moreover, by choosing a Lyapunov-Krasovskii function with a quadratic matrix-valued polynomial, sufficient conditions are deduced to guarantee the global exponential stability with the desired extended dissipative performance for the resulting LSSs. Finally, the effectiveness of the employed scheme is verified by numerical and microgrid examples.

     

  • loading
  • [1]
    Z. Zhang, C. Dou, D. Yue, and B. Zhang, “Predictive voltage hierarchical controller design for islanded microgrids under limited communication,” IEEE Trans. Circuits Syst. I, Reg. Papers, vol. 69, no. 2, pp. 933–945, Feb. 2022. doi: 10.1109/TCSI.2021.3117048
    [2]
    Y. Li, H. Zhang, Z. Wang, C. Huang, and H. Yan, “Decentralized control for large-scale systems with actuator faults and external disturbances: A data-driven method,” IEEE Trans. Neural Netw. Learn. Syst., vol. 35, no. 8, pp. 10 882–10 893, Aug. 2024. doi: 10.1109/TNNLS.2023.3245102
    [3]
    Y. Yu, G.-P. Liu, Y. Huang, and P. Shi, “Optimal cooperative secondary control for islanded DC microgrids via a fully actuated approach,” IEEE/CAA J. Autom. Sinica, vol. 11, no. 2, pp. 405–417, Feb. 2024. doi: 10.1109/JAS.2023.123942
    [4]
    M. A. Jarrahi, H. Samet, and T. Ghanbari, “Fault detection in DC microgrid: A transient monitoring function-based method,” IEEE Trans. Industrial Elec., vol. 70, no. 6, pp. 6284–6294, Jun. 2023. doi: 10.1109/TIE.2022.3194580
    [5]
    J. Lai, X. Lu, Z. Dong, and S. Cheng, “Resilient distributed multiagent control for AC microgrid networks subject to disturbances,” IEEE Trans. Syst. Man Cybernet. Syst., vol. 52, no. 1, pp. 43–53, Jan. 2022. doi: 10.1109/TSMC.2021.3056559
    [6]
    M. Z. Alam and A. Jamalipour, “Multi-agent DRL-based Hungarian algorithm (MADRLHA) for task offloading in multi-access edge computing internet of vehicles (IoVs),” IEEE Trans. Wireless Commun., vol. 21, no. 9, pp. 7641–7652, Sept. 2022. doi: 10.1109/TWC.2022.3160099
    [7]
    X. Kong, G. Duan, M. Hou, G. Shen, H. Wang, X. Yan, and M. Collotta, “Deep reinforcement learning-based energy-efficient edge computing for internet of vehicles,” IEEE Trans. Industrial Info., vol. 18, no. 9, pp. 6308–6316, Sept. 2022. doi: 10.1109/TII.2022.3155162
    [8]
    X. Wang, Z. Ning, X. Hu, L. Wang, B. Hu, J. Cheng, and V. C. Leung, “Optimizing content dissemination for real-time traffic management in large-scale internet of vehicle systems,” IEEE Trans. Veh. Technol., vol. 68, no. 2, pp. 1093–1105, Feb. 2019. doi: 10.1109/TVT.2018.2886010
    [9]
    N. Wang, X. Liang, H. Li, and X. Lu, “Decentralized optimal control and stabilization of interconnected systems with asymmetric information,” IEEE/CAA J. Autom. Sinica, vol. 11, no. 3, pp. 698–707, Mar. 2024. doi: 10.1109/JAS.2023.124044
    [10]
    S. Tong, Y. Li, and Y. Liu, “Observer-based adaptive neural networks control for large-scale interconnected systems with nonconstant control gains,” IEEE Trans. Neural Netw. Learn. Syst., vol. 32, no. 4, pp. 1575–1585, Apr. 2021. doi: 10.1109/TNNLS.2020.2985417
    [11]
    Y. Sun, J. Wang, and H. Liu, “Dissipativity analysis of large-scale networked systems,” Appl. Sci., vol. 13, no. 2, p. 1214, 2023. doi: 10.3390/app13021214
    [12]
    U. A. Khan and J. M. Moura, “Distributing the Kalman filter for largescale systems,” IEEE Trans. Sig. Proc., vol. 56, no. 10, pp. 4919–4935, 2008. doi: 10.1109/TSP.2008.927480
    [13]
    D. D. Siljak, “Stability of large-scale systems under structural perturbations,” IEEE Trans. Syst. Man Cybernet. Syst., vol. 5, pp. 657–663, Nov. 1972.
    [14]
    N. L. Diaz, A. C. Luna, J. C. Vasquez, and J. M. Guerrero, “Centralized control architecture for coordination of distributed renewable generation and energy storage in islanded AC microgrids,” IEEE Trans. Power Elec., vol. 32, no. 7, pp. 5202–5213, Jul. 2017. doi: 10.1109/TPEL.2016.2606653
    [15]
    M. Vanouni and N. Lu, “Improving the centralized control of thermostatically controlled appliances by obtaining the right information,” IEEE Trans. Smart Grid, vol. 6, no. 2, pp. 946–948, Mar. 2015. doi: 10.1109/TSG.2014.2357211
    [16]
    S. Huang, K. K. Tan, and T. H. Lee, “Decentralized control design for large-scale systems with strong interconnections using neural networks,” IEEE Trans. Autom. Control, vol. 48, no. 5, pp. 805–810, May 2003. doi: 10.1109/TAC.2003.811258
    [17]
    Y. Zhan, X. Li, and S. Tong, “Observer-based decentralized control for non-strict-feedback fractional-order nonlinear large-scale systems with unknown dead zones,” IEEE Trans. Neural Netw. Learn. Syst., vol. 34, no. 10, pp. 7479–7490, May 2023. doi: 10.1109/TNNLS.2022.3143901
    [18]
    E. Agarwal, S. Sivaranjani, V. Gupta, and P. J. Antsaklis, “Distributed synthesis of local controllers for networked systems with arbitrary interconnection topologies,” IEEE Trans. Autom. Control, vol. 66, no. 2, pp. 683–698, Feb. 2021. doi: 10.1109/TAC.2020.2990754
    [19]
    L. Chen, S. Zhou, J. Ma, and M. Xu, “Fast kernel k-means clustering using incomplete Cholesky factorization,” Appl. Math. Comput., vol. 402, p. 126037, 2021.
    [20]
    M. S. Sadabadi, Q. Shafiee, and A. Karimi, “Plug-and-play robust voltage control of DC microgrids,” IEEE Trans. Smart Grid, vol. 9, no. 6, pp. 6886–6896, Nov. 2018. doi: 10.1109/TSG.2017.2728319
    [21]
    E. Agarwal, S. Sivaranjani, V. Gupta, and P. Antsaklis, “Sequential synthesis of distributed controllers for cascade interconnected systems,” Proc. Amer. Control Conf., pp. 5816–5821, 2019.
    [22]
    P. Appeltans and W. Michiels, “A scalable controller synthesis method for the robust control of networked systems,” arXiv preprint arXiv: 2009.04289, 2020.
    [23]
    X. Hu, C. Peng, S. Yang, and H. Shen, “Mode-dependent scalable control for large-scale networked systems,” IEEE Trans. Circuits Syst. II, Exp. Briefs, vol. 70, no. 11, pp. 4153–4157, Nov. 2023.
    [24]
    T. H. Lee, M.-J. Park, J. H. Park, O.-M. Kwon, and S.-M. Lee, “Extended dissipative analysis for neural networks with time-varying delays,” IEEE Trans. Neural Netw. Learn. Syst., vol. 25, no. 10, pp. 1936–1941, Oct. 2014. doi: 10.1109/TNNLS.2013.2296514
    [25]
    D. S. Bernstein, “Matrix mathematics,” in Matrix Mathematics: Theory, Facts, and Formulas. Princeton University Press, 2009.
    [26]
    E. Agarwal, S. Sivaranjani, Y. Song, V. Gupta, and P. Antsaklis, “Comment on ‘distributed synthesis of local controllers for networked systems with arbitrary interconnection topologies’,” IEEE Trans. Autom. Control, vol. 67, no. 12, pp. 6987–6989, Dec. 2022. doi: 10.1109/TAC.2022.3211952
    [27]
    S. Welikala, H. Lin, and P. Antsaklis, “A generalized distributed analysis and control synthesis approach for networked systems with arbitrary interconnections,” arXiv preprint arXiv: 2204.09756, 2022.
    [28]
    S. Riverso, F. Sarzo, and G. Ferrari-Trecate, “Plug-and-play voltage and frequency control of islanded microgrids with meshed topology,” IEEE Trans. Smart Grid, vol. 6, no. 3, pp. 1176–1184, May 2015. doi: 10.1109/TSG.2014.2381093
    [29]
    A. Pigazo, V. M. Moreno, and E. J. Estebanez, “A recursive park transformation to improve the performance of synchronous reference frame controllers in shunt active power filters,” IEEE Trans. Power Elec., vol. 24, no. 9, pp. 2065–2075, Sept. 2009. doi: 10.1109/TPEL.2009.2025335

Catalog

    通讯作者: 陈斌, bchen63@163.com
    • 1. 

      沈阳化工大学材料科学与工程学院 沈阳 110142

    1. 本站搜索
    2. 百度学术搜索
    3. 万方数据库搜索
    4. CNKI搜索

    Figures(10)

    Article Metrics

    Article views (230) PDF downloads(33) Cited by()

    /

    DownLoad:  Full-Size Img  PowerPoint
    Return
    Return