A journal of IEEE and CAA , publishes high-quality papers in English on original theoretical/experimental research and development in all areas of automation

IEEE/CAA Journal of Automatica Sinica

  • JCR Impact Factor: 19.2, Top 1 (SCI Q1)
    CiteScore: 28.2, Top 1% (Q1)
    Google Scholar h5-index: 95, TOP 5
Turn off MathJax
Article Contents
W. Yan, T. Zhao, B. Niu, Z. Shi, and E. Q. Wu, “Cartesian space control and joint tracking control for a robotic arm system with explicit-time proportional convergence,” IEEE/CAA J. Autom. Sinica, early access, 2026. doi: 10.1109/JAS.2026.125963
Citation: W. Yan, T. Zhao, B. Niu, Z. Shi, and E. Q. Wu, “Cartesian space control and joint tracking control for a robotic arm system with explicit-time proportional convergence,” IEEE/CAA J. Autom. Sinica, early access, 2026. doi: 10.1109/JAS.2026.125963

Cartesian Space Control and Joint Tracking Control for a Robotic Arm System with Explicit-time Proportional Convergence

doi: 10.1109/JAS.2026.125963
Funds:  This work was supported by the National Natural Science Foundation for Distinguished Young Scholars of China (T2325018), in part by the National Natural Science Foundation of China (U25A20455, 62376170), and in part by the Natural Science Foundation of Liaoning Province of China (2025-MS-013)
More Information
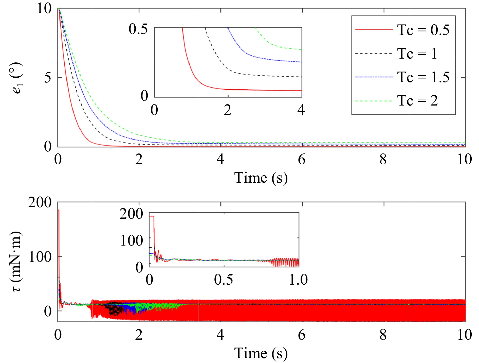
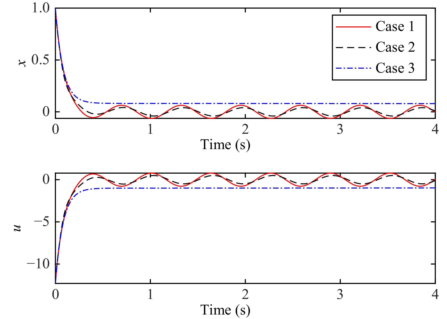
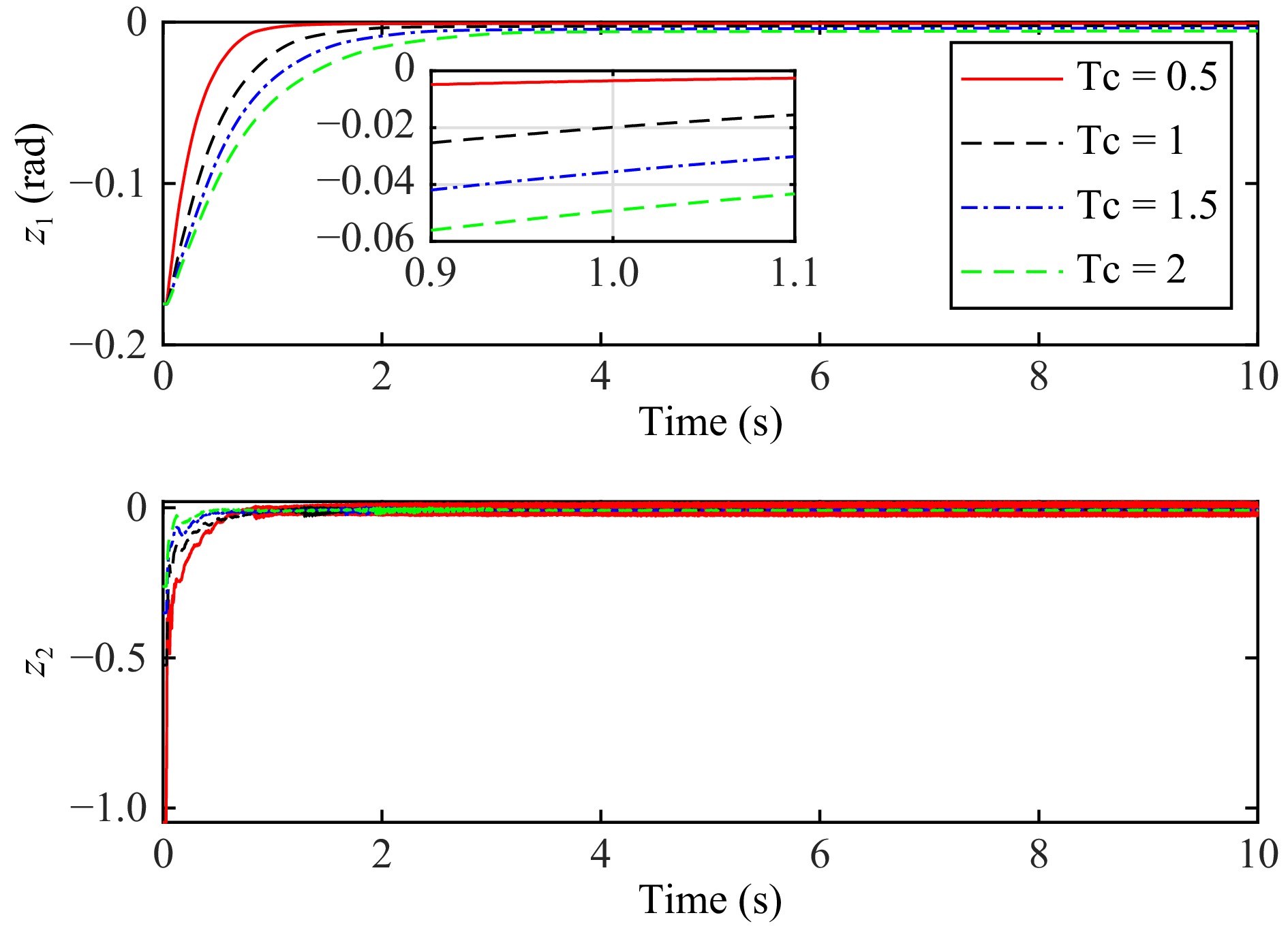
  • The Lyapunov synthesis method is a common controller design strategy in robotic arm motion control. However, it is difficult for this method to achieve fixed-time control without a nonlinear feedback design, whose nonlinearity may cause chattering in the robotic motion. To address this problem, a novel explicit-time control method is proposed using proportional feedback. Not only can the proposed method be applied to the Cartesian space control of the robotic arm system, but it can also be used for the joint-space tracking control. More specifically, under bounded initial condition, the origin of system is attracted to a predefined neighborhood of zero within an explicit fixed-time boundary. Based on that, a robust fixed-time tracking controller of robot is designed by using this linear time-invariant feedback. Besides, compared with other related methods, the proposed method has smoother and lower control input under the same initial condition. In particular, this method enables the robotic arm to achieve a tracking accuracy of 0.1 millimeters and 0.1 degrees within as short as 1.5 seconds, while the repeat positioning accuracy approaches the hardware limit, reaching 0.001 millimeters (±0.03 millimeters) and 0.001 degrees (±0.05 degrees). Theoretical analysis, simulation and experiment verify the main results. Code, data and video are also available, the corresponding links are printed in the relevant places.

     

  • loading
  • [1]
    J. J. Craig, Introduction to Robotics: Mechanics and Control. 3rd ed. Upper Saddle River, USA: Pearson/Prentice Hall, 2005.
    [2]
    P. M. Kebria, A. Khosravi, S. Nahavandi, A. Homaifar, and M. Saif, “Experimental comparison study on joint and cartesian space control schemes for a teleoperation system under time-varying delay,” in Proc. IEEE Int. Conf. Industrial Technology, Melbourne, Australia, 2019, pp. 108−113.
    [3]
    C.-Y. Su and Y. Stepanenko, “Hybrid adaptive/robust motion control of rigid-link electrically-driven robot manipulators,” IEEE Trans. Robot. Autom., vol. 11, no. 3, pp. 426–432, Jun. 1995. doi: 10.1109/70.388786
    [4]
    W. Yan, Y. Liu, Q. Lan, T. Zhang, and H. Tu, “Trajectory planning and low-chattering fixed-time nonsingular terminal sliding mode control for a dual-arm free-floating space robot,” Robotica, vol. 40, no. 3, pp. 625–645, Mar. 2022. doi: 10.1017/S0263574721000734
    [5]
    Y. Liu, W. Yan, T. Zhang, C. Yu, and H. Tu, “Trajectory tracking for a dual-arm free-floating space robot with a class of general nonsingular predefined-time terminal sliding mode,” IEEE Trans. Syst. Man Cybern. Syst., vol. 52, no. 5, pp. 3273–3286, May 2022. doi: 10.1109/TSMC.2021.3064898
    [6]
    Y. Liu, H. Li, R. Lu, Z. Zuo, and X. Li, “An overview of finite/fixed-time control and its application in engineering systems,” IEEE/CAA J. Autom. Sinica, vol. 9, no. 12, pp. 2106–2120, Dec. 2022. doi: 10.1109/JAS.2022.105413
    [7]
    Y. Chang, T. Lee, and C. Lui, “On-line Cartesian path trajectory planning for robot manipulators,” in Proc. IEEE Int. Conf. Robotics and Automation, Philadelphia, USA, 1988, pp. 62−67.
    [8]
    Y. Chen, L. Chen, J. Ding, and Y. Liu, “Research on real-time obstacle avoidance motion planning of industrial robotic arm based on artificial potential field method in joint space,” Appl. Sci., vol. 13, no. 12, Art. no. 6973, Jun. 2023. doi: 10.3390/app13126973
    [9]
    A. A. Ata, “Optimal trajectory planning of manipulators: A review,” J. Eng. Sci. Technol., vol. 2, no. 1, pp. 32–54, Apr. 2007.
    [10]
    P. Sanchez-Sanchez and F. Reyes-Cortes, “Cartesian control for robot manipulators,” in Robot Manipulators Trends and Development, A. Jimenez and B. M. Al Hadithi, Eds. Rijeka, Croatia: Intech, 2010. pp. 165−212.
    [11]
    Y. Liu, K. Xie, T. Zhang, and N. Cai, “Trajectory planning with pose feedback for a dual-arm space robot,” J. Control Sci. Eng., vol. 2016, no. 1, Art. no. 7021696, Jan. 2016.
    [12]
    Y. Liu, C. Yu, J. Sheng, and T. Zhang, “Self-collision avoidance trajectory planning and robust control of a dual-arm space robot,” Int. J. Control Autom. Syst., vol. 16, no. 6, pp. 2896–2905, Dec. 2018. doi: 10.1007/s12555-017-0757-z
    [13]
    S. P. Bhat and D. S. Bernstein, “Finite-time stability of continuous autonomous systems,” SIAM J. Control Optim., vol. 38, no. 3, pp. 751–766, Jan. 2000. doi: 10.1137/S0363012997321358
    [14]
    Y. Liu, X. Liu, Y. Jing, and Z. Zhang, “A novel finite-time adaptive fuzzy tracking control scheme for nonstrict feedback systems,” IEEE Trans. Fuzzy Syst., vol. 27, no. 4, pp. 646–658, Apr. 2019. doi: 10.1109/TFUZZ.2018.2866264
    [15]
    Y. Song, Y. Wang, J. Holloway, and M. Krstic, “Time-varying feedback for regulation of normal-form nonlinear systems in prescribed finite time,” Automatica, vol. 83, pp. 243–251, Sep. 2017. doi: 10.1016/j.automatica.2017.06.008
    [16]
    A. Polyakov, “Nonlinear feedback design for fixed-time stabilization of linear control systems,” IEEE Trans. Automat. Control, vol. 57, no. 8, pp. 2106–2110, Aug. 2012. doi: 10.1109/TAC.2011.2179869
    [17]
    J. D. Sánchez-Torres, E. N. Sanchez, and A. G. Loukianov, “Predefined-time stability of dynamical systems with sliding modes,” in Proc. American Control Conf., Chicago, USA, 2015, pp. 5842−5846.
    [18]
    E. Jiménez-Rodríguez, A. J. Muñoz-Vázquez, J. D. Sánchez-Torres, and A. G. Loukianov, “A note on predefined-time stability,” IFAC-PapersOnLine, vol. 51, no. 13, pp. 520–525, Jan. 2018. doi: 10.1016/j.ifacol.2018.07.332
    [19]
    W. Yan, T. Zhao, and X. Gong, “An explicit-time and explicit-accuracy control for a state-constrained nonstrict-feedback uncertain system based on adaptive fuzzy dynamic-approximation,” J. Franklin Inst., vol. 360, no. 9, pp. 6425–6462, Jun. 2023. doi: 10.1016/j.jfranklin.2023.04.027
    [20]
    Y. Song, H. Ye, and F. L. Lewis, “Prescribed-time control and its latest developments,” IEEE Trans. Syst. Man Cybern. Syst., vol. 53, no. 7, pp. 4102–4116, Jul. 2023. doi: 10.1109/TSMC.2023.3240751
    [21]
    S. T. Venkataraman and S. Gulati, “Control of nonlinear systems using terminal sliding modes,” J. Dyn. Syst. Meas. Control, vol. 115, no. 3, pp. 554–560, Sep. 1993. doi: 10.23919/acc.1992.4792209
    [22]
    Y. Tang, “Terminal sliding mode control for rigid robots,” Automatica, vol. 34, no. 1, pp. 51–56, Jan. 1998. doi: 10.1016/S0005-1098(97)00174-X
    [23]
    A. J. Munoz-Vazquez, J. D. Sanchez-Torres, E. Jimenez-Rodriguez, and A. G. Loukianov, “Predefined-time robust stabilization of robotic manipulators,” IEEE/ASME Trans. Mechatron., vol. 24, no. 3, pp. 1033–1040, Jun. 2019. doi: 10.1109/TMECH.2019.2906289
    [24]
    R. Tang, Y. Liu, J. Yang, X. Ma, and W. Yan, “Explicit-time trajectory tracking for a state-constraint continuum free-floating space robot with smooth joint-path and low input,” Appl. Sci., vol. 15, no. 5, Art. no. 2730, Mar. 2025. doi: 10.3390/app15052730
    [25]
    H. K. Khalil, Nonlinear Control. Harlow, Essex, England: Pearson Education Limited, 2015.
    [26]
    A. Polyakov and L. Fridman, “Stability notions and Lyapunov functions for sliding mode control systems,” J. Franklin Inst., vol. 351, no. 4, pp. 1831–1865, Apr. 2014. doi: 10.1016/j.jfranklin.2014.01.002
    [27]
    L. F. Kazda, “A theoretical study of conditionally stable systems,” Ph.D. dissertation, Univ. of Michigan, Ann Arbor, MI, USA, 1962.
    [28]
    W. Yan, T. Zhao, and E. Q. Wu, “Practical explicit-time stabilization of multi-agent control systems with proportional feedback design,” in Proc. IEEE Int. Conf. Unmanned Systems, Nanjing, China, 2024, pp. 884−889.
    [29]
    V. Lakshmikantham, S. Leela, and A. A. Martynyuk, Practical Stability of Nonlinear Systems. Singapore, Singapore: World Scientific, 1990.
    [30]
    Y. Wu, G. Li, Z. Zuo, X. Liu, and P. Xu, “Practical fixed-time position tracking control of permanent magnet DC torque motor systems,” IEEE/ASME Trans. Mechatron., vol. 26, no. 1, pp. 563–573, Feb. 2021.
    [31]
    A. Polyakov, D. Efimov, and W. Perruquetti, “Finite-time and fixed-time stabilization: Implicit Lyapunov function approach,” Automatica, vol. 51, pp. 332–340, Jan. 2015. doi: 10.1016/j.automatica.2014.10.082
    [32]
    M. Basin, “Finite- and fixed-time convergent algorithms: Design and convergence time estimation,” Annu. Rev. Control, vol. 48, pp. 209–221, Jan. 2019. doi: 10.1016/j.arcontrol.2019.05.007
    [33]
    F. Ding, Z. Liu, Y. Wang, J. Liu, C. Wei, A.-T. Nguyen, and N. Wang, “Intelligent event triggered lane keeping security control for autonomous vehicle under DoS attacks,” IEEE Trans. Fuzzy Syst., vol. 33, no. 10, pp. 3595–3608, Oct. 2025. doi: 10.1109/TFUZZ.2025.3597276
    [34]
    X. Wang, J. Wang, J. Cheng, M. V. Basin, D. Zhang, and Y. Fu, “NN-based event-triggered protocol for NCSs under DoS and unknown deception attacks,” IEEE Trans. Cybern., vol. 55, no. 12, pp. 6001–6011, Dec. 2025. doi: 10.1109/TCYB.2025.3607980
    [35]
    Y. Liu, W. Yan, C. Yu, T. Zhang, and H. Tu, “Predefined-time trajectory planning for a dual-arm free-floating space robot,” in Proc. 46th Annu. Conf. IEEE Industrial Electronics Society, Singapore, Singapore, 2020, pp. 2798−2803.
    [36]
    X. Liang, G. He, T. Su, W. Wang, C. Huang, Q. Zhao, and Z.-G. Hou, “Finite-time observer-based variable impedance control of cable-driven continuum manipulators,” IEEE Trans. Hum. Mach. Syst., vol. 52, no. 1, pp. 26–40, Feb. 2022. doi: 10.1109/THMS.2021.3129708
    [37]
    W. Yan, T. Zhao, B. Niu, and X. Wang, “Adaptive T-S fuzzy control for an unknown structure system with a self-adjusting control accuracy,” IEEE Trans. Autom. Sci. Eng., vol. 22, pp. 944–957, 2025. doi: 10.1109/TASE.2024.3356752
    [38]
    W. Yan, T. Zhao, H. Yang, X. Wang, and B. Niu, “1-Order-smooth explicit-time nonsingular terminal sliding mode control of industrial cyber-physical systems against cyber-attacks,” IEEE Trans. Ind. Cyber-Phys. Syst., vol. 1, pp. 371–380, 2023. doi: 10.1109/TICPS.2023.3332026
  • Supplementary material 1.mp4
    Supplementary material 2_data_code_of_this_paper.zip
    Supplementary material 3.mp4

Catalog

    通讯作者: 陈斌, bchen63@163.com
    • 1. 

      沈阳化工大学材料科学与工程学院 沈阳 110142

    1. 本站搜索
    2. 百度学术搜索
    3. 万方数据库搜索
    4. CNKI搜索

    Figures(25)  / Tables(2)

    Article Metrics

    Article views (85) PDF downloads(14) Cited by()

    /

    DownLoad:  Full-Size Img  PowerPoint
    Return
    Return