A journal of IEEE and CAA , publishes high-quality papers in English on original theoretical/experimental research and development in all areas of automation

IEEE/CAA Journal of Automatica Sinica

  • JCR Impact Factor: 19.2, Top 1 (SCI Q1)
    CiteScore: 28.2, Top 1% (Q1)
    Google Scholar h5-index: 95, TOP 5
Turn off MathJax
Article Contents
L. Chen, Y. Liu, Y. Zhao, and Z. Wang, “Exponential synchronization of infinite-dimensional stochastic systems with poisson jumps under aperiodically intermittent impulse control,” IEEE/CAA J. Autom. Sinica, vol. 13, no. 2, pp. 1–11, Feb. 2026.
Citation: L. Chen, Y. Liu, Y. Zhao, and Z. Wang, “Exponential synchronization of infinite-dimensional stochastic systems with poisson jumps under aperiodically intermittent impulse control,” IEEE/CAA J. Autom. Sinica, vol. 13, no. 2, pp. 1–11, Feb. 2026.

Exponential Synchronization of Infinite-Dimensional Stochastic Systems With Poisson Jumps Under Aperiodically Intermittent Impulse Control

Funds:  This work was supported in part by the National Natural Science Foundation of China (12471422, 62173214, 12371173), the Natural Science Foundation of Shandong Province of China (ZR2022LLZ003, ZR2024MF001), and the Funding for Visiting Studies and Research by Teachers in Ordinary Undergraduate Colleges and Universities in Shandong Province
More Information
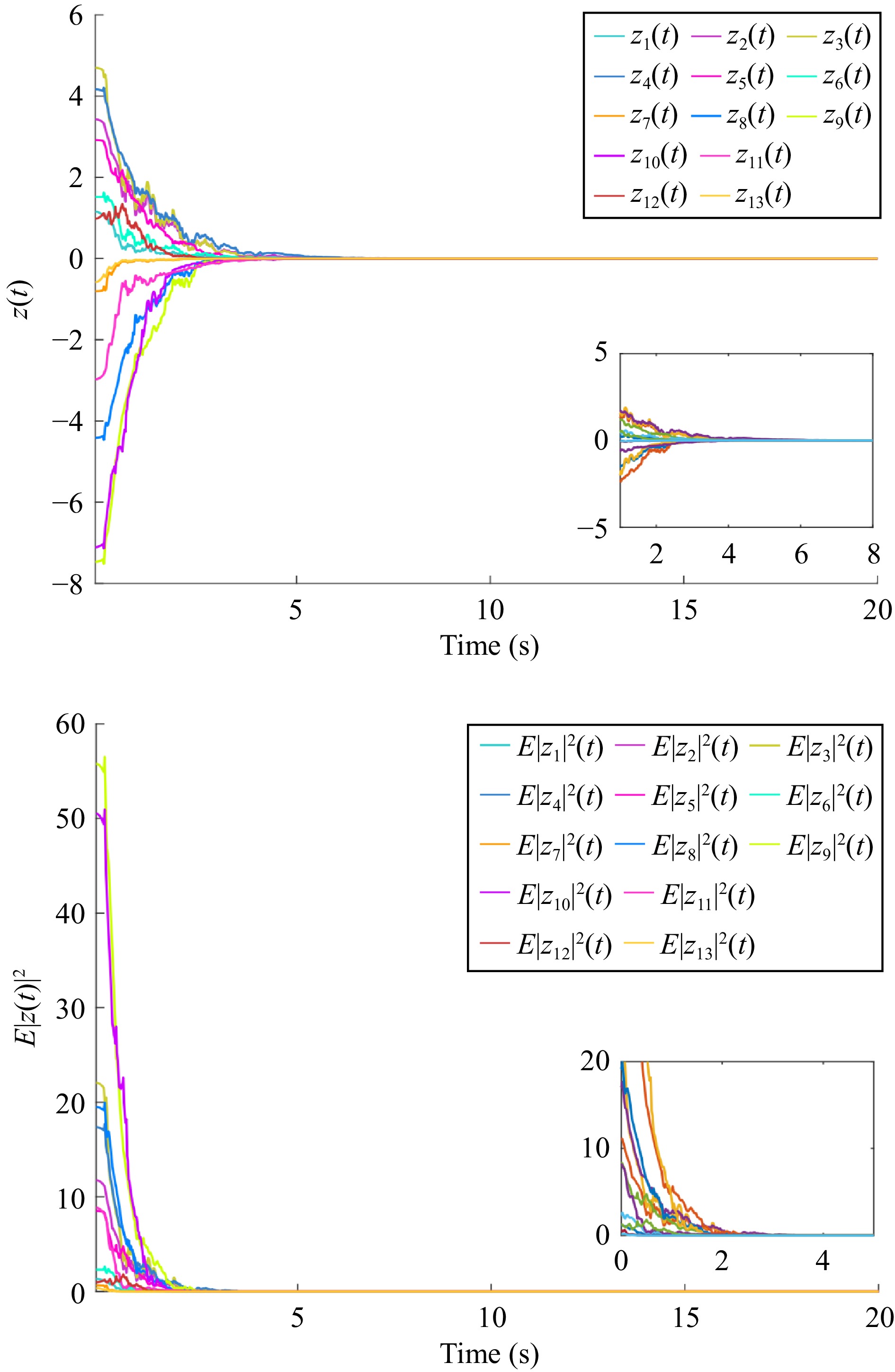
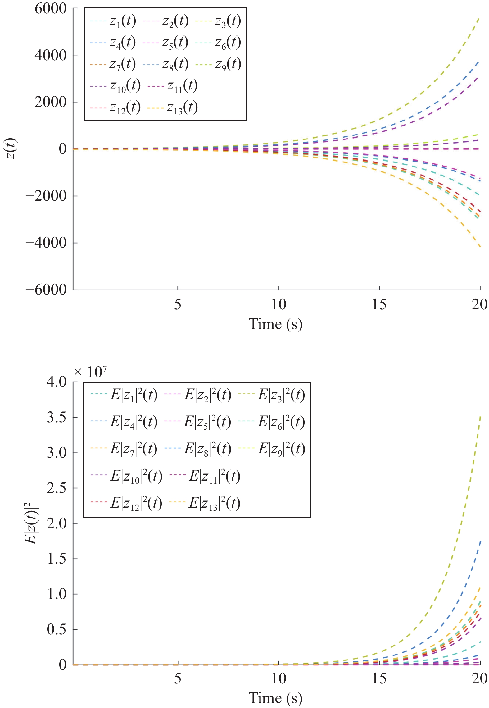
  • A novel aperiodically intermittent impulse control (AIIC) method is proposed to investigate the exponential synchronization in mean square (ESMS) of a class of impulsive stochastic infinite-dimensional systems with Poisson jumps (ISIDSP). The AIIC control strategy inherits the flexibility of aperiodically intermittent control, inclduing the variable control period, adjustable control interval length, and the discretization of impulsive control. In addition, this article introduces a novel mild Itô’s formula. By leveraging semigroup theory, the contraction mapping principle, and graph theory, along with constructing the Lyapunov function, the criterion for the existence and uniqueness of a mild solution of ISIDSP is thereby established. Furthermore, the mean-square exponential synchronization problem of the above systems is resolved, and the constraints within the mild solution domain is alleviated. These criteria clarify the impact of control parameters, control intervals and network topology on ESMS. The theoretical results are subsequently applied to a class of neural networks with reaction-diffusion processes, and the validity of the results is verified using numerical simulations.

     

  • loading
  • [1]
    H. Zhang, et al., “Security defense decision method based on potential differential game for complex networks,” Comput. & Secur., vol. 129, p. 103187.
    [2]
    H. Zhou, L. Zhou, B. Guo, Z. Bai, and Z. Wang, “Analyzing the railway operation network by evaluating the importance of time-space nodes,” IEEE Trans. Netw. Sci. Eng., vol. 9, no. 6, pp. 4209–4219, Nov. 2022. doi: 10.1109/TNSE.2022.3196397
    [3]
    J. B. Liu, X. Zhang, J. Cao, and L. Chen, “Mean first-passage time and robustness of complex cellular mobile communication network,” IEEE Trans. Netw. Sci. Eng., vol. 11, no. 3, pp. 3066–3076, May 2024. doi: 10.1109/TNSE.2024.3358369
    [4]
    Q. L. Han, D. Ding, and X. Ge, “New trends of artificial-intelligence-based control, filtering, and optimization for industrial cyber-physical systems,” Inf. Sci., vol. 648, p. 119333, 2023. doi: 10.1016/j.ins.2023.119333
    [5]
    Y. Yu, G. P. Liu, Y. Huang, and P. Shi, “Optimal cooperative secondary control for islanded dc microgrids via a fully actuated approach,” IEEE/CAA J. Autom. Sinica, vol. 11, no. 2, pp. 405–417, 2024. doi: 10.1109/JAS.2023.123942
    [6]
    B. Zhou, X.-B. Shu, F. Xu, F. Yang, and Y. Wang, “Exponential synchronization of dynamical complex networks via random impulsive scheme,” Nonlinear Anal.-Model. Control, vol. 29, no. 4, pp. 816–832, 2024.
    [7]
    L. Hua, H. Zhu, S. Zhong, K. Shi, and J. Cao, “Novel criteria on finite-time stability of impulsive stochastic nonlinear systems,” IEEE/CAA J. Autom. Sinica, vol. 10, no. 7, pp. 1634–1636, 2023. doi: 10.1109/JAS.2023.123276
    [8]
    Y. Cui, P. Cheng, and X. Ge, “Exponential synchronization of delayed stochastic complex dynamical networks via hybrid impulsive control,” IEEE/CAA J. Autom. Sinica, vol. 11, no. 3, pp. 785–787, 2024. doi: 10.1109/JAS.2023.123867
    [9]
    L. Wu, Z. Feng, and J. Lam, “Stability and synchronization of discrete-time neural networks with switching parameters and time-varying delays,” IEEE Trans. Neural Netw. Learn. Syst., vol. 24, no. 12, pp. 1957–1972, 2013. doi: 10.1109/TNNLS.2013.2271046
    [10]
    L. Zhang, K. Shi, J. Lu, and J. Lou, “Bipartite synchronization of antagonistic coupled neural networks: Average-delay pinning impulsive control,” IEEE Trans. Circuits Syst. II Express Briefs, vol. 69, no. 9, pp. 3814–3818, Sep. 2022.
    [11]
    Q. Chen, X. Huang, Z. Wang, and Y. Li, “H exponential synchronization of chaotic Lur’e systems: An asynchronous memory-based event-triggered scheme,” IEEE Trans. Ind. Informat., vol. 20, no. 4, pp. 6603–6611, Apr. 2024. doi: 10.1109/TII.2023.3348825
    [12]
    W. Ma, Y. Wu, and C. Li, “Pinning synchronization between two general fractional complex dynamical networks with external disturbances,” IEEE/CAA J. Autom. Sinica, vol. 4, no. 2, pp. 332–339, 2017. doi: 10.1109/JAS.2016.7510202
    [13]
    Y. Liu, J. Liu, and W. Li, “Stabilization of highly nonlinear stochastic coupled systems via periodically intermittent control,” IEEE Trans. Autom. Control, vol. 66, no. 10, pp. 4799–4806, Oct. 2021. doi: 10.1109/TAC.2020.3036035
    [14]
    H. Chen, P. Shi, and C. C. Lim, “Cluster synchronization for neutral stochastic delay networks via intermittent adaptive control,” IEEE Trans. Neural Netw. Learn. Syst., vol. 30, no. 11, pp. 3246–3259, Nov. 2019. doi: 10.1109/TNNLS.2018.2890269
    [15]
    X. He, C. K. Ahn, and P. Shi, “Periodically intermittent stabilization of neural networks based on discrete-time observations,” IEEE Trans. Circuits Syst. II Express Briefs, vol. 67, no. 12, pp. 3497–3501, Dec. 2020.
    [16]
    W. Xia and J. Cao, “Pinning synchronization of delayed dynamical networks via periodically intermittent control,” Chaos Nonlinear Sci., vol. 19, no. 1, p. 13120, Feb. 2009. doi: 10.1063/1.3071933
    [17]
    T. Huang, C. Li, W. Yu, and G. Chen, “Synchronization of delayed chaotic systems with parameter mismatches by using intermittent linear state feedback,” Nonlinearity, vol. 22, no. 3, p. 569, Feb. 2009. doi: 10.1088/0951-7715/22/3/004
    [18]
    Y. Wu, Z. Sun, G. Ran, and L. Xue, “Intermittent control for fixed-time synchronization of coupled networks,” IEEE/CAA J. Autom. Sinica, vol. 10, no. 6, pp. 1488–1490, 2023. doi: 10.1109/JAS.2023.123363
    [19]
    W. Zhang, H. Zhu, S. Wen, and T. Huang, “Finite-time bipartite tracking consensus of fractional-order multi-layer signed networks by aperiodically intermittent control,” IEEE Trans. Circuits Syst. II Express Briefs, vol. 71, no. 6, pp. 3061–3065, 2024.
    [20]
    F. Lamoline and J. J. Winkin, “Well-posedness of boundary controlled and observed stochastic port-hamiltonian systems,” IEEE Trans. Autom. Control, vol. 65, no. 10, pp. 4258–4264, 2020. doi: 10.1109/TAC.2019.2954481
    [21]
    Z. Brzeźniak, W. Liu, and J. Zhu, “Strong solutions for SPDE with locally monotone coefficients driven by Lévy noise,” Nonlinear Anal. Real World Appl., vol. 17, pp. 283–310, 2014. doi: 10.1016/j.nonrwa.2013.12.005
    [22]
    J. Bao, A. Truman, and C. Yuan, “Almost sure asymptotic stability of stochastic partial differental equations with jumps,” SIAM J. Control and Optimization, vol. 49, no. 2, pp. 771–787, 2011. doi: 10.1137/100786812
    [23]
    J. Bao, Z. Hou, and C. Yuan, “Stability in distribution of mild solutions to stochastic partial differential equations,” Proc. Am. Math. Soc., vol. 138, no. 6, pp. 2169–2180, Jun. 2010. doi: 10.1090/S0002-9939-10-10230-5
    [24]
    T. Caraballo and K. Liu, “Exponential stability of mild solutions of stochastic partial differential equations with delays,” Stoch. Anal. Appl., vol. 17, no. 5, pp. 743–763, 1999. doi: 10.1080/07362999908809633
    [25]
    G. Chen, O. van Gaans, and S. V. Lunel, “Existence and exponential stability of a class of impulsive neutral stochastic partial differential equations with delays and Poisson jumps,” Stat. Probab. Lett., vol. 141, pp. 7–18, Oct. 2018. doi: 10.1016/j.spl.2018.05.017
    [26]
    P. Wang, X. Wang, and H. Su, “Input-to-state stability of impulsive stochastic infinite dimensional systems with Poisson jumps,” Automtica, vol. 128, p. 109553, Jun. 2021. doi: 10.1016/j.automatica.2021.109553
    [27]
    N. Yang, X. Gu, and H. Su, “Synchronization for multilink stochastic complex networks via impulsive control in infinite dimensions,” IEEE Trans. Control Netw. Syst., vol. 11, no. 2, pp. 1093–1102, Jun. 2024. doi: 10.1109/TCNS.2023.3332737
    [28]
    G. Da Prato, A. Jentzen, and M. Roeckner, “A mild ito formula for SPDES,” Trans. Am. Math. Soc., vol. 372, no. 6, pp. 3755–3807, Sep. 2019. doi: 10.1090/tran/7165
    [29]
    Y. Zhao, L. Sun, L. Chen, and Z. Wang, “Aperiodic intermittent dynamic event-triggered synchronization control for stochastic delayed multi-links complex networks,” Neural Netw., vol. 180, p. 106658, Dec. 2024. doi: 10.1016/j.neunet.2024.106658
    [30]
    X. Ji, J. Lu, B. Jiang, and K. Shi, “Distributed synchronization of delayed neural networks: delay-dependent hybrid impulsive control,” IEEE Trans. Netw. Sci. Eng, vol. 9, no. 2, pp. 634–647, Apr. 2022. doi: 10.1109/TNSE.2021.3128244
    [31]
    C. Gao, B. Guo, Y. Xiao, and J. Bao, “Aperiodically synchronization of multi-links delayed complex networks with semi-Markov jump and their numerical simulations to single-link robot arms,” Neurocomputing, vol. 575, Mar. 2024.
    [32]
    M. Y. Li and Z. Shuai, “Global-stability problem for coupled systems of differential equations on networks,” J. Differ. Equ., vol. 248, no. 1, pp. 1–20, 2010. doi: 10.1016/j.jde.2009.09.003
    [33]
    H. Ye, J. Gao, and Y. Ding, “A generalized gronwall inequality and its application to a fractional differential equation,” J. Math. Anal. Appl., vol. 328, no. 2, pp. 1075–1081, Apr. 2007. doi: 10.1016/j.jmaa.2006.05.061

Catalog

    通讯作者: 陈斌, bchen63@163.com
    • 1. 

      沈阳化工大学材料科学与工程学院 沈阳 110142

    1. 本站搜索
    2. 百度学术搜索
    3. 万方数据库搜索
    4. CNKI搜索

    Figures(6)

    Article Metrics

    Article views (48) PDF downloads(0) Cited by()

    /

    DownLoad:  Full-Size Img  PowerPoint
    Return
    Return