A journal of IEEE and CAA , publishes high-quality papers in English on original theoretical/experimental research and development in all areas of automation
Volume 13 Issue 3
Mar.  2026

IEEE/CAA Journal of Automatica Sinica

  • JCR Impact Factor: 19.2, Top 1 (SCI Q1)
    CiteScore: 28.2, Top 1% (Q1)
    Google Scholar h5-index: 95, TOP 5
Turn off MathJax
Article Contents
D. Tebaldi and R. Zanasi, “Nonlinear frictions identification in time-variant automotive systems,” IEEE/CAA J. Autom. Sinica, vol. 13, no. 3, pp. 611–619, Mar. 2026. doi: 10.1109/JAS.2025.125294
Citation: D. Tebaldi and R. Zanasi, “Nonlinear frictions identification in time-variant automotive systems,” IEEE/CAA J. Autom. Sinica, vol. 13, no. 3, pp. 611–619, Mar. 2026. doi: 10.1109/JAS.2025.125294

Nonlinear Frictions Identification in Time-Variant Automotive Systems

doi: 10.1109/JAS.2025.125294
Funds:  The work was partly supported by the University of Modena and Reggio Emilia through the action FARD (Finanziamento Ateneo Ricerca Dipartimentale) 2023/2024, and funded under the National Recovery and Resilience Plan (NRRP), Mission 04 Component 2, Investment 1.5 – NextGenerationEU, Call for tender n. 3277 dated 30/12/2021 (Award number: 0001052 dated 23/06/2022)
More Information
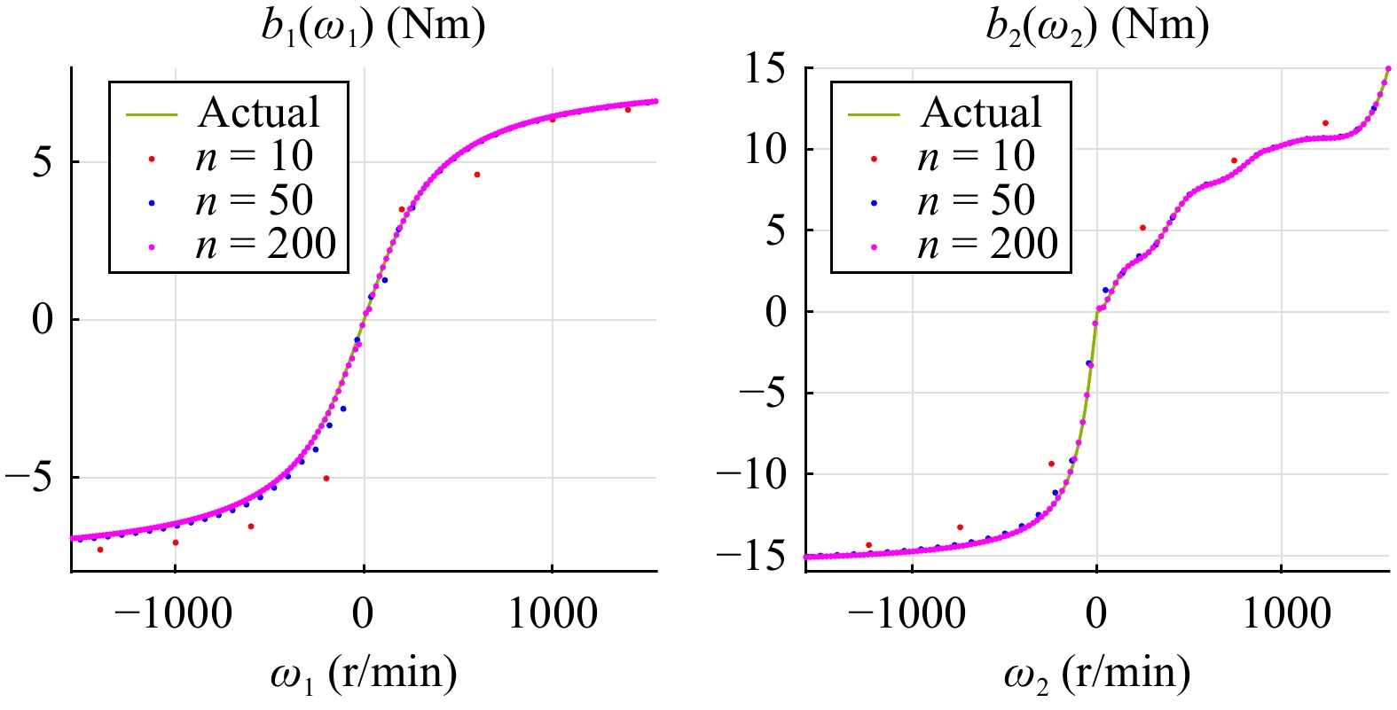
  • In this paper, the problem of nonlinear frictions identification in a class of nonlinear systems embedding different automotive case studies is addressed. The power-oriented modeling of the system dynamics is first addressed. Next, the identification of the nonlinear friction coefficients representing the system losses, which can have different symmetric or asymmetric characteristics, is addressed using a parabolic interpolation. To show the versatility of the procedure, two automotive physical systems composing the vehicle powertrain are considered as case studies for the identification, namely a Full Toroidal Variator and a Gearbox. The novelty of this work consists of the proposal of a general approach to model nonlinear frictions in a wide class of automotive systems, and in their identification using the proposed least-square-based algorithm. With reference to the latter, we also provide a necessary condition to avoid the rank deficiency problem and considerations about how to increase the identification accuracy.

     

  • loading
  • [1]
    J. Han, D. Shen, D. Karbowski, and A. Rousseau, “Leveraging multiple connected traffic light signals in an energy-efficient speed planner,” IEEE Control Syst. Lett., vol. 5, no. 6, pp. 2078–2083, Dec. 2021. doi: 10.1109/LCSYS.2020.3047605
    [2]
    Y. Zhao, Y. Cai, and Q. Song, “Energy control of plug-in hybrid electric vehicles using model predictive control with route preview,” IEEE/CAA J. Autom. Sinica, vol. 8, no. 12, pp. 1948–4854, Dec. 2021. doi: 10.1109/JAS.2017.7510889
    [3]
    J. Heredia, R. J. Kirschner, C. Schlette, S. Abdolshah, S. Haddadin, and M. B. Kjægaard, “ECDP: Energy consumption disaggregation pipeline for energy optimization in lightweight robots,” IEEE Robot. Autom. Lett., vol. 8, no. 10, pp. 6107–6114, Oct. 2023. doi: 10.1109/LRA.2023.3301311
    [4]
    T. Li, X. Sun, G. Lei, Y. Guo, Z. Yang, and J. Zhu, “Finite-control-set model predictive control of permanent magnet synchronous motor drive systems–An overview,” IEEE/CAA J. Autom. Sinica, vol. 9, no. 12, pp. 2087–2105, Dec. 2022.
    [5]
    L. Wu, J. Liu, S. Vazquez, and S. K. Mazumder, “Sliding mode control in power converters and drives: A review,” IEEE/CAA J. Autom. Sinica, vol. 9, no. 3, pp. 392–406, Mar. 2022. doi: 10.1109/JAS.2021.1004380
    [6]
    A. L. de Oliveira, C. E. Capovilla, I. R. Santana Casella, J. L. Azcue-Puma, and A. J. Sguarezi Filho, “Co-simulation of an SRG wind turbine control and GPRS/EGPRS wireless standards in smart grids,” IEEE/CAA J. Autom. Sinica, vol. 8, no. 3, pp. 656–663, Mar. 2021. doi: 10.1109/JAS.2021.1003883
    [7]
    D. Tebaldi and R. Zanasi, “Systematic modeling of complex time-variant gear systems using a power-oriented approach,” Control Eng. Pract., vol. 132, p. 105420, Mar. 2023. doi: 10.1016/j.conengprac.2022.105420
    [8]
    D. Tebaldi and R. Zanasi, “Instantaneous gearshift model based on gear-dependent angular momentum,” IFAC-PapersOnLine, vol. 53, no. 2, pp. 13952–13957, 2020. doi: 10.1016/j.ifacol.2020.12.912
    [9]
    A. J. Moshayedi, K. S. Reza, A. Sohail Khan, and A. Nawaz, “Integrating virtual reality and robotic operation system (ROS) for AGV navigation,” EAI Endorsed Trans. AI Robot., vol. 2, p. e3, Apr. 2023. doi: 10.4108/airo.v2i1.3181
    [10]
    Z. Li, S. Li, O. O. Bamasag, A. Alhothali, and X. Luo, “Diversified regularization enhanced training for effective manipulator calibration,” IEEE Trans. Neural Netw. Learn. Syst., vol. 34, no. 11, pp. 8778–8790, Nov. 2023. doi: 10.1109/TNNLS.2022.3153039
    [11]
    Z. Li, S. Li, and X. Luo, “An overview of calibration technology of industrial robots,” IEEE/CAA J. Autom. Sinica, vol. 8, no. 1, pp. 23–36, Jan. 2021. doi: 10.1109/JAS.2020.1003381
    [12]
    Z. Li, S. Li, A. Francis, and X. Luo, “A novel calibration system for robot arm via an open dataset and a learning perspective,” IEEE Trans. Circuits Syst. II Express Briefs, vol. 69, no. 12, pp. 5169–5173, Dec. 2022. doi: 10.1109/TCSII.2022.3199158
    [13]
    A. J. Moshayedi, A. Sohail Khan, S. Yang, and S. M. Zanjani, “Personal image classifier based handy pipe defect recognizer (HPD): Design and test,” in Proc. 7th Int. Conf. Intelligent Computing and Signal Processing, Xi’an, China, 2022, pp. 1721–1728.
    [14]
    E. Aghajari, and A. AbdulKarim AbdulRahim, “Prediction of short circuit current of wind turbines based on artificial neural network model,” EAI Endorsed Trans. AI Robot., vol. 3, pp. 1–14, Jul. 2024.
    [15]
    G. Xu, A. Sohail Khan, A. J. Moshayedi, X. Zhang, and Y. Shuxin, “The object detection, perspective and obstacles in robotic: A review,” EAI Endorsed Trans. AI Robot., vol. 1, p. e13, Oct. 2022. doi: 10.4108/airo.v1i1.2709
    [16]
    M. Davari, A. Harooni, A. Nasr, K. Savoji, and M. Soleimani, “Improving recognition accuracy for facial expressions using scattering wavelet,” in Proc. EAI Endorsed Trans. AI Robot., Mar. 2024, pp. 1–9.
    [17]
    Q. Wang, X. Zhao, P. Yang, W. Hua, and G. Buja, “Effects of triangular wave injection and current differential terms on multiparameter identification for PMSM,” IEEE Trans. Power Electron., vol. 39, no. 3, pp. 2943–2947, Mar. 2024. doi: 10.1109/TPEL.2023.3342293
    [18]
    N. T. Nguyen, T. N. T. Nguyen, H. N. Tong, H. V. A. Truong, and D. T. Tran, “Dynamic parameter identification based on the least squares method for a 6-DOF manipulator,” in Proc. Int. Conf. System Science and Engineering, Ho Chi Minh, Vietnam, 2023.
    [19]
    K. G. Duleep, “Internal combustion engine vehicles,” Encyclopedia of Energy, vol. 3, pp. 497–513, 2004. doi: 10.1016/B0-12-176480-X/00178-9
    [20]
    J. Druant, H. Vansompel, F. De Belie, and P. Sergeant, “Loss identification in a double rotor electrical variable transmission,” IEEE Trans. Ind. Electron., vol. 64, no. 10, pp. 7731–7740, Oct. 2017. doi: 10.1109/TIE.2017.2698362
    [21]
    A. Wahrburg, S. Klose, D. Clever, T. Groth, S. Moberg, J. Styrud, and H. Ding, “Modeling speed-, load-, and position-dependent friction effects in strain wave gears,” in Proc. IEEE Int. Conf. Robotics and Automation, Brisbane, Australia, 2018, pp. 2095–2102.
    [22]
    E. Brassitos and N. Jalili, “Dynamic model development and characterization of gear bearing transmission systems: Theory and experiments,” IEEE ASME Trans. Mechatron., vol. 24, no. 4, pp. 1651–1661, Aug. 2019. doi: 10.1109/TMECH.2019.2916333
    [23]
    S. S. Groothuis, G. Rusticelli, A. Zucchelli, S. Stramigioli, and R. Carloni, “The variable stiffness actuator vsaUT-II: Mechanical design, modeling, and identification,” IEEE ASME Trans. Mechatron., vol. 19, no. 2, pp. 589–597, Apr. 2014. doi: 10.1109/TMECH.2013.2251894
    [24]
    A. Gupta, “Improved hybrid preprocessing technique for effective segmentation of wheat canopies in chlorophyll fluorescence images,” EAI Endorsed Trans. AI Robot., vol. 3, pp. 1–7, Jan. 2024.
    [25]
    D. Tebaldi, R. Morselli, and R. Zanasi, “Estimation of physical parameters using a new discrete-time derivative algorithm,” IFAC-PapersOnLine, vol. 53, no. 2, pp. 2367–2372, 2020. doi: 10.1016/j.ifacol.2020.12.033
    [26]
    S. Gao, J. Wang, C. Guan, Z. Zhou, and Z. Liu, “Wheel torque distribution control strategy for electric vehicles dynamic performance with an electric torque vectoring drive axle,” IEEE Trans. Transp. Electrif., vol. 10, no. 1, pp. 1692–1705, Mar. 2024. doi: 10.1109/TTE.2023.3267817
    [27]
    D. Ramsey, A. Bouscayrol, L. Boulon, A. Desreveaux, and A. Vaudrey, “Flexible simulation of an electric vehicle to estimate the impact of thermal comfort on the energy consumption,” IEEE Trans. Transp. Electrif., vol. 8, no. 2, pp. 2288–2298, Jun. 2022. doi: 10.1109/TTE.2022.3144526
    [28]
    D. Tebaldi and R. Zanasi, “The power-oriented graphs modeling technique: From the fundamental principles to the systematic, step-by-step modeling of complex physical systems,” IEEE Access, vol. 13, pp. 32470–32485, Feb. 2025. doi: 10.1109/ACCESS.2025.3537862

Catalog

    通讯作者: 陈斌, bchen63@163.com
    • 1. 

      沈阳化工大学材料科学与工程学院 沈阳 110142

    1. 本站搜索
    2. 百度学术搜索
    3. 万方数据库搜索
    4. CNKI搜索

    Figures(10)  / Tables(5)

    Article Metrics

    Article views (478) PDF downloads(21) Cited by()

    /

    DownLoad:  Full-Size Img  PowerPoint
    Return
    Return