A journal of IEEE and CAA , publishes high-quality papers in English on original theoretical/experimental research and development in all areas of automation
Volume 13 Issue 4
Apr.  2026

IEEE/CAA Journal of Automatica Sinica

  • JCR Impact Factor: 19.2, Top 1 (SCI Q1)
    CiteScore: 28.2, Top 1% (Q1)
    Google Scholar h5-index: 95, TOP 5
Turn off MathJax
Article Contents
C. Song, Y. He, J. Qiu, and S. Xu, “Formation control of multi-agent systems with position constraints on a closed curve,” IEEE/CAA J. Autom. Sinica, vol. 13, no. 4, pp. 1004–1006, Apr. 2026. doi: 10.1109/JAS.2025.125219
Citation: C. Song, Y. He, J. Qiu, and S. Xu, “Formation control of multi-agent systems with position constraints on a closed curve,” IEEE/CAA J. Autom. Sinica, vol. 13, no. 4, pp. 1004–1006, Apr. 2026. doi: 10.1109/JAS.2025.125219

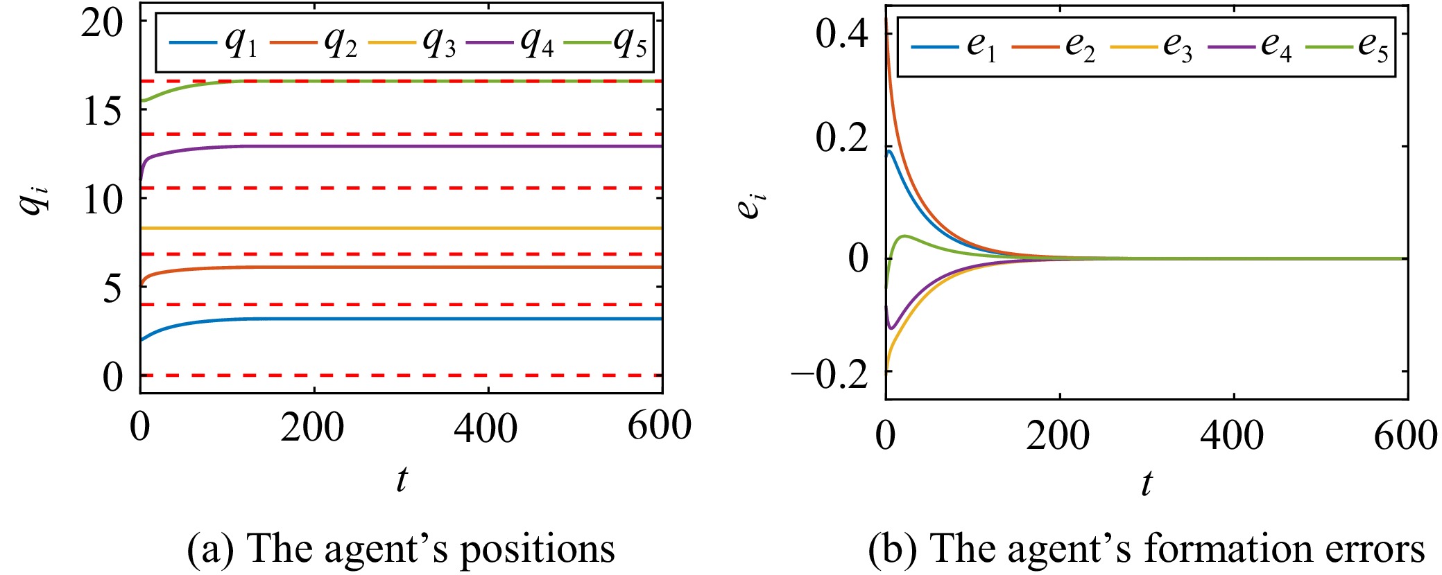
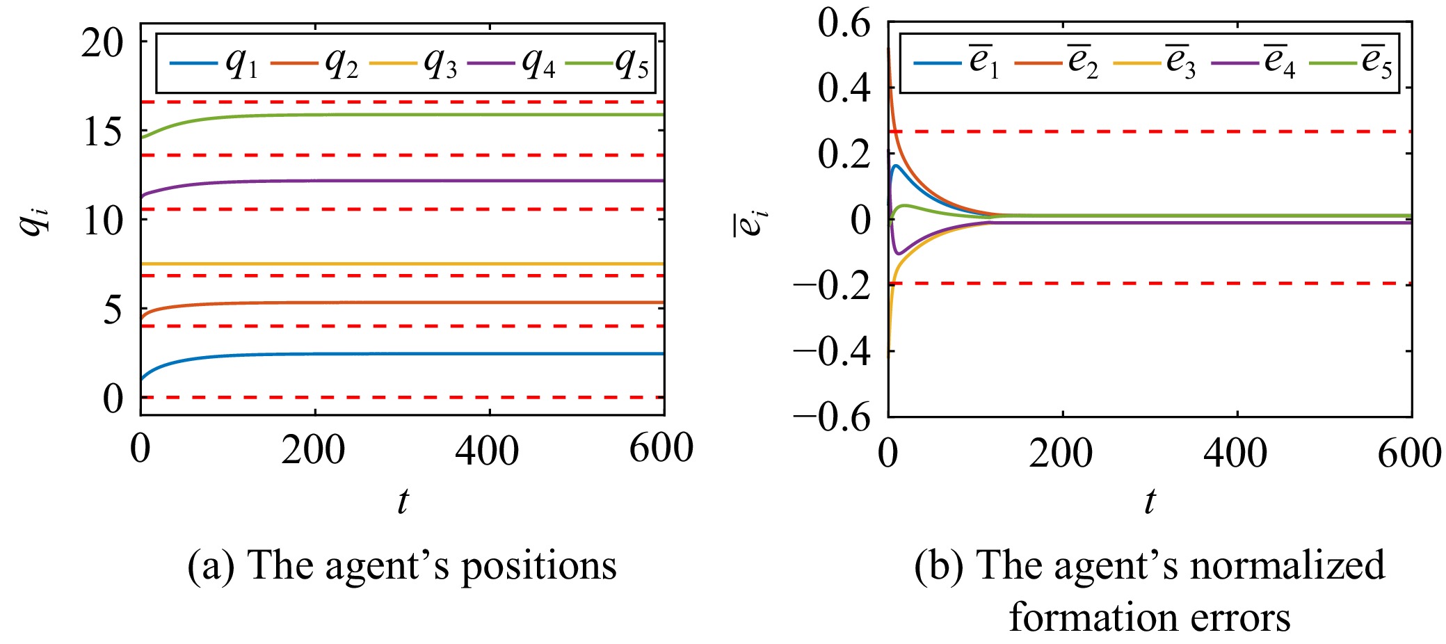
Formation Control of Multi-Agent Systems With Position Constraints on a Closed Curve

doi: 10.1109/JAS.2025.125219
More Information
  • loading
  • [1]
    Z. Zuo, J. Tang, R. Ke, and Q.-L. Han, “Hyperbolic tangent function-based protocols for global/semi-global finite-time consensus of multi-agent systems,” IEEE/CAA J. Autom. Sinica, vol. 11, no. 6, pp. 1381–1397, 2024. doi: 10.1109/JAS.2024.124485
    [2]
    H. Zhang, G. Feng, H. Yan, and Q. Chen, “Distributed self-triggered control for consensus of multi-agent systems,” IEEE/CAA J. Autom. Sinica, vol. 1, no. 1, pp. 40–45, 2014. doi: 10.1109/JAS.2014.7004618
    [3]
    Z. Gu, X. Huang, X. Sun, X. Xie, and J. H. Park, “Memory-event-triggered tracking control for intelligent vehicle transportation systems: A leader-following approach,” IEEE Trans. Intelligent Transportation Systems, vol. 25, no. 5, pp. 4021–4031, 2024. doi: 10.1109/TITS.2023.3335110
    [4]
    Z.-H. Pang, C.-B. Zheng, C. Li, G.-P. Liu, and Q.-L. Han, “Cloud-based time-varying formation predictive control of multi-agent systems with random communication constraints and quantized signals,” IEEE Trans. Circuits and Systems II: Express Briefs, vol. 69, no. 3, pp. 1282–1286, 2022.
    [5]
    C. Wang, G. Xie, and M. Cao, “Forming circle formations of anonymous mobile agents with order preservation,” IEEE Trans. Automatic Control, vol. 58, no. 12, pp. 3248–3254, 2013. doi: 10.1109/TAC.2013.2263653
    [6]
    Q. Wang, Y. Wang, and H. Zhang, “The formation control of multi-agent systems on a circle,” IEEE/CAA J. Autom. Sinica, vol. 5, no. 1, pp. 148–154, 2018. doi: 10.1109/JAS.2016.7510022
    [7]
    F. Lo Iudice, F. Garofalo, and P. DeLellis, “Formation control on a closed curve under an intermittent measurement flow,” IEEE Control Systems Letters, vol. 6, pp. 656–661, 2022. doi: 10.1109/LCSYS.2021.3084824
    [8]
    B. Zheng, C. Song, and L. Liu, “Cyclic-pursuit-based circular formation control of mobile agents with limited communication ranges and communication delays,” IEEE/CAA J. Autom. Sinica, vol. 10, no. 9, pp. 1860–1870, 2023. doi: 10.1109/JAS.2023.123576
    [9]
    P. Lin, W. Ren, C. Yang, and W. Gui, “Distributed optimization with nonconvex velocity constraints, nonuniform position constraints, and nonuniform stepsizes,” IEEE Trans. Automatic Control, vol. 64, no. 6, pp. 2575–2582, 2019. doi: 10.1109/TAC.2018.2872195
    [10]
    S. Kim and M. Egerstedt, “Heterogeneous coverage control with mobility-based operating regions,” in Proc. American Control Conf., 2022, pp. 2148–2153.
    [11]
    G. Wen, W. X. Zheng, and H. Du, “Homogeneous constrained finite-time controller for double integrator systems: Analysis and experiment,” Automatica, vol. 134, Art. no. 109894, 2021.
    [12]
    Y. Shi and Q. Hu, “Event-driven connectivity-preserving coordinated control for multiple spacecraft systems with a distance-dependent dynamic graph,” IEEE Trans. Cybern., vol. 52, no. 11, pp. 12551–12560, 2022. doi: 10.1109/TCYB.2021.3072139

Catalog

    通讯作者: 陈斌, bchen63@163.com
    • 1. 

      沈阳化工大学材料科学与工程学院 沈阳 110142

    1. 本站搜索
    2. 百度学术搜索
    3. 万方数据库搜索
    4. CNKI搜索

    Figures(3)

    Article Metrics

    Article views (484) PDF downloads(37) Cited by()

    /

    DownLoad:  Full-Size Img  PowerPoint
    Return
    Return